Материал: Понятие и длительность производственного цикла

Внимание! Если размещение файла нарушает Ваши авторские права, то обязательно сообщите нам

По той же причине происходит сокращение (абсолютное или относительное) объема незавершенного производства. Это означает высвобождение оборотных средств в их вещественной форме, т.е. в форме конкретных материальных ресурсов.

Производственная мощность предприятия или цеха прямо зависит от длительности производственного цикла. Под производственной мощностью понимается максимально возможный выпуск продукции в плановом периоде. И поэтому ясно, что чем меньше затрачивается времени на производство одного изделия, тем большее их число может быть изготовлено за тот же период времени.

Производительность труда при сокращении длительности производственного цикла повышается в результате увеличения объема выпуска продукции за счет увеличения производственной мощности, что приводит к уменьшению доли труда вспомогательных рабочих в единице продукции, а также доли труда специалистов и служащих.

Себестоимость продукции при сокращении производственного цикла снижается за счет уменьшения в себестоимости единицы продукции доли общезаводских и цеховых расходов при увеличении производственной мощности .

Таким образом, сокращение длительности производственного цикла - один из важнейших источников интенсификации и повышения эффективности производства на промышленных предприятиях.

Сокращение производственного цикла имеет большое экономическое значение:

сокращается оборачиваемость оборотных средств за счет сокращения объемов незавершенного производства;

увеличивается фондоотдача основных производственных фондов;

снижается себестоимость изделий за счет сокращения условно-постоянной части издержек на одно изделие и т.д.

. Пути и факторы сокращения продолжительности производственного цикла

Сокращение длительности производственного цикла представляет собой одну из наиболее важных задач организации производства на предприятии, от надлежащего решения которой в большой мере зависит его эффективная, рентабельная работа.

На продолжительность производственного цикла влияет множество факторов: технологических, организационных и экономических.

Технологические процессы, их сложность и многообразие, техническая оснащенность предопределяют время обработки деталей и продолжительность сборочных процессов.

Организационные факторы движения предметов труда в процессе обработки связаны с организацией рабочих мест, самого труда и его оплатой. Организационные условия в еще большей степени влияют на продолжительность выполнения вспомогательных операций, обслуживающих процессов и перерывы.

Экономические факторы обусловливают уровень механизации и оснащенность процессов (а следовательно, их длительность), нормативы незавершенного производства.

В литературе рассмотрено множество различных методов и способов сокращения длительности производственного цикла. Все они тщательно разработаны и обоснованы, однако общим их недостатком является недостаточное внимание к совершенствованию организации производства при разработке таких мероприятий. Однако необходимо отметить, что именно этот фактор является одним из основных способов сокращения длительности производственного цикла, приводящим к росту объемов производства без дополнительных затрат.

Характерными отличительными особенностями машиностроительных предприятий по сравнению с предприятиями других отраслей производства является расчлененность производства в пространстве, многоагрегатность, многономенклатурность и многооперационность [5, с.8]. Эти особенности вызывают сложность потоков, движущихся и обрабатываемых заготовок и деталей на предприятиях, поэтому весьма важной становится организационная сторона производства, в частности согласование и регулирование движения всех многообразных производственных потоков пространстве и во времени.

Как известно, производственный цикл включает в себя различные по своему содержанию затраты времени, которые можно разделить на две группы: время рабочего периода и время перерывов. Сокращение длительности производственного цикла может осуществляться за счет снижения как затрат времени на осуществление рабочего периода, так и времени перерывов.

Таким образом, сокращение длительности производственного цикла возможно по 2-м направлениям (табл. 2.1):

. Уменьшение времени связанного с выполнением технологической операции;

. Сведение к минимуму всех видов перерывов в процессе производства продукции.

Таблица 6.1

Направления сокращения длительности производственного цикла

Резервы

Время работы (рабочий цикл)

Время перерывов

Применение передовых технологий

Специализация производства

Комплексная механизация и автоматизация производства

Совершенствование планирования и организация производства

Сокращение длительности производственного цикла - это сокращение времени непосредственного воздействия труда на предметы труда и времени перерывов.

В течение времени перерывов не происходит производственного потребления предметов труда, но при этом они находятся в процессе производства. Следовательно, чем больше время перерывов, тем больше при одном и том же объеме выпускаемой продукции в единицу времени величина незавершенного производства. Устранение указанных потерь может быть достигнуто за счет совершенствования организации и технологии производства и позволит сократить размер незавершенного производства и тем самым увеличить выпуск продукции на один рубль оборотных и основных средств, то есть повысить эффективность их использование.

Согласно выявленным потерям рабочего времени можно предложить следующие рекомендации по устранению указанных недостатков:

более тщательное осуществление оперативно-календарного планирования (т. е. планирование подачи материалов и заготовок, учет фактически выработанной продукции и т. д.)

проведение своевременной и тщательной оперативной подготовки производства (подготовки материалов, инструментов, технической и первичной плановой документации и т. д.);

совершенствование организационных и технических аспектов производства (своевременное выдача заданий работникам, устранение неисправности оборудования и т. д.);

усиление трудовой дисциплины с целью устранения опозданий и отлучек, а также оптимизации режима работы персонала.

Все перечисленные мероприятия повлекут за собой устранение выявленных потерь рабочего времени, что приведет к увеличению времени на производственную работу, что в свою очередь соответственно скажется на сокращение длительности производственного цикла. Это в некоторой степени может повлиять на снижение косвенных расходов на единицу продукции и, как следствие, снижение себестоимости производимой продукции.

Как было отмечено в параграфе 1.2, применение наиболее эффективных видов движения предметов труда - параллельного и параллельно-последовательного - дает возможность сократить продолжительность производственного процесса, или, иначе, уменьшить производственный цикл изготовления предмета труда.

Мероприятия организационного порядка направлены на улучшение обслуживания рабочих мест инструментом, заготовками, улучшение работы контрольного аппарата, внутрицехового транспорта, складского хозяйства и т.д. Перестройка производственной структуры завода, цеха, например организация предметно-замкнутых производственных участков, способствующая уменьшению времени перерывов в производственном процессе за счет уменьшения времени межоперационного пролеживания и транспортировки, приводит к сокращению длительности производственного цикла; особенно значительный экономический эффект дает внедрение поточных форм организации производственного процесса.

Обобщая рекомендации по сокращению длительности производственного цикла, необходимо указать основные факторы сокращения ДПЦ:

упрощение конструкции изделия, повышение уровня ее технологичности ("Простота конструкции - мерило ума конструктора");

упрощение и совершенствование технологических процессов, применение робототехники, повышение уровня механизации и автоматизации;

унификация и стандартизация составных частей изделия, технологических процессов, оборудования, оснастки, организации производства;

углубление подетальной, технологической и функциональной специализации на основе унификации и увеличения программы выпуска изделий;

сокращение удельного веса механически обрабатываемых деталей;

соблюдение принципов рациональной организации производства;

механизация и автоматизация контрольных и транспортно-складских операций;

сокращение времени естественных процессов;

сокращение межоперационных перерывов;

увеличение удельного веса технически обоснованных норм времени, норм обслуживания, норм расхода ресурсов;

стимулирование экономии времени и выполнения требований по качеству.

Подводя итог вопросу, еще раз заметим, что длительность производственного цикла зависит от двух важнейших групп факторов:

технического уровня производства;

организации производства.

Эти обе группы факторов взаимообуславливают и дополняют друг друга.

Основными направлениями снижения производственного цикла являются:

совершенствование технологии;

применение более производительных оборудования, инструментов, средств технологического оснащения;

автоматизация производственных процессов и применение гибких интегрированных процессов;

специализация и кооперирование производства;

организация поточного производства;

гибкость (многофункциональность) персонала.

.Практические примеры расчетов сокращения продолжительности производственного цикла

Рассмотрим основные правила, позволяющие сократить продолжительность производственного цикла.

. При последовательном технологическом цикле уменьшение времени любой операции на величину ∆t приводит к сокращению цикла на величину n∆t.

. При параллельном технологическом цикле сокращение времени главной операции tg на величину ∆tg, при условии, что она остается главной, приводит к тому, что цикл сокращается на величину n∆tg.

. Если нормы времени технологических операций монотонно возрастают или убывают по ходу производственного процесса, то продолжительность параллельного и параллельно-последовательного циклов будет одинаковой.

Пример. Технологический процесс имеет четыре операции (m = 4) со следующими нормами времени: t1 = 8; t2 = 7; t3 = 5; t4 = 3 мин. Величина партии обработки n = 10 ед., передаточная партия k = 2 ед. Среднее межоперационное время Tmo = 3 мин.

Рассчитаем продолжительность параллельно-последовательного и параллельного производственного циклов.

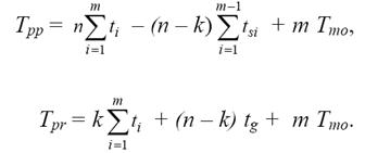
Воспользуемся следующими формулами расчета продолжительности производственных циклов:


Для последовательно-параллельного цикла имеем:

Tpp = n ∑ti - (n - k) ∑tsi + m Tmo = 10 * (8 + 7 + 5 + 3) - (10 - 2) (7 + 5 + +3) + 4 * 3 = 10 * 23 - 8 * 15 + 12 = 122 мин.

Отбор более коротких по продолжительности операций tsi из двух смежных в технологическом цикле осуществляется следующим образом: из двух операций продолжительностью 8 и 7 мин более короткая - 7 мин; из двух операций продолжительностью 7 и 5 мин более короткая - 5 мин. и, наконец, из двух операций продолжительностью 5 и 3 мин - более короткая 3 мин. Сумма коротких по времени операций: (7 + 5 + 3) = 15 мин.

Для параллельного производственного цикла:

Tpr = + (n - k) tg + m Tmo = 2 (8 + 7 + 5 + 3) + (10 - 2) * 8 + 4 * 3 = 2 * 23 + 8 * 8 + 12 = 122 мин.

Главной операцией tg (самой продолжительной по времени) технологического цикла является первая операция длительностью 8 мин. Таким образом, продолжительность параллельно-последовательного и параллельного циклов оказалась одинаковой из-за того, что нормы времени по ходу технологического процесса монотонно возрастают.

. Если несколько деталей требуется изготовить на одном станке, то при запуске деталей в обработку в порядке возрастания норм времени, суммарное время пролеживания деталей у станка будет минимальным.

Пример. К станку было подано четыре детали со следующими нормами времени на обработку: t1 = 5; t2 = 25; t3 = 10; t4 = 15 мин.

Рассчитаем суммарное время пролеживания деталей для данной последовательности обработки; составить оптимальную очередность обработки деталей.

В табл. 7.1 и 7.2 приведено решение данной задачи. Первая деталь с нормой времени на изготовление 5 мин немедленно поступает в обработку. Поэтому время пролеживания этой детали равно 0. Вторая деталь с нормой времени 25 мин (табл. 7.1) или 10 мин (табл. 7.2) пролеживает в течение 5 мин, т.е. все то время, пока обрабатывается первая деталь. Третья по счету деталь пролеживает в течение времени обработки первых двух и т.д. В рассматриваемом случае оптимальная очередность запуска деталей в обработку позволяет сократить суммарное время пролеживания деталей у станка на 25 мин (75 - 50 = 25 мин).

Таблица 7.1

Исходная последовательность обработки деталей


Таблица 7.2

Оптимальная последовательность обработки деталей


5. Если несколько наименований деталей обрабатывается на двух станках, то первой в обработку запускается деталь с минимальным временем изготовления на первом станке, а последней - с минимальным временем изготовления на втором станке. После чего эти детали исключают из очереди и дальнейший отбор деталей производится по тому же правилу. Полученная последовательность запуска деталей в обработку обеспечивает минимальную продолжительность производственного цикла обработки этих деталей .

Пример. Каждая из пяти деталей должна пройти обработку сначала на первом, а затем на втором станке. Нормы времени на обработку даны в табл. 7.3.

Таблица 7.3

Исходные данные по обработке деталей


Определим продолжительность производственного цикла обработки пяти деталей в той последовательности, которая указана в табл. 7.3. Составить оптимальную очередность обработки этих деталей и рассчитать продолжительность производственного цикла.

Продолжительность производственного цикла обработки пяти деталей в последовательности 1 - 2 - 3 - 4 - 5 определим графически (рис. 7.1). Из этого рисунка видно, что продолжительность цикла равна 19 мин.

Рис. 7.1. Продолжительность цикла обработки деталей в последовательности 1 - 2 - 3 - 4 - 5. Продолжительность цикла 19 мин.

Осуществим отбор деталей для оптимальной очередности запуска в обработку. Первой в обработку будет запущена деталь с минимальным временем изготовления на первом станке - это деталь 5; последней - деталь 2, поскольку у нее самое малое время изготовления на втором станке 1 мин (табл. 7.3). Изобразим полученную последовательность таким образом: 5 - - - - 2. Повторим процесс отбора исключив из него детали 5 и 2. Далее первой будет запущена в обработку деталь 1, поскольку она имеет минимальное время изготовления на первом станке - 3 мин; последней в этом отборе будет деталь 4 с минимальным временем изготовления на втором станке - 2 мин. После второго отбора последовательность запуска будет выглядеть так: 5 - 1 - - 4 - 2. Результат второго отбора помещается "внутрь" первой последовательности обработки деталей. Остается деталь 3 - она будет и первой и последней в третьем отборе. Результат третьего отбора помещается "внутрь" второй последовательности деталей: 5 - 1 - - 3 - 4 - 2. График производственного цикла обработки деталей в этой последовательности изображен на рис. 7.2. Продолжительность цикла получилась более короткой - 16 мин вместо 19 мин на рис. 7.1.

Рис. 7.2. Продолжительность цикла обработки деталей в оптимальной последовательности 5 - 1 - 3 - 4 - 2. Продолжительность цикла 16 мин.




Заключение

Производственный цикл является одним из важнейших показателей технико-экономического развития, который определяет возможности предприятия по объему выпуска продукции и затраты на ее производство.

Производственным циклом называется календарный период времени, в течение которого этот предмет труда проходит все стадии производственного процесса - от первой производственной операции до сдачи (приемки) готового продукта включительно.

Длительность производственного цикла (ДПЦ) - это интервал календарного времени от начала первой производственной операции до окончания последней; измеряется в днях, часах, минутах, секундах в зависимости от вида изделия и стадии обработки.

Производственный цикл состоит из двух частей: рабочего периода, т.е. периода, в течение которого предмет труда находится непосредственно в процессе изготовления и времени перерывов в этом процессе.

По признаку структурной организации различают сложные и простые процессы, по способу организации движения ПТ от операции к операции - последовательный, параллельный, параллельно-последовательный. Каждый из данных видов имеет свои особенности, отметим только, что наименьшая длительность производственного цикла имеет место при параллельном виде сочетания операций.

Длительность производственного цикла влияет на сроки подготовки производства новой продукции, оборачиваемости оборотных средств, является важной величиной при организации оперативно-производственного планирования, материально-технического снабжения и т.д.

В общем виде, длительность производственного цикла определяется сложением времени рабочего процесса и времени перерывов. В свою очередь, время рабочего периода включает штучно-калькуляционное время, время контрольных операций, время транспортирования предметов труда, время естественных процессов и др. Время перерывов обусловлено режимом труда, межоперационным пролеживанием детали, временем перерывов на межремонтное обслуживание и осмотры оборудования и временем перерывов, связанных с недостатками организации производства.

Свои особенности на исчисление ДПЦ оказывает и характер организации движения предметов труда.

Отметим, что влияние показателя ДПЦ на другие показатели, характеризующие работу предприятия, трудно переоценить.

Длительность производственного цикла влияет на важнейшие показатели работы предприятия и приводит к ускорению оборачиваемости оборотных средств, сокращению объемов незавершенного производства, повышению производительности труда, улучшению использования производственных мощностей и росту выпуска продукции, снижению себестоимости единицы продукции за счет уменьшения постоянных расходов приходящихся на единицу продукции, повышению рентабельности производства.

Сокращение длительности производственного цикла представляет собой одну из наиболее важных задач организации производства на предприятии, от надлежащего решения которой в большой мере зависит его эффективная, рентабельная работа.

На продолжительность производственного цикла влияет множество факторов: технологических, организационных и экономических. Эти группы факторов взаимообуславливают и дополняют друг друга.

Основными направлениями снижения производственного цикла являются, уменьшение времени связанного с выполнением технологической операции и сведение к минимуму всех видов перерывов в процессе производства продукции.

Резервом уменьшения длительности производственного цикла служит совершенствование техники и технологии, применение непрерывных и совмещенных технологических процессов, углубление специализации и кооперирования, внедрение методов научной организации труда и обслуживания рабочих мест, внедрение робототехники.

Кроме того, сокращению длительности производственного цикла также будет способствовать совершенствование системы оперативно-календарного планирования на предприятиях, устранение непроизводительных затрат и потерь рабочего времени, усиление трудовой дисциплины, совершенствование организации и планирования материально-технического снабжения.

В заключительной части курсовой работы рассмотрены основные правила, позволяющие без дополнительных затрат сократить продолжительность производственного цикла и повысить производительность производственной системы, что подтверждено конкретными примерами.


Список использованных источников

. Егорова Т.А. Проектирование производственных систем: Учебное пособие. - СПб: Питер, 2009

. Золотарев А.Н. Повышение продуктивности воспроизводственных процессов (на примере машиностроения): Монография. - Х.: Издательский Дом «ИНЖЭК», 2010

. Мешкова Л.Л., Белоус И.И., Фролов Н.М. Организация и технология отрасли: Курс лекций. - Тамбов: Изд-во Тамб. гос. техн. ун-та, 2012

. Непомнящий Е.Г. Экономика и управление предприятием: Конспект лекций. - Таганрог: Изд-во ТРТУ, 2012

. Организация и планирование производства на машиностроительных предприятиях: Учебник / Под ред. Е.Г. Либермана. - 2-е изд., перераб и доп. - М.: Издательство «Машиностроение», 2011

. Ребрин Ю.И. Основы экономики и управления производством: Конспект лекций. - Таганрог: Изд-во ТРТУ, 2010

. Сачко Н.С. Теоретические основы организации производства. - Мн.: Дизайн ПРО, 2009

. Серебренников Г.Г. Экономические аспекты организации производства: Учеб. пособие. - Тамбов: Изд-во Тамб. гос. техн. ун-та, 2012

. Сорокин А.П. Производственный менеджмент: Курс лекций. - Мн.: Академия управления при Президенте Республики Беларусь, 2008

. Файнгольд М.Л., Кузнецов Д.В. Основы расчета длительности производственного цикла (методология и теория) / Под науч. ред. М.Л. Файнгольда. - Владимир: Издательство ВГПУ, 2010

. Файнгольд М.Л., Кузнецов Д.В. Проблемы совершенствования методики расчета длительности производственного цикла / Под науч. ред. М.Л. Файнгольда. - Владимир: Издательство ВГПУ, 2012

. Фатхутдинов Р.А. Производственный менеджмент. - М.: Интел - Синтез, 2011


Не нашли материал для своей работы?
Поможем написать уникальную работу Без плагиата!