Материал: Попов Э.Г. Основы аналоговой техники. Учеб. пособие для студ. радиотехнических спец

Внимание! Если размещение файла нарушает Ваши авторские права, то обязательно сообщите нам

пересчитывается во входную цепь каскада на VT2 и влияет на ее частотную характеристику как входная динамическая емкость. Примером использования этого метода является схема каскада усилителя мощности (см. рис.5.9 и 5.10, б), где сужение полосы пропускания каскада на транзисторе VT3 и соответственно обеспечение устойчивости усилителя при глубокой обратной связи осуществляются с помощью емкости С4.

Другим методом обеспечения устойчивости усилителей с обратной свя-

зью является введение в усилитель коррек-

 

СН

 

тирующих цепей. Дополнительные цепи

 

 

 

частотно-фазовой коррекции позволяют

 

 

 

уменьшить величину коэффициента петле-

 

RH

 

вого усиления на частотах, где сдвиг фазы в

 

RB

u2

петле ОС достигает 1800. Такая цепь может

u1

 

R2

включаться в любом месте петли обратной

 

 

CB

связи или в самом усилителе, или в четы-

 

 

 

рехполюснике обратной связи. На рис. 7.12

 

Рис. 7.12

 

представлены две простые, наиболее часто

 

 

 

встречающиеся корректирующие цепочки RH,CH и RB,CB. Первая из них дает возможность корректировать частотную характеристику в области нижних частот, а вторая – в области верхних. Постоянная времени каждой из цепочек позволяет выбрать частоту, на которой она будет влиять, а соотношения между величиной сопротивления нагрузки R2 и величинами сопротивлений RH и RB будут влиять на глубину соответствующей коррекции. На низких частотах, где существует опасность самовозбуждения, сопротивление цепочки RHCH увеличивается, стремясь к значению RH, и образовавшийся делитель из сопротивлений RH R2 уменьшает коэффициент передачи. Аналогично цепочка RB CB при приближении к опасной частоте в области высоких частот начнет шунтировать нагрузку и тем самым уменьшать коэффициент петлевого усиления. Одновременно уменьшается и фазовый сдвиг между напряжениями u1 и u2. Такие цепи коррекции, включенные в петлю обратной связи, уменьшают на опасной частоте коэффициент петлевого усиления и общий фазовый сдвиг в петле ОС. Таким образом, точка с координатами 1,0 окажется вне годографа петлевого усиления и усилитель с ОС не возбудится.

Низкочастотная цепочка коррекции RH,CH в настоящее время используется довольно редко. Более удобным решением проблемы устойчивости в об-

241

ласти нижних частот для многокаскадного усилителя, охваченного ОС, является использование в петле ОС усилительных каскадов без разделительных емкостей. Частотно-зависимый сдвиг по фазе в области нижних частот для таких усилителей находится вблизи нуля, и проблем со стабильностью при введении ОС в многокаскадный усилитель здесь не возникает.

Опираясь на вышесказанное, можно сделать несколько рекомендаций, которыми следует руководствоваться при разработке усилителей с глубокой обратной связью:

а) использовать в петле ОС каскады с различными частотами среза; б) при введении обратной связи желательно охватывать по возможности

меньшее число каскадов; в) желательно не включать в петлю ОС каскады, имеющие повышенные

фазовые сдвиги (трансформаторные, дроссельные и др.); г) при необходимости вводить в петлю ОС соответствующие цепи

коррекции.

7.5. Паразитные обратные связи и борьба с ними

При создании многокаскадных усилителей с большим коэффициентом усиления избежать возникновения паразитных обратных связей весьма трудно. Эти связи, так же как и наводки, могут возникать за счет паразитных емкостей, существующих между входами и выходами как отдельных каскадов, так и всего усилителя в целом. Другая возможность появления паразитной ОС объясняется наличием сильных электромагнитных полей, создаваемых оконечным каскадом и наводящих паразитные ЭДС во входных цепях усилителя. Такая возможность часто наблюдается, если в качестве оконечного каскада используется трансформаторный каскад. Наиболее неприятной из приведенных выше обратных связей является емкостная связь. Возникновение такой паразитной обратной связи не обязательно должно привести к самовозбуждению усилителя. Однако она может существенно изменить многие параметры усилителя: входное сопротивление, частотные свойства, нелинейные искажения и т.д. Практически влияние паразитной емкостной обратной связи можно объяснить эффектом Миллера, как это уже делалось, когда анализировалось влияние емкости коллектора для включения транзистора по схеме с общим эмиттером. Разница заключается лишь в том, что в данном случае обратная связь может оказаться как отрица-

242

тельной, так и положительной. Большой коэффициент передачи, характерный для многокаскадного усилителя, приводит к появлению весьма глубокой паразитной обратной связи. Для возникновения такой обратной связи может оказаться достаточным существование очень малой паразитной емкости, связывающей вход и выход усилителя (десятые или даже сотые доли пикофарады).

Не трудно предположить, что паразитные обратные связи такого типа возникают из-за плохо продуманной конструкции усилителя. При разработке платы усилителя необходимо обращать внимание на то, чтобы входные и выходные цепи усилителя были разнесены как можно дальше друг от друга, а в отдельных случаях может возникнуть необходимость в дополнительной экранировке входного каскада. При наличии в схеме трансформаторов или каких-то других сосредоточенных индуктивностей следует позаботиться о том, чтобы их магнитные поля по возможности не распространялись на входные цепи, что достигается путем правильного ориентирования этих деталей и, при необходимости, их экранированием.

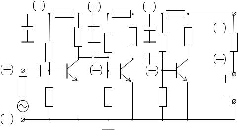
Среди паразитных обратных связей особое место занимают паразитные связи через источник питания. При анализе всех предыдущих усилителей внутреннее сопротивление источника питания считалось равным нулю. В реальности это не совсем так - внутреннее сопротивление нестабилизированного источника напряжения лежит в пределах нескольких Ом. Наличие этого внутреннего сопротивления и приводит к появлению паразитной обратной связи.

Возникновение обратной связи рассмотрим на примере трехкаскадного усилителя (рис. 7.13). Во всех трех каскадах часть выходного тока (тока коллектора) проходит через источник питания и создает падение напряжения на его внутреннем сопротивлении. Естественно предположить, что ток оконечного каскада, для которого сигнал является наибольшим, будет самым большим и именно он создаст наибольшее переменное напряжение UП на внутреннем сопротивлении источника питания. Полярность этого напряжения определяется направлением переменного тока оконечного каскада и изменяется с изменением полярности входного сигнала. Таким образом, в цепи питания будет действовать напряжение, состоящее из постоянной и переменной составляющих Е0 и UП. В отдельных случаях амплитуда напряжения UП может достигать более 30 % от напряжения источника питания Е0.

243

RФ

RФ

RФ

CФ

CФ

CФ

UП R0

RИ

E0

EИ

Рис. 7.13

Зададимся полярностью мгновенного значения сигнала на входе и, учитывая переворот фазы сигнала каждым из каскадов, определим направление коллекторного тока последнего транзистора. Этот ток протекает по выходному контуру против часовой стрелки и создает падение напряжения UП на внутреннем сопротивлении источника питания с плюсом внизу и минусом вверху. Явление паразитной обратной связи заключается в том, что напряжение UП оказывается приложенным через базовые цепи к базам предыдущих транзисторов. При этом для одних транзисторов рассматриваемая обратная связь получается отрицательной, а для других – положительной. Как правило, положительной обратной связи оказывается достаточно для самовозбуждения части усилителя, попадающей в данную петлю ОС. Примером является самовозбуждение усилителей низкой частоты в отдельных радиоприемниках карманного формата при заметном разряде питающих батарей. При разряде батареи возрастает ее внутреннее сопротивление R0, и в этом случае попытка увеличить громкость приводит к увеличению тока выходного каскада, растет падение напряжения на R0 и увеличивается глубина паразитной обратной связи, что и приводит к самовозбуждению.

Для устранения этого нежелательного явления используются низкочастотные фильтры RФCФ, которые включаются в цепи питания (см. рис. 7.13) и не позволяют переменному напряжению, возникающему на внутреннем сопротивлении источника питания, попадать во входные цепи усилителя. При достаточ-

244

но высоком напряжении питания все цепочки фильтров включаются последовательно, что улучшает развязку между каскадами. Для лучшего сглаживания пульсаций напряжения, попадающего на базы транзисторов, сопротивления RФ в каскадах включаются между коллекторной и базовой цепью. Чтобы избежать чрезмерного уменьшения напряжения для питания входных каскадов в случае низковольтного источника питания, цепочки фильтра приходится включать параллельно. При этом развязка ухудшается и, как правило, приходится использовать конденсаторы CФ большей емкости.

8.ОПЕРАЦИОННЫЕ УСИЛИТЕЛИ И ИХ ПРИМЕНЕНИЕ

8.1. Общие положения

При математическом моделировании различных процессов на аналоговых вычислительных машинах всегда существовала необходимость в выполнении всевозможных математических преобразований, таких как суммирование, вычитание, логарифмирование, дифференцирование, интегрирование и др. Подобные операции над электрическими сигналами осуществлялись с помощью специальных линейных усилителей, которые благодаря своей функциональной принадлежности получили название операционных усилителей. Для обеспечения высокой точности подобных преобразований операционные усилители должны были обладать очень большим коэффициентом усиления, высоким входным и низким выходным сопротивлениями, что облегчало введение глубоких обратных связей, необходимых для получения соответствующего преобразования. Выполнялись операционные усилители в виде многокаскадных усилителей постоянного тока, у которых при нулевом потенциале на входе выходное напряжение также отсутствовало. В настоящее операционные усилители выпускаются в виде монолитных интегральных микросхем, которые получили широкое распространение, так как по размерам и стоимости они практически не отличаются от обычного транзистора. Благодаря высоким качественным показателям интегральных операционных усилителей реализация различных схем преобразователей на их основе оказывается значительно проще, чем на дискретных элементах. Этим объясняется их широкое распространение в качестве самостоятельного многофункционального усилительного элемента.

245