МИНИСТЕРСТВО СЕЛЬСКОГО ХОЗЯЙСТВА
РОССИЙСКОЙ ФЕДЕРАЦИИ
ФГБОУ ВПО
ЧЕЛЯБИНСКАЯ ГОСУДАРСТВЕННАЯ АГРОИНЖЕНЕРНАЯ АКАДЕМИЯ
Факультет Механизации сельского хозяйства
Кафедра Почвообрабатывающие, посевные машины и
земледелие
КУРСОВАЯ РАБОТА
Построение
отвальной поверхности корпуса плуга
Студент Басманов А.Е.
Группа 60 М
Преподаватель Рахимов Р.С.
Челябинск 2014 г.
Содержание
Введение
Описание процесса вспашки
Устройство корпуса плуга и его разновидности
Теоретические основы построения лемешно - отвальной поверхности
Исходные данные
Расчетная часть
Введение
плуг вспашка борозда
Производство зерна является одной из основных задач сельскохозяйственного производства. При такой организации структуры посевных площадей необходимо решать две взаимоувязанные задачи по оптимизации режимов использования агрономических ландшафтов:
- создание условий, обеспечивающих природное равновесие землепользования с учетом всех компонентов агрономических ландшафтов;
- создание условий для непрерывного роста продуктивности почвы.
Многолетние исследования показали, что в предуральской степной зоне в зернопаропропашных севооборотах наиболее рациональными являются комбинированная плоскорезно - плужная и безотвально - минимальная системы обработки черноземов типичных и карбонатных.
На тяжелосуглинистых черноземах более эффективно чередование глубокой безотвальной обработки при подъеме черного пара, и традиционной разноглубинной вспашки и минимальной обработки под отдельные культуры севооборота.
На черноземных почвах северной и северо-восточной лесостепи система обработки должна быть направлена на постепенное углубление и окультуривание пахотного слоя путем сочетания традиционной вспашки и глубоких рыхлений орудиями с чизельными рабочими органами и специальными почвоуглубителями, в т.ч. в осенний период на зяби.
Основная обработка и посев сельскохозяйственных культур на склонах проводятся поперек склонов и по горизонталям рельефа. Это одно из основных требований адаптивно - ландшафтного земледелия и контурно - мелиоративной организации территории.
Минимальная обработка рекомендуется в зернопаровых севооборотах с короткой ротацией в степных районах, на почвах рыхлого сложения с равновесной плотностью не более 1,2 г/см3.
При использовании под рожь клеверных и донниковых полей производится мелкая вспашка с предварительным дискованием пласта в двух взаимно перпендикулярных направлениях.
Вспашка необходима в севооборотах при возделывании пропашных и зернобобовых культур, при подготовке почвы под покровный посев многолетних трав и при взмете их пласта.
Объемы и кратность отдельных видов основной обработки (отвальной, безотвальной глубокой и мелкой, плоскорезной, минимальной, нулевой) выбираются в зависимости от типов почвы и их механического состава, засушливости климата и состава культур в севообороте, степени засоренности почвы и посевов.
Общие требования для любого способа обработки: не обрабатывать переувлажненную почву; проводить предварительную обработку жнивья лущильниками или игольчатыми боронами; направление основной обработки - только по горизонталям рельефа; регулировки глубины обработки, скорости движения агрегатов и исправность рабочих органов контролируются постоянно.
При любом способе обработки зяби оптимальным сроком является август - начало сентября. В первую очередь обрабатываются поля из-под многолетних трав, озимых и ранних яровых культур. Выбор технологий основной и предпосевной обработки, а также способов посева связан с оценкой ресурсов, особенно энергоносителей - горюче-смазочных материалов.
1 Описание процесса вспашки
Обработку почвы с оборотом пласта называют
вспашкой. Ее выполняют плугами, на раме которых смонтированы рабочие органы:
нож 1 (рисунок 1.1), предплужник 2 и отвальный корпус 3. Нож отрезает пласт
почвы в вертикальной плоскости и отделяет ее от непаханого массива. Предплужник
отделяет задернелую (верхнюю) часть пласта ОСМЕ и сбрасывает ее на дно борозды.
Корпус отрезает Г-образный пласт ABOСEMD
(при работе с предплужником) шириной b
и толщиной a, оборачивает и
рыхлит его.
а - с предплужником, б - без предплужника; 1 - нож, 2 - предплужник, 3 - корпус, 4 - стойка, 5 - отвал, 6 - лемех, 7 - полевая доска.
Рисунок 1.1 - Технологический процесс оборота
пласта корпусом плуга
2 Устройство корпуса плуга и его разновидности
Качество вспашки зависит от конструкции корпуса плуга, геометрической формы и расположения его рабочей поверхности относительно дна и стенки борозды. По конструкции различают корпуса отвальные, безотвальные, вырезные, с почвоуглубителем, с выдвижным долотом, дисковые и комбинированные.
Отвальный корпус применяют для вспашки с оборотом и рыхлением пласта (рисунок 2.1). Корпус состоит из стойки II, на которой закреплены лемех III, отвал I и полевая доска IV. Линия, параллельная стенке борозды, образованная кромками лемеха и отвала, называется полевым обрезом. Отвал и лемех, прикрепленные к стойке, образуют рабочую поверхность. Рабочая поверхность корпуса, образованная лемехом и отвалом, представляет собой с геометрической точки зрения единое целое. В дальнейшем рабочая поверхность корпуса будет называться единым словом «отвал».
I- отвал, II -стойка, III- лемех, IV - полевая доска; 1 - носок, 2 - лезвие, 3 - пятка, 4, 5 и 6 - соответственно бороздной, верхний и полевой обрезы, 7 - крыло, 8 - грудь отвала
Рисунок 2.1 - Лемешно - отвальный плужный корпус
Корпус плуга характеризуется шириной захвата b , глубиной обработки а, углами установки лемеха ко дну α и стенке γ борозды, а также формой рабочей поверхности. Плуги общего назначения снабжены корпусами шириной захвата 25, 30, 35 и 40 см, специальные - шириной захвата 45, 50, 60, 75 и 100 см.
Из множества технологических операций, выполняемых корпусом, главными с точки зрения агротехники считают оборот и крошение пласта, интенсивность которых обусловлена значениями и степенью изменения углов α, γ и β, т. е. формой рабочей поверхности отвала.
По форме рабочей поверхности отвальные корпуса
подразделяют на культурные, полувинтовые, винтовые и цилиндрические.
Рисунок 2.2 - Культурный тип корпуса отвального
плуга
Культурные корпуса (рисунок 2.2) хорошо оборачивают и крошат почвенный пласт, поэтому их используют для вспашки старопахотных земель. Культурные корпуса выпускают для работы на скоростях до 7; 7...9 и 9...12 км/ч. Допустимая рабочая скорость указана в технической характеристике плуга.
Полувинтовые корпуса (рисунок 2.3) хорошо
оборачивают пласт, но хуже рыхлят его. Такие корпуса устанавливают в основном
на кустарниково-болотных плугах, но можно применять их и на плугах общего
назначения для вспашки сильно задернелых и целинных почв.
Рисунок 2.3 - Полувинтовой тип корпуса
отвального плуга
Винтовые корпуса (рисунок 2.4) обеспечивают полный
оборот пласта без его рыхления и создают наилучшие условия для разложения
пожнивных остатков и дернины. Их используют при перепашке пласта многолетних
трав, коренном улучшении кормовых угодий и первичной вспашке целинных земель.
Рисунок 2.4 - Винтовой тип корпуса отвального плуга
3 Теоретические основы построения лемешно -
отвальной поверхности
В основе рациональных принципов построения рабочих поверхностей плужных корпусов должны лежать заданные показатели технологического процесса (степень крошения, оборот пласта и т. п.), по которым определяют геометрическую форму и параметры рабочей поверхности. Однако чрезвычайное многообразие почв, а также способность одной и той же почвы коренным образом изменять свои технологические свойства в зависимости от влажности или задерненности и отсутствие необходимых данных о количественных соотношениях (зависимостях) между параметрами рабочей поверхности и показателями технологического процесса делают такую задачу пока неразрешимой. Обратная задача - по заданной поверхности определить показатель технологического процесса обработки почвы - в силу названных причин также не имеет достаточно точного решения. Данную задачу решают эмпирически - путем выбора из числа известных поверхностей наиболее подходящей по геометрической форме для заданных почвенных условий, руководствуясь при этом некоторыми теоретическими соображениями и практическим опытом. Так как параметры рабочих поверхностей, как правило, нерегулируемые, то улучшения качества обработки различных почв можно добиться с помощью сменных рабочих органов не только с различными поверхностями, но и с различными параметрами.
Рабочие поверхности почвообрабатывающих орудий весьма разнообразны и могут быть представлены как простейшей формой линейчатой поверхности - плоскостью, так и более сложными поверхностями (в порядке возрастания сложности) - цилиндром, цилиндроидом, коноидом, гиперболоидом, параболоидом, геликоидом и, наконец, винтом.
Из линейчатых поверхностей В. П. Горячкин отдавал предпочтение развертывающимся, т. е. таким, которые могут быть развернуты в плоскость без искажений (деформаций). Штамповка поверхностей происходит без усадки или вытягивания отдельные участков, и, следовательно, рабочая поверхность получается плавной, без выпуклостей и углублений, что уменьшает вероятность ее залипания влажной почвой.
Анализ различных поверхностей, проведенный В. П. Горячкиным, М. Н. Летошневым и другими учеными, показал, что между поверхностями нет резкой границы и при изменении способа образования и развитии тех или иных параметров они могут как бы переходить от одной формы к другой. Так, цилиндр - частный случай цилиндроида, конус - коноида, геликоид - винтовой поверхности, коноида и торса. В то же время гиперболический параболоид представляет собой переходную форму к винтовой поверхности, параболоид близок к ней; коноид - разновидность винтовой поверхности. В. П. Горячкин пришел к выводу, что каковы бы ни были формы отвалов, их можно разделить на три типа: винтовые, цилиндрические и промежуточные.
В связи с этим целесообразно рассмотреть способы образования цилиндрической поверхности, предназначенной для обработки почв, резко отличающихся по своим свойствам. Однако чисто цилиндрические поверхности редко употребляются и представляют собой частный случай широко применяемых цилиндроидальных поверхностей, способ образования которых и будет рассматриваться в данном курсовом проекте.
Цилиндроидальная рабочая поверхность. Такая поверхность может быть образована различными способами. Наиболее распространен способ Н. В. Щучкина, по которому поверхность описывается (рисунок 3.1) движением прямолинейной горизонтальной образующей EF по направляющей кривой ВС, расположенной в плоскости N, перпендикулярной к лезвию лемеха AB с заданной закономерностью изменения угла γ образующей EF со стенкой борозды xoz. Закономерность изменения угла выражается некоторой функцией γ = f(z), где z - координатa расположения образующей над горизонтальной плоскостью xoy.
Угол γ
сначала уменьшается от γ 0 до γmin,
что необходимо для облегчения подъема пласта на грудь отвала и устранения
задирания его бороздным обрезом. После перехода через линию стыка лемеха с
отвалом, угол γ возрастает
по вогнутой кривой, т.е.более интенсивно. В результате рабочая поверхность
рабочая полувинтового отвала обретает большую оборачивающую способность.
Рисунок 3.1 - Схема образования цилиндроидальной
рабочей поверхности
Наряду с поверхностями, полученными в результате движения горизонтальных образующих, иногда применяют и цилиндроидальные поверхности с наклонными образующими. Основное преимущество последних в том, что при значительном наклоне образующие крыла не проходят через грудь отвала. Это дает возможность, изменяя крыло, оставлять неизменной грудь отвала. А так как к груди отвала крепится стойка, то, следовательно, одна и та же стойка может быть использована для различных рабочих поверхностей отвала. В плужных корпусах с наклонными, образующими угол наклона лемеха к дну борозды переменный: угол наклона пятки примерно на 12° меньше, чем носка.
В качестве направляющей ВС может быть принята окружность или парабола. Практически для этой цели всегда используют параболу, так как для нее характерны переменная кривизна и лучшее крошение пласта. Однако при построении параболы в качестве исходной направляющей кривой используют окружность. Радиус исходной окружности определяют из условий, чтобы поднимаемый пласт полностью помещался на отвале, а крыло своим бороздным обрезом не задирало отваленный пласт. Плоскость направляющей кривой располагают перпендикулярно к лезвию лемеха на расстоянии 2/3 его длины от носка (для культурных) и всей длины (для полувинтовых поверхностей).
Рисунок 3.2 - Углы, характеризующие отвал
Проведем ось х через носок А лезвия лемеха по направлению движения отвала, а ось у через правый конец В лезвия лемеха, перпендикулярно стенке борозды. Точка О пересечения осей будет началом координат. Ось z направим вертикально вверх.
Проведем через лезвие лемеха плоскость, касательную к поверхности отвала. Эта плоскость пересечет ось z в некоторой точке С. Положение плоскости относительно дна и стенки борозды будет характеризовать положение отвала по отношению ко дну и стенке борозды.
Угол ОАВ = θ0 определяет установку лезвия лемеха к стенке борозды; угол ОDС = γ - установку лемеха к дну борозды.
Если принять линию АВ за образующую в нижнем
положении, то, перемещая ее постепенно параллельно горизонтальной плоскости,
можно получить некоторую линейчатую поверхность. Чтобы эта поверхность была
определенной, задаются направляющей кривой В' - n
, по которой перемещают одну из точек образующей. Нижний конец направляющей
кривой совпадает с лезвием лемеха, а касательная к этой кривой в нижней точке
В' располагается под углом γ.
Рисунок 3.3 - Параметры направляющей кривой
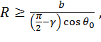
Направляющая кривая характеризуется радиусом R, высотой h и вылетом L.
Радиус направляющей кривой R,
мм подбирается таким образом, чтобы не было пересыпания пласта через верхним
край отвала

(3.1)
где b - ширина захвата отвального корпуса плуга, мм;
γ - угол постановки лемеха ко дну борозды, град.;
θ0 - угол постановки лезвия лемеха к стенке борозды, град.;
Высота направляющей кривой h, мм определяется по формуле:
h = R![]()
cosγ (3.2)
Вылет направляющей кривой L,
мм определяется по формуле:
L = R
(1 - sinγ)
(3.3)
Вертикальная плоскость NN, в которой располагается направляющая кривая, перпендикуляр на лезвию лемеха и отстоит от носка его на расстоянии длины лемеха l у полувинтовых отвалов. Поэтому по направляющей кривой перемещается точка В образующей АВ. Для того чтобы получить вполне определенную поверхность, необходимо знать помимо направляющей кривой, закон изменения угла θ между образующей и стенкой борозды в зависимости от высоты расположения образующей над дном борозды z.