Материал: Показатели вариационных рядов. Статистика населения

Внимание! Если размещение файла нарушает Ваши авторские права, то обязательно сообщите нам

Показатели вариационных рядов. Статистика населения

«МОСКОВСКИЙ ГОСУДАРСТВЕННЫЙ УНИВЕРСИТЕТ ПУТЕЙ СООБЩЕНИЯ»

РОССИЙСКАЯ ОТКРЫТАЯ АКАДЕМИЯ ТРАНСПОРТА

Кафедра: «Учет, Анализ и Аудит»

Факультет: «Экономический»







КУРСОВАЯ РАБОТА

ПО ДИСЦИПЛИНЕ: «Статистика»



Выполнила:

Проверила: доцент

Кручинина Наталья Викторовна





Москва 2015 г

Содержание

Задание 1. Показатели вариационных рядов

Задание 2. Ряды динамики

Задание 3. Статистика населения

Задание 4. Система национальных счетов

Список использованной литературы

Задание 1. Показатели вариационных рядов

На примере своей задачи охарактеризовать ряд распределения с помощью следующих показателей:

Средняя величина анализируемого признака;

Размах вариации;

Среднее линейное отклонение;

Дисперсия;

Коэффициент вариации;

Мода, медиана, первый и третий квартиль

Коэффициент асимметрии

Дать графическое изображение и выводы по результатам расчётов.

Вариант 7:

Определить средний процент выполнения плана погрузки станциями дороги по представленным в таблице данным и остальные показатели задания.

Таблица 1.1

Процент выполнения плана, %

95

97

99

101

103

105

107

Плановое задание, %

400

450

500

600

550

500

450


Решение

Составим таблицу для расчета показателей:

Таблица 1.2.

Процент выполнения плана,

Плановое задание,

Накопленные частоты

||

||

95

400

400

-5,9

5,9

2360

34,81

13924

97

450

850

-3,9

3,9

1755

15,21

6844,5

99

500

1350

-1,9

1,9

950

3,61

1805

101

600

1950

0,1

0,1

60

0,01

6

103

550

2500

2,1

2,1

1155

4,41

2425,5

105

500

3000

4,1

4,1

2050

16,81

8405

107

450

3450

6,1

6,1

2745

37,21

16744,5


Для оценки распределения найдем следующие показатели.

Средняя геометрическая.

Средняя геометрическая используется для анализа динамики явлений и позволяет определить средний коэффициент роста. При расчете средней геометрической индивидуальные значения признака представляют собой относительные показатели динамики, построенные в виде цепных величин, как отношения каждого уровня к предыдущему.
Средняя геометрическая простая рассчитывается по формуле:


Мода.

Мода - значение во множестве наблюдений, которое встречается наиболее часто.


Наибольшее число, встречающееся в значение ряда - 600.

Медиана.

Медиана - это варианта, расположенная в середине вариационного ряда. Если ряд распределения дискретный и имеет нечетное число членов, то медианой будет варианта, находящаяся в середине упорядоченного ряда (упорядоченный ряд - это расположение единиц совокупности в возрастающем или убывающем порядке).

Медиану используют вместо средней арифметической, когда крайние варианты ранжированного ряда (наименьшая и наибольшая) по сравнению с остальными оказываются чрезмерно большими или чрезмерно малыми.

Вычислим порядковый номер нужной нам медианы:


Вычислим медиану:

 = 101

Размах вариации

Размах вариации - это разность между максимальным и минимальным значениями признака



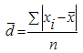
Среднее линейное отклонение

Среднее линейное отклонение  - это средняя арифметическая из абсолютных отклонений отдельных значений признака от средней.


Дисперсия

Дисперсия - представляет собой средний квадрат отклонений индивидуальных значений признака от их средней величины.


Среднее квадратическое отклонение

Наиболее совершенной характеристикой вариации является среднее квадратическое отклонение, которое называют стандартом (или стандартным отклонение). Среднее квадратическое отклонение () равно квадратному корню из среднего квадрата отклонений отдельных значений признака от средней арифметической:


Коэффициент вариации

Коэффициент вариации - мера относительного разброса случайной величины; показывает, какую долю среднего значения этой величины составляет ее средний разброс.


Так как коэффициент вариации <33%, то я могу сделать вывод, что совокупность однородна.

Первый и третий квартиль

Квартили (Q) - значения вариантов, которые делят упорядоченный ряд по объему на 4 равные части. Первый квартиль отсекает от совокупности ¼ часть единиц с минимальными значениями, а третий отсекает ¼ часть единиц с максимальными значениями.

Найдем 1 квартиль:


Этому номеру соответствует значение ряда 97. Следовательно, квартиль

Найдем 3 квартиль:


Этому номеру соответствует значение ряда 103. Следовательно, квартиль

Коэффициент ассиметрии

Коэффициент асимметрии - числовая характеризующая степени несимметричности распределения данной случайной величины.

В симметричных распределениях средняя арифметическая, мода и медиана совпадают (.) Если это равенство нарушается - распределение ассиметрично.

 

,9101; 100,9101; 101=101,

следовательно, существует небольшая ассиметрия, которая может быть определена по формуле:


Коэффициент ассиметрии отрицателен, значит, существует небольшая левосторонняя ассиметрия.


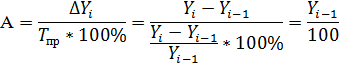
Задание 2. Ряды динамики

)Основные аналитические показатели рядов динамики:

Средний уровень ряда динамики

Абсолютный прирост

Темп роста

Темп прироста

Абсолютное значение 1% прироста

Средний темп роста и средний темп прироста

Среднегодовой темп роста

Среднегодовой темп прироста

Таблица 2.1.

Основные показатели

Показатели

Годы


2005

2006

2007

2008

2009

2010

Оборот розничной торговли непродовольственными товарами на душу населения, руб.

26719

33438

42062

52399

52805

59270


Средний уровень ряда динамики:

Ряд интервальный:  = 44448.8

Таблица 2.2

Товарооборот магазина, тыс.руб.

Месяц

Товарооборот

Индекс сезонности

Январь

410

58,4

Февраль

478

68,1

Март

508

72,4

Апрель

642

91,5

Май

734

104,6

Июнь

847

120,7

Июль

1580

225,2

Август

1190

169,6

Сентябрь

842

120

Октябрь

588

83,8

Ноябрь

390

55,6

Декабрь

208

29,6


 = 701,4



Таблица 2.3.

Основные аналитические показатели ряда динамики

Показатели

Схема расчета

Годы



2005

2006

2007

2008

2009

2010

Уровень ряда

-

26719

33438

42062

52399

52805

59270

Абсолютный прирост

Базисная Цепная

Х Х

6719 6719

15343 8624

25680 10337

26086 406

32551 6465

Темп роста , %

Базисная Цепная

100% 100%

125.1 125.1

157.4 125.8

196.1 124.6

197.6 100.1

221.8 112.2

Темп прироста , %

Базисная Цепная

Х Х

+25.1 +25.1

+57.4 +25.8

+96.1 +24.6

+97.6 +0.1

+121.8 +12.2

Абсолютное значение 1% прироста

Цепная

Х

267.19

334.38

420.62

523.99

528.05

Среднегодовые темпы роста

-

-

112.55

141.25

176.75

196.8

209.7

Среднегодовые темпы прироста

-

-

12.55

41.25

76.75

96.8

109.7


Абсолютный прирост :

 - по базисной схеме

 - по цепной схеме

Темп роста :

 - по базисной схеме

- по цепной схеме

Темп роста :

 - по базисной схеме

- по цепной схеме

Абсолютное значение 1% прироста :


Данные по вышеуказанным формулам занесены в таблицу 2.3.

Средний темп роста:

 =  = 1.6

Средний темп прироста:  - 100 = 0.016

Задание 3. Статистика населения

По данным таблицы определить:

Естественный, механический и общий прирост населения;

Оборот миграционных процессов;

Коэффициенты: общие коэффициенты рождаемость и смертность, коэффициент фертильности, коэффициент жизненности Покровского, коэффициенты брачности и разводимости, коэффициент естественного, коэффициенты

Таблица 5.1

Показатели

Ед.измерения


Численность населения на конец года

Тыс.чел.

142008,8

Число женщин на 1000 мужчин

Чел.

1160

Доля женщин в возрасте 15-49 лет в общей численности женщин

%

42

Родилось

Тыс. чел.

1610122

Умерло

Тыс. чел.

2080445

Прибыло в страну

Тыс. чел.

286956

Выбыло из страны

Тыс. чел.

47013

Тыс. чел.

1262500

Число разводов

Тыс.

685910


Показатель общего прироста:

∆S = (N - M) + (  - ) = - 230380

Общий коэффициент рождаемости: