Материал: Подсистема подготовки видеопотока к онлайн-трансляции

Внимание! Если размещение файла нарушает Ваши авторские права, то обязательно сообщите нам

1.       Очистка изображения от шума и лишних деталей.

2.      Очистка изображения от шума и лишних деталей.

.        Поиск градиентов изображения, к примеру, оператором Собеля.

.        Подавление не-максимумов. Только локальные максимумы отмечаются как границы.

.        Двойная пороговая фильтрация. Потенциальные границы определяются порогами.

.        Трассировка контуров (Связать края в контуры)

Так как малейший шум на изображении может нарушить целостность его контуров, перед началом поиска рекомендуется провести фильтрацию изображения любым шумоподавляющим методом. В силу высокой скорости работы и простоты реализации, наиболее часто используется фильтр Гаусса. Границы на изображении могут находиться в различных направлениях, поэтому алгоритм Кенни использует четыре фильтра для выявления горизонтальных, вертикальных и диагональных границ. Воспользовавшись оператором обнаружения границ (например, оператором Собеля) получается значение для первой производной в горизонтальном направлении (Gу) и вертикальном направлении (Gx). Из этого градиента можно получить угол направления границы:

=arctan(Gx/Gy)

Угол направления границы округляется до одной из четырех углов, представляющих вертикаль, горизонталь и две диагонали (например, 0, 45, 90 и 135 градусов). Границами объявляются только те пиксели, в которых достигается локальный максимум градиента в направлении вектора градиента. Значение направления должно быть кратно 45°. После подавления не-максимумов, края становятся более точными и тонкими.

На следующем шаге путем пороговой фильтрации для каждого рассматриваемого пикселя определяется, относится ли он к границам изображения. Чем выше будет порог, тем более однородными будут находимые контуры, однако слабые края могут быть проигнорированы. С другой стороны, при уменьшении порога повышается восприимчивость алгоритма к шуму. Выделение границ Кенни использует два порога фильтрации: если значение пикселя выше верхней границы - он принимает максимальное значение (граница считается достоверной), если ниже - пиксель подавляется, точки со значением, попадающим в диапазон между порогов, принимают фиксированное среднее значение (они будут уточнены на следующем этапе).

Последний этап обработки изображения заключается в связывании отдельных краев в однородные контуры. Пиксели, получившие на предыдущем шаге среднее значение либо подавляются (если они не соприкасаются ни с одним из уже обнаруженных краев) либо присоединяются к соответствующему контуру.

         Сегментация

Большая часть изображений, получаемых с фото- и видеоаппаратуры являются растровыми, то есть состоящими из цветных точек, расположенных в виде прямоугольной сетки. Однако люди воспринимают окружающий мир как совокупность цельных объектов, а не матрицу из точек. Человеческий мозг способен объеденить разрозненные детали изображения в однородные области, на подсознательном уровне четко разделив его на объекты. Этот процесс называется сегментацией, и может быть реализован программно при решении задачи компьютерного анализа изображения и распознавания образов. Сегментация выполняется на первых этапах анализа, и качество её выполнения может оказать сильное влияние на его скорость и точность.

Методы сегментации можно разделить на два класса: автоматические - не требующие взаимодействия с пользователем и интерактивные - использующие пользовательский ввод непосредственно в процессе работы.

Во первом случае никакая априорная информация о свойствах областей не используется, зато на само разбиение изображения накладываются некоторые условия (например, все области должны быть однородны по цвету и текстуре). Так как при такой постановке задачи сегментации не используется априорная информация об изображенных объектах, то методы этой группы универсальны и применимы к любым изображениям.

Для грубой оценки качества метода в конкретной задаче обычно фиксируют несколько свойств, которыми должна обладать хорошая сегментация:

§   однородность регионов (однородность цвета или текстуры);

§   непохожесть соседних регионов;

§   гладкость границы региона;

§   маленькое количество мелких «дырок» внутри регионов [23];

Пороговая сегментация

Пороговая обработка является самым простым методом, ориентированным на обработку изображений, отдельные однородные участки которых различаются средней яркостью. Однако если изображение освещено неравномерно, часть объектов может совпасть по интенсивности с фоном, что сделает пороговую сегментацию неэффективной.

Простейшим и вместе с тем часто применяемым видом пороговой сегментации является бинарная сегментация, когда на изображении выделяется только два типа однородных участков [24].

При этом преобразование каждой точки исходного изображения  в выходное  выполняется по правилу:


где x0 - единственный параметр обработки, называемый порогом. Уровни выходной яркости y0 и y1, могут быть произвольными, они лишь выполняют функции меток, при помощи которых осуществляется разметка получаемой карты - отнесение ее точек к классам К1 или К2 соответственно. Если образуемый препарат подготавливается для визуального восприятия, то часто их значения соответствуют уровням черного и белого. Если существует более двух классов, то при пороговой обработке должно быть задано семейство порогов, отделяющих яркости различных классов друг от друга.

Пороговая сегментация хорошо подходит для выделения на изображении малого количества не пересекающихся объектов, имеющих однородную структуру и резко выделяющихся из фона. С увеличением степени неоднородности изображения, а значит, количества сегментов и их сложности, данный тип сегментации становиться неэффективным.

Сегментация основанная на разбиении графа

Методы теории графов - одно из наиболее активно развивающихся направлений в сегментации изображений.

Общая идея методов этой группы следующая. Изображение представляется в виде взвешенного графа, с вершинами в точках изображения. Вес ребра графа отражает сходство точек в некотором смысле (расстояние между точками по некоторой метрике). Разбиение изображения моделируется разрезами графа [23].

Обычно в методах теории графов вводится функционал «стоимости» разреза, отражающий качество полученной сегментации. Так задача разбиения изображения на однородные области сводится к оптимизационной задаче поиска разреза минимальной стоимости на графе. Такой подход позволяет помимо однородности цвета и текстуры сегментов управлять также формой сегментов, их размером, сложностью границ и т. п.

Для поиска разреза минимальной стоимости применяются различные методы: жадные алгоритмы (на каждом шаге выбирается такое ребро, чтобы суммарная стоимость разреза была минимальной), методы динамического программирования (гарантируется, что, выбирая на каждом шаге оптимальное ребро, получим в итоге оптимальный путь), алгоритм Дейкстры, и т.п.

         Интерполяция

В компьютерной графике метод интерполяции часто применяется в процессе изменения масштаба изображений. Изменяя количество точек изображения, интерполяция помогает избежать излишней пикселизации картинки при ее увеличении или потери важных деталей при уменьшении.

В процессе интерполяции, между пикселями изображения вставляются дополнительные точки, предполагаемый тон и цвет которых вычисляются по особому алгоритму на основе анализа имеющихся данных о соседних областях. К сожалению, так как любая интерполяция является всего лишь приближением, изображение неизменно будет терять в качестве всякий раз, когда подвергается интерполяции.

Интерполяция методом ближайшего соседа

Данный алгоритм является самым простым видом интерполяции, просто увеличивая каждый пиксель изображения до требуемого масштаба. Требует наименьшего времени обработки, но приводит к наихудшим результатам.

Билинейная интерполяция

Данный вид интерполяции производится по каждой координате двумерной сетки. Изображение при этом рассматривается как поверхность, цвет - третье измерение. Если изображение цветное, то интерполяция проводится отдельно для трех цветов. Для каждой неизвестной точки нового изображения билинейная интерполяция рассматривает квадрат из четырех окружающих её известных пикселей [25]. В качестве интерполированного значения используется взвешенное усреднение этих четырёх пикселей. В результате изображения выглядят значительно более гладко, чем результат работы метода ближайшего соседа.

Билинейная интерполяция хорошо работает при целых больших значениях коэффициентов масштабирования, однако при этом довольно сильно размывает резкие границы изображения.

Бикубическая интерполяция идёт на один шаг дальше билинейной, рассматривая массив из 4x4 окружающих пикселей - всего 16. Поскольку они находятся на разных расстояниях от неизвестного пикселя, ближайшие пиксели получают при расчёте больший вес. Бикубическая интерполяция производит значительно более резкие изображения, чем предыдущие два метода, и возможно, является оптимальной по соотношению времени обработки и качества на выходе. По этой причине она стала стандартной для многих программ редактирования изображений (включая Adobe Photoshop), драйверов принтеров и встроенной интерполяции камер [26].

Масштабированное изображение может стать значительно менее резким. Алгоритмы интерполяции, которые лучше сохраняют резкость, одновременно больше подвержены муару, тогда как те, которые исключают муар, обычно дают более мягкий результат. К сожалению, такого компромисса при масштабировании избежать невозможно.

Один из наилучших способов бороться с этим - применить сразу после масштабирования маску нерезкости, даже если оригинал уже подвергался повышению резкости.

         5.2 Обоснование выбора алгоритмов, используемых в подсистеме


Основным требованием к разрабатываемому пакету программ являлась минимизация задержки воспроизведения видеопотока при его предварительной обработке на вычислительном кластере. Кроме того, съемка может происходить в любых условиях, а значит в короткий срок необходимо было реализовать большое количество простых фильтров для нейтрализации различных негативных эффектов. Кроме того, необходимо было за короткий срок изучить большое количество негативных факторов, появляющихся на видео и реализовать простые фильтры для их нейтрализации. Алгоритмы, удовлетворяющие представленным требованиям должны быть легко доступны, хорошо оптимизированы, обладать высокой надежностью и вместе с тем простотой реализации. Такими свойствами обладают функции библиотеки OpenCV, поэтому при выборе конкретных методов для реализации фильтров обработки видео-потока приоритет отдавался алгоритмам, в том или ином виде содержащимся в данной библиотеке.

Все рассматриваемые в теоретической части выпускной квалификационной работы алгоритмы были реализованы в тестовом виде для того чтобы можно сравнить их характеристики на практике. В частности, предпочтение отдавалось компромиссу между скоростью обработки кадра видеопотока и качеством получаемого результата.

В итоге для реализации фильтров обработки видео-потока на вычислительном кластере были выбраны следующие алгоритмы:

1.       Для удаление “аддитивного белого” шума был выбран алгоритм Гаусса. Как наиболее расространенный метод шумоподавления он очень хорошо оптимизирован и соответственно обладает высокой скорость работы

2.      Для удаление “аддитивного белого” шума был выбран алгоритм Гаусса. Как наиболее распространенный метод шумоподавления он очень хорошо оптимизирован и соответственно обладает высокой скорость работы

.        Для удаления “импульсного” шума была выбрана медианная фильтрация. Данный метод так же хорошо оптимизирован, кроме того он был разработан специально для устранения импульсного шума и шума вида «соль и перец»

.        Для повышения резкости изображения была выбрана свертка, так как она работает гораздо быстрее нерезкого маскирования, вместе с тем давая приемлемые результаты.

.        Библиотека OpenCV не содержит алгоритмов цветокоррекции - поэтому решено было реализовать наиболее распространенный и хорошо документированный алгоритм Single Scale Retinex. Данный метод обладает очень высокой эффективностью, но требует оптимизации для ускорения скорости работы.

.        В качестве метода выделение контуров был выбран алгоритм Кенни, так как он дает более качественные результаты, чем фильтр Собеля.

.        Алгоритм пирамидальной сегментации, представленный в библиотеке OpenCV работает крайне медленно, поэтому решено было использовать рассмотренный ранее алгоритм сегментации на графах.

.        интерполяция - выбран метод бикубической интерполяции как самый разумный компромисс между скоростью работы и качеством результата.

Установка и конфигурирование используемых программных средств.

На используемом вычислительном кластере была установлена система GNU Linux (Ubuntu)

После установки операционной системы необходимо установить несколько библиотек, осуществляющих поддержку чтения и записи файлов изображений, рисование на экране, работу с видео и т.д.

Установка CMake

Сборка проекта осуществляется с помощью CMake (требуется версия 2.6 или выше). Установить ее можно командой:get install cmake

Так же могут понадобиться следующие библиотеки:essential libjpeg62-dev libtiff4-dev libjasper-dev libopenexr-dev libtbb-dev libeigen2-dev libfaac-dev libopencore-amrnb-dev libopencore-amrwb-dev libtheora-dev libvorbis-dev libxvidcore-dev

Установка ffmpeg

Чтобы opencv мог корректно обрабатывать видео-файлы, необходимо установить библиотеку ffmpeg. Это делается следующими командами:

) Скачивание исходных кодов библиотеки #"865762.files/image015.jpg">)

(7.1)

где k - индекс (номер) эксперта;- индекс (номер) программного комплекса;- индекс (номер) программного компонента.

Оценку проводит один эксперт. Результаты экспертизы приведены в таблице 7.1

Таблица 7.1 - Экспертная оценка размерности программной системы

Программные комплексы и компоненты КПС

Пес.

Реал.

Опт.

Средн.

 

Фильтр устранения шума

 

Считывание данных

50

30

32

 

Обработка данных

50

30

20

32

 

Отправка данных

18

18

18

18

 

Сохранение данных

30

24

20

24

 

Фильтр изменения четкости

 

Считывание данных

50

30

20

31

Обработка данных

60

48

35

47

Отправка данных

18

18

18

18

Сохранение данных

30

24

20

25

Фильтр цветокоррекции

 

Считывание данных

50

30

20

32

Преобразование данных

40

30

20

30

Обработка данных

120

108

80

105

Отправка данных

30

24

20

24

Сохранение данных

45

30

20

31

Интерполирующий фильтр

 

Считывание данных

50

30

20

32

Обработка данных

30

24

20

24

Пост-обработка данных

18

18

18

18

Отправка данных

18

18

18

18

Сохранение данных

45

30

20

31

Компонент нахождения контуров





Считывание данных

50

30

20

32

Подготовка данных

30

24

20

24

Обработка данных

50

36

25

37

Отправка данных

18

18

18

18

Сохранение данных

36

24

18

25

Компонент сегментации





Считывание данных

50

30

20

32

Подготовка данных

18

18

18

18

Создание графа изображения

120

96

80

98

Сегментация графа

150

114

70

112

Сохранение данных

30

24

20

24


Оценка трудозатрат, длительности и средней численности разработчиков при реализации проекта основывается на согласовании между разработчиком и заказчиком производительности труда программиста P. Согласно нормативам трудоемкости разработки программ базовой модели COCOMO (см. таблицу 7.2) примем P = 240 строк/чел.-месяц (третий тип (ППП), с количеством строк до 30 тыс.).

Таблица 7.2 - Нормативы трудоемкости разработки программ

Класс сложности ПС

Размеры ПС


до 30 тыс. строк

до 500 тыс. строк

Первый тип (КПС)

до 140 строк/чел.-месяц

до 80 строк/чел.-месяц

Второй тип (ИПС)

до 220 строк/чел.-месяц

до 160 строк/чел.-месяц

Третий тип (ППП)

до 250 строк/чел.-месяц

до 250 строк/чел.-месяц


Трудозатраты на разработку определяются по формуле:

=R/P, (7.2)

где Т - длительность разработки системы;- оценка значения трудозатрат;- производительность труда программиста.

По формуле (7.2) вычисляем:

T=992/250=3.97

При заданной длительности разработки (3 месяца) среднюю численность персонала определяем по формуле:

=T/D, (7.3)

где N - средняя численность специалистов;- срок разработки.

По формуле (7.3) вычисляем:

N=3.97/3=1.32

Полученные основные технико-экономические показатели разработки:

1.      Трудозатраты на разработку системы за 3 месяца составят 3,97 человеко-месяцев.

2.      Необходимые людские ресурсы при реализации системы за 3 месяцев составят 1,32 чел.

         7.3 Определение договорной цены на создание программной системы

        

         Определение фонда оплаты труда на разработку и комплексные испытания программной системы

В основу определения фонда оплаты труда положены:

1.       длительность реализации каждого этапа жизненного цикла проекта;

2.      количество и качественный состав специалистов, привлекаемых на каждом этапе проекта;

.        базовая месячная ставка специалиста программиста.

Исходные данные, полученные с помощью метода определения ТЭП методом экспертных оценок:

трудоемкость - 3,97 чел.-месяцев;

длительность - 3 месяца;

средняя численность специалистов 1,32 человек;

Средняя численность сотрудников, занятых на каждом из этапов создания программной системы определяется соотношением:

= T * ai / D * bi, i = 1..5 (7.4)

где T - трудозатраты на разработку;- длительность разработки;и bi - коэффициенты из таблицы 7.4.

Таблица средней численности сотрудников, занятых на каждом из этапов создания рассматриваемого пакета программ (ППП), формируется используя статистические данные табл. 7.3, взятые из руководства [27]

Таблица 7.3 - Распределение трудозатрат и длительности по основным этапам жизненного цикла создания ПС.

Название этапа

Трудозатраты (%), ai

Длительность (%), bi

1

Анализ требований

10

10

2

Определение спецификаций

10

10

3

Проектирование

15

15

4

Кодирование

20

20

5

Тестирование

45

45



Таблица 7.4 - Средняя численность сотрудников, занятых на каждом из этапов создания программной системы и длительность каждого этапа

Этапы жизненного цикла

Трудозатраты (чел./мес.)

Численность сотрудников, чел

Длительность, месяцев

Анализ требований, предъявляемых к системе

0.4

1.32

0,3

Определение спецификаций

0.4

1.32

0,3

Проектирование

0.6

1.32

0,45

Кодирование

0.79

1.32

0.6

Тестирование (автономное и комплексное)

1.79

1.32

1.35


Относительное распределение численности специалистов на каждом этапов жизненного цикла создания программной системы приведены в таблице 7.5.

Таблица 7.5 - Относительное распределение численности специалистов по этапам

Название этапа

Аналитик

Программист

Тех. специалист

Анализ требований

40

20

40

Определение спецификаций

60

20

20

Проектирование

35

35

30

Кодирование

10

65

25

Тестирование

15

60

25


Численность каждого типа специалистов на каждом из этапов жизненного цикла создания программной системы определяется по следующему выражению:

= pij * Ni / 100, i = 1..5, j = 1..3 (7.5)

где pij - доля (%) специалистов j-го типа привлекаемых на i-м этапе.

Таблица 7.6 - Численность каждого типа специалистов на каждого из этапов

Название этапа

Аналитик

Программист

Тех. специалист

Анализ требований

0.53

0.26

0.53

Определение спецификаций

0.79

0.26

0.26

Проектирование

0.46

0.46

0.4

Кодирование

0.13

0.86

0.33

Тестирование

0.2

0.79

0.33


Примем размер ставки программиста равной 20 тысяч рублей, как рыночную базовую ставку программиста в данном регионе. Тогда в соответствии с принятыми соотношениями (соотношение месячной ставки аналитика составляет как 1:1,3, а технического специалиста как 1:0.7) ставки участников разработки будут:

1.      базовая ставка программиста 20 000 руб;

2.      ставка руководителя 26 000 руб;

.        ставка техника 14 000 руб.

Результаты расчета фонда зарплаты сведены в таблицу 7.7:

Таблица 7.7 - расчет фонда заработной платы работников.

Название этапа

Аналитик

Программист

Тех. специалист

ФЗП по этапу

Анализ требований

4126.72

1587.2

2222.08

7936

Определение спецификаций

6190

1587.2

1111.04

8888.32

Проектирование

5416.32

4166.4

2499.84

12082.56

Кодирование

2063.36

10316.8

2777.6

15157.76

Тестирование

6963.84

21427.2

6429.6

34640.64

ИТОГО




78705.28

 

         Структура договорной цены на программное обеспечение

Предположим, что стоимость приобретенной для выполнения продукта компьютерной техники (программно-аппаратный комплекс) составит 50 тыс. рублей. Тогда амортизационные отчисления для средств вычислительной техники согласно действующему законодательству будут производиться в течении 5 лет, т.е. составят 50000/5 = 10000 рублей в год. Так как срок разработки системы - полгода, итоговые амортизационные выплаты составят 5000 рублей. Смета затрат и общая стоимость проекта сведены в таблицу 7.8:

Таблица 7.8 - Смета затрат на разработку и внедрение проекта.

Наименование статей расходов

Сумма (руб.)

Заработная плата

78705.28

Единый социальный налог

27546.85

Увеличение стоимости основных средств (2 компьютера по цене 30 тыс. рублей(сервер) и 20 тыс. рублей(рабочая станция))

50000

Амортизация программно-промышленного комплекса

5000

Услуги связи (2000р.*3мес)

6000

Прочие расходы (1000р.*3мес)

3000

Итого прямые расходы

170252.13

Фонд развития производства (10% от прямых затрат)

17025.21

Накладные расходы (12% от прямых затрат)

20430.26

Всего расходов

207707.6

Налог на добавленную стоимость (18% от общей стоимости проекта)

37387.37

ИТОГО ДОГОВОРНАЯ ЦЕНА


Договорная цена на разработку и внедрение пакета подпрограмм “фильтры изображений” составляет: 245095 рублей.

.4 Расчет точки безубыточности

Исследовав рынок программного обеспечения, экспертами отдела маркетинга установлено, что рекомендуемая стоимость  одной копии системы будет составлять порядка 13000 рублей на один выпускаемый продукт.

Основная зарплата специалистов отдела маркетинга (маркетолог, экономист) по нормам, установленным в организации, составляет 33% от стоимости тиражируемого продукта (4290 руб. в месяц).

Фиксированные издержки приведены в таблице 7.9

Таблица 7.9 - Постоянные (фиксированные) расходы

Наименование расходов

Сумма (руб.)

Плановое ежемесячное гашение кредита ( 245095 руб. / 3 мес.)

81698.33

Выплата среднего банковского процента - 20% годовых

16339.67

Амортизация программно-аппаратного комплекса отдела маркетинга (компьютер - 20000 руб.)

6667,00

Прочие расходы

1000,00

ИТОГО

105705,00


Переменные издержки отдела маркетинга, занимающегося непосредственно тиражированием программного продукта, рассчитываются на единицу продукции (таблица 7.10).

Таблица 7.10 - Переменные издержки (отдел маркетинга)

Наименование расходов

Сумма (руб.)

Основная зарплата специалистов (33% от стоимости тиражируемого продукта)

4290,00

Страховые взносы (34%)

1459,00

Комплектующие и расходные материалы (картриджи, тонер, бумага и т.д.)

500,00

Накладные расходы отдела маркетинга (услуги связи, Интернет, телефон и т.д.)

500,00

ИТОГО

6749,00


Таким образом, в течение месяца фирме необходимо подготовить и продать не менее 17 копий программного обеспечения разработчикам коммерческих программ по цене 13000 руб., чтобы покрыть постоянные и переменные расходы по ее деятельности.

         7.5 Выводы по экономическому разделу


Научно-технический пакет программ обработки видеопотока в реальном времени для сервиса видеотрансляции "StreamME" не имеет аналогов на предприятии-заказчике. В таблице 7.11 приводятся основные экономические показатели, рассчитанные в данном разделе.

Таблица 7.11 - Основные экономические показатели проекта

Показатель

Значение

Затраты на разработку проекта, руб.

926240

Требуемый срок разработки, мес.

6

Количество человек необходимых для выполнения проекта за 3 мес., чел.

1,32




8. Обеспечение безопасности жизнедеятельности

Данный раздел описывает опасные и вредные факторы труда, воздействию которых может подвергаться инженер-программист во время разработки дипломного проекта. Так же рассматриваются стандарты и нормативы организации рабочего места, выдвигаются рекомендации по созданию оптимальных условий труда. Конечной целью анализа является оценка уровня безопасности рабочего места программиста, и, в случае его несоответствия установленным правилам, предложение мероприятий по снижению степени воздействия опасных факторов до допустимых пределов.

.1 Описание рабочего помещения

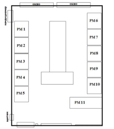
Рабочее помещение располагается по адресу: ул. Вершинина, 74 (корпус ФЭТ ТУСУР), аудитория 435 (4-й этаж).

Затемняющих окна зданий нет, на расстоянии примерно 30 метров от корпуса ФЭТ находится крупная автомагистраль (улица Вершинина). Размеры рабочей аудитории 5м на 8м, размеры окон 2 на 2.

В рабочем помещении находятся 11 ЭВМ (на схеме обозначены номерами от 1 до 11), каждое на отдельном рабочем месте, 5 у одной стены, перпендикулярной окну, 5 у противоположной, и 1 напротив окон. Схема аудитории представлена на рис.1.

Электропитание всех компьютеров контролируется с щитка, расположенного у двери. Так же из электроприборов в кабинете присутствуют кондиционер и проектор. Рабочее место дипломника обозначено на схеме как «РМ 9». Площадь помещения составляет 40 м2, длина аудитории составляет 8 метров, ширина 5 метров, высота 3 метра. Таким образом объем составляет 120 м3. На одно рабочее место отводится площадь 3,6 м2, а объем 10,9 м3. Данные числа не удовлетворяют нормативу при использовании жидкокристаллических мониторов. Согласно [БЖД-1] площадь на одно рабочее место составляет 4,5 м2.

Рисунок 8.1 План-схема рабочего помещения

.2 Требования к ПК

Согласно ГОСТ 12.0.003-74, при работе на ПЭВМ пользователь в той или иной мере подвержен влиянию следующих вредных производственных факторов:

ñ  повышенная ионизация воздуха;

ñ  повышенный уровень статического электричества;

ñ  повышенный уровень электромагнитных излучений;

ñ  повышенная напряженность электрического поля;

ñ  повышенная контрастность и пульсация светового потока;

ñ  повышенный уровень ультрафиолетовой и инфракрасной радиации;

ñ  повышенный уровень шума и вибрации;

ñ  нервно-эмоциональная напряженность.

Чтобы избежать, или по возможности уменьшить уровень негативных воздействий на человека, необходимо использовать только те ПЭВМ, которые соответствуют санитарным нормам и правилам СанПиН 2.2.2/2.4.1340-03 «Гигиенические требования к персональным электронно-вычислительным машинам и организации работы» [28].

ПЭВМ стандартной комплектации состоит из следующих частей: монитор, системный блок, клавиатура и средства оргтехники.

Конструкция монитора (видеодисплейного терминала - ВДТ) должна обеспечивать возможность поворота корпуса в горизонтальной и вертикальной плоскости с фиксацией в заданном положении для обеспечения фронтального наблюдения экрана. Дизайн мониторов должен предусматривать окраску в спокойные мягкие тона с диффузным рассеиванием света. Корпус монитора и ПЭВМ, клавиатура должны иметь матовую поверхность одного цвета с коэффициентом отражения 0,4-0,6 и не иметь блестящих деталей, способных создавать блики. Конструкция ВДТ должна предусматривать наличие ручек регулировки яркости и контраста, обеспечивающие возможность регулировки этих параметров от минимальных до максимальных значений.

Рекомендуется наличие на экранах мониторов антистатического покрытия (antistatic coating), которое препятствует возникновению на поверхности экрана электростатического заряда, притягивающего пыль и не благоприятно влияющего на здоровье пользователя.

Допустимые визуальные параметры ВДТ приведены в таблице 8.1.


Таблица 8.1 - Визуальные эргономические параметры ВДТ и их пределы

Наименование параметров

мин.(не менее)

макс.(не более)

Яркость знака (фона), кд/кв. м. (измеренная в темноте)

35

120

Внешняя освещенность экрана, лк

100

250

Угловой размер знака, угл. Мин.

16

60

Контраст (для монохромных ВДТ)

3:1

1,5:1

Временная нестабильность изображения (мерцание)

Не должна быть зафиксированна 90% наблюдателей


При активном рабочем состоянии эксплуатации ПЭВМ и ВДТ должны соответствовать стандартам ССБТ и нижеуказанным нормативам.

ñ  ГОСТ Р 50948-98. Средства отображения информации индивидуального пользования. Общие эргономические требования и требования безопасности.

ñ  ГОСТ 50923-96. Дисплеи. Рабочее место оператора. Общие эргономические требования к производственной среде. Методы измерения.

ñ  СанПиН 2.2.2.542-96. Гигиенические требования к видеодисплейным терминалам, ПЭВМ и организация работы.

Другой неотъемлемой частью ПЭВМ, оказывающей заметное влияние на удобство пользователя, является клавиатура. Она должна иметь опорное приспособление, у которого есть возможность изменять угол наклона поверхности клавиатуры в пределах от 50 до 150. Средний ряд клавиш должен иметь высоту не более 30 мм. Клавиши, часто используемые, должны находиться в центре, редко же используемые - сверху и слева. Минимальный размер клавиш - 13 мм, оптимальный - 15 мм. Функциональные группы клавиш должны быть выделены цветом, формой и местом расположения. Расстояние между клавишами не должно превышать 3 мм.

Требования к помещению для работы с ПК и организация рабочего места

Требования к помещениям для работы с ПК

Помещения для эксплуатации ПК должны иметь естественное и искусственное освещение. Эксплуатация ПК в помещениях без естественного освещения допускается только при соответствующем обосновании и наличии положительного санитарно-эпидемиологического заключения, выданного в установленном порядке.

Искусственное освещение в помещениях для эксплуатации ПК должно осуществляться системой общего равномерного освещения. В качестве источников света при искусственном освещении следует применять преимущественно люминесцентные лампы с рассеивателями и экранирующими решетками. Применение светильников без рассеивателей и экранирующих решеток не допускается. В светильниках местного освещения допускается применение ламп накаливания, в том числе и галогенных. Для обеспечения нормируемых значений освещенности в помещениях для использования ПК следует производить чистку стекол оконных рам и светильников не реже двух раз в год и проводить своевременную замену перегоревших ламп.

Помещения, где размещаются рабочие места с ПК, должны быть оборудованы защитным заземлением, в них должна проводиться ежедневная влажная уборка и систематическое проветривание после каждого часа работы на ПК. Также они должны оборудоваться системами отопления, кондиционирования воздуха или эффективной приточно-вытяжной вентиляцией.

Для отделки интерьера помещений должны использоваться материалы па стельных тонов с матовой фактурой. Покрытие пола выполняется из гладких, не скользящих материалов, обладающих антистатическими свойствами.

В помещении должны находиться аптечка первой медицинской помощи, углекислотный огнетушитель для тушения пожара [28].

Требования к организации рабочих мест пользователей ПК

В помещениях культурно-развлекательных учреждений и с ПК на базе жидкокристаллических или плазменных экранов площадь на одно рабочее место должна составлять не менее 4,5 м2. [29].

При размещении рабочих мест расстояние между рабочими столами с мониторами (в направлении тыла поверхности одного монитора и экрана другого) должно быть не менее 2 м, а расстояние между боковыми поверхностями мониторов - не менее 1,2 м.

Рабочие столы следует размещать так, чтобы мониторы были ориентированы боковой стороной к окнам, чтобы естественный свет падал преимущественно слева.

Рабочие места с ПК для выполнения творческой работы, требующей значительного умственного напряжения или высокой концентрации внимания, рекомендуется изолировать друг от друга перегородками высотой 1,5-2,0 м.

Экран монитора должен находиться от глаз пользователя на расстоянии 600-700 мм, но не ближе 500 мм с учетом размеров алфавитно-цифровых знаков и символов. Клавиатура располагается на поверхности стола на расстоянии 100-300 мм от края.

Рабочий стол может быть любой конструкции, отвечающей современным требованиям эргономики и позволяющей удобно разместить на рабочей поверхности оборудование с учетом его количества, размеров и характера выполняемой работы. Целесообразно применение столов, имеющих отдельную от основной столешницы специальную рабочую поверхность для размещения клавиатуры. Используются рабочие столы с регулируемой и нерегулируемой высотой рабочей поверхности. При отсутствии регулировки высота стола должна быть в пределах от 680 до 800 мм [30].

Для обеспечения физиологически рациональной рабочей позы, создания условий для ее изменения в течение рабочего дня применяются подъемно-поворотные рабочие стулья с сиденьем и спинкой, регулируемыми по высоте и углам наклона, а также расстоянию спинки от переднего края сидения.

Требования к микроклимату на рабочих местах, оборудованных ПК

Работа инженера-программиста относится к категории умственного труда и по степени физической тяжести относится к категории легких работ - Ia (работа производится сидя и не требует физического напряжения, при которых расход энергии составляет до 120 ккал/час.)

На рабочем месте пользователей должны обеспечиваться оптимальные параметры микроклимата. На работах, производимых сидя и не требующих физического напряжения, температура воздуха должна быть в холодный период года от 22 до 24 оС, теплый период года - от 23 до 25 оС. Относительная влажность воздуха на постоянных рабочих местах должна составлять 40-60%, скорость движения воздуха должна быть 0,1 м/с. Для повышения влажности воздуха в помещениях следует применять увлажнители воздуха.

Ионный состав воздуха должен содержать следующее количество отрицательных и положительных аэроионов; минимально необходимый уровень 600 и 400 ионов в 1 см3 воздуха; оптимальный уровень 3 000-5 000 и 1 500-3 000 ионов в 1 см3 воздуха; максимально допустимый - 50 000 ионов в 1 см3 воздуха [31].

В рабочей аудитории оптимальные значения микроклимата поддерживают система отопления и кондиционер.

Требования к уровню шума и вибрации на рабочих местах, оборудованных ПК

В производственных помещениях при выполнении основных или вспомогательных работ с использованием ПЭВМ уровни шума на рабочих местах не должны превышать предельно допустимых значений, установленных для данных видов работ в соответствии с действующими санитарно-эпидемиологическими нормативами.

Печатающее оборудование, являющееся источником шума, следует устанавливать на звукопоглощающей поверхности автономного рабочего места пользователя. Если уровни шума от печатающего оборудования превышают нормируемые, оно должно быть расположено вне помещения с ПК. Помещения для выполнения основной работы с ПК не должны быть расположены рядом с производственными помещениями с повышенным уровнем шума (мастерские, производственные цеха и т.п.).

При выполнении основной работы на мониторах и ПЭВМ (диспетчерские, операторские, залы вычислительной техники и т. д.), где работают инженерно-технические работники, уровень шума не должен превышать 60 дБА, в помещениях операторов ЭВМ (без дисплеев) - 65 дБА, на рабочих местах в помещениях, где размещаются шумные агрегаты вычислительных машин - 75 дБА.

При выполнении работ с использованием ПЭВМ в производственных помещениях уровень вибрации не должен превышать допустимых значений вибрации для рабочих мест (категория 3, тип “в”) в соответствии с действующими санитарно-эпидемиологическими нормативами [31].

Естественным источником шума является автомагистраль, проходящая под окнами аудитории, в 30 метрах от здания. Однако плотность движения по ней не значительна, кроме того, конструкция окон аудитории позволяет при закрытии полностью исключить данный шумовой фактор.

Требования к освещению рабочих мест, оборудованных ПК

В компьютерных залах должно присутствовать как естественное, так и искусственное освещение. Естественное освещение обеспечивается через оконные проемы с коэффициентом естественного освещения КЕО не ниже 1,2% в зонах с устойчивым снежным покровом и не ниже 1,5% на остальной территории. Световой поток из оконного проема должен падать на рабочее место оператора с левой стороны.

Освещенность на поверхности стола в зоне размещения документа должна быть 300-500 лк. Допускается установка светильников местного освещения для подсветки документов. Местное освещение не должно создавать бликов на поверхности экрана и увеличивать освещенность экрана более 300 лк. Прямую блескость от источников освещения следует ограничить. Яркость светящихся поверхностей (окна, светильники), находящихся в поле зрения, должна быть не более 200 кд/м2.

Отраженная блескость на рабочих поверхностях ограничивается за счет правильного выбора светильника и расположения рабочих мест по отношению к естественному источнику света [28]. Яркость бликов на экране монитора не должна превышать 40 кд/м2. Показатель ослепленности для источников общего искусственного освещения в помещениях должен быть не более 20, показатель дискомфорта в административно-общественных помещениях не более 40. Соотношение яркости между рабочими поверхностями не должно превышать 3:1 - 5:1, а между рабочими поверхностями и поверхностями стен и оборудования 10:1.

Для искусственного освещения помещений с персональными компьютерами следует применять светильники типа ЛПО36 с зеркализованными решетками, укомплектованные высокочастотными пускорегулирующими аппаратами. Допускается применять светильники прямого света, преимущественно отраженного света типа ЛПО13, ЛПО5, ЛСО4, ЛПО34, ЛПО31 с люминисцентными лампами типа ЛБ. Допускается применение светильников местного освещения с лампами накаливания. Светильники должны располагаться в виде сплошных или прерывистых линий сбоку от рабочих мест параллельно линии зрения пользователя при разном расположении компьютеров. При периметральном расположении - линии светильников должны располагаться локализованно над рабочим столом ближе к его переднему краю, обращенному к оператору. Защитный угол светильников должен быть не менее 40 градусов. Светильники местного освещения должны иметь непросвечивающийся отражатель с защитным углом не менее 40 градусов.

Для обеспечения нормативных значений освещенности в помещениях следует проводить чистку стекол оконных проемов и светильников не реже двух раз в год и проводить своевременную замену перегоревших ламп.


Заключение

Обработка изображений с целью улучшения их характеристик является важным разделом компьютерной графики. Использующиеся для этого алгоритмы успешно применяются также для устранения различных негативных эффектов на видео. Из-за большого количества сложных вычислений коррекция обычно применяется к уже отснятому видео и может занять довольно много времени. Однако в связи с постоянным увеличением доступных вычислительных мощностей в настоящее время также становится возможной обработка видео («на лету» / в режиме реального времени).

В процессе реализации сервиса онлайн-трансляции «StreamME» возникла необходимость повышения качества, транслируемого видео-потока с целью повысить комфортность использования сервиса. Необходимые корректирующие алгоритмы было решено реализовать в виде отдельных программных компонент, каждый из которых представлял бы собой фильтр, устраняющий один из распространенных негативных эффектов. Требования к разрабатываемым фильтрам включали в себя устранение шума, изменение контрастности, цветокоррекцию, интерполяцию, сегментацию и выделение контуров изображения. Такая обработка могла быть осуществлена только при наличии больших вычислительных мощностей, из-за чего фильтры решено было разместить на узлах вычислительного кластера кафедры АСУ.

В ходе выполнения дипломного проекта были изучены промежуточные отчеты по научно-исследовательской работе в рамках гранта «Методы и технологии разработки сервис-ориентированных систем анализа и идентификации изображений», литература, рассматривающая алгоритмы обработки изображений, а так же документация открытой библиотеки OpenCV.

В результате выполнения дипломного проекта была изучена библиотека OpenCV, рассмотрены основные методы и алгоритмы обработки изображений. Выделены и использованы приемлемые подходы для разработки программного обеспечения, то есть достаточно простые, быстрые и обеспечивающие эффективную фильтрацию. Выполнена поэтапная программная реализация выбранных алгоритмов повышения качества изображений. Реализация выполнена на языке С++ с использованием библиотеки OpenCV (Open Source Computer Vision)

Сервис видео-трансляции и конкретно разработанные фильтры работают под управлением операционных систем семейства GNU/Linux. В состав подсистемы подготовки видео к трансляции входят следующие компоненты:

1)  фильтр Гаусса;

2)      медианный фильтр;

3)      фильтр резкости;

4)      фильтр цветокоррекции;

5)      компонент сегментации;

6)      компонент выделения контуров;

7)      компонент интерполяции кадра (изменение разрешения).

В ходе выполнения выпускной квалификационной работы были решены все поставленные задачи:

1)      проведено исследование аналогов, определены достоинства и недостатки на основании которых было принято решение о необходимости разработки нового программного обеспечения;

)        составлено техническое задание, согласно которому были выделены особенности проектируемой подсистемы;

3)      произведен анализ существующих алгоритмов улучшения качества изображений;

)        на основании этого анализа для исключения каждого негативного фактора был выбран определенный метод обработки;

)        на основании выбранных методов были разработаны программные фильтры на языке С++ в редакторе Visual Studio;

6)      разработанный пакет программ был перенесен на ОС Linux, установленную на вычислительном кластере кафедры АСУ и перекомпилирован с использованием GCC версии 4.5.1;

Были проведены лабораторные эксперименты над тестовым видео потоком получаемым с мобильного устройства под управлением Android. В результате была определена максимальная задержка видео при использовании каждого фильтра в отдельности и совокупности нескольких фильтров. По результатам экспериментов можно сделать следующие выводы

1.  Разработанная подсистема позволяет улучшать качество транслируемого видеопотока

2.      Разработанная подсистема может быть использована для автономного улучшения качества видеофайлов

.        Система работоспособна и отвечает предъявляемым требованиям производительности и потребления ресурсов.

Результаты тестирования показали эффективность разработанной подсистемы. Т.к. критерием решения поставленной цели является уменьшение времени расчетов, то можно считать, что цель дипломного проектирования выполнена, а система является целесообразной. Подсистема имеет перспективы для дальнейшей доработки. Возможно добавление новых функций для устранения недостатков, не рассмотренных в данной пояснительной записке. Так же существует возможность дополнительной оптимизации используемых алгоритмов для уменьшения времени обработки транслируемого видеопотока.

Для данного дипломного проекта было проведено технико-экономическое обоснования, рассмотрены вопросы безопасности жизнедеятельности.

Cписок использованных источников

1.      Kincaid, Jason (July 20, 2008). "Start Streaming: Qik Opens To The Public". The Washington Post. Retrieved August 3, 2008.

.        Официальный сайт проекта Bambuser [Электронный ресурс]: содержит всю основную информацию по проекту Bambuser. - Швеция, [2011]. - Режим доступа: http://bambuser.com/phones.- Загл. с экрана.

.        VirtualDub. // Википедия - свободная энциклопедия [Электронный ресурс]. - Режим доступа: http://ru.wikipedia.org/wiki/VirtualDub, свободный

.        Д. Ватолин, М. Смирнов. Фильтрация и сжатие видео от MSU Video Group. //Всё о сжатии данных, изображений и видео - 2011 [Электронный ресурс]. Режим доступа: http://compression.ru/video/public_filters_ru.htm, свободный

.        Adobe Premiere Pro. // Википедия - свободная энциклопедия [Электронный ресурс]. - Режим доступа: http://ru.wikipedia.org/wiki/Adobe_Premiere_Pro, свободный

.        GCC // Википедия - свободная энциклопедия [Электронный ресурс]. - Режим доступа: http://ru.wikipedia.org/wiki/GCC, свободный.

8.      Bradski G.R., Kaehler A. - Learning OpenCV. Technical report CA-95-472. O’Reilly Media, Inc., September 2008.

9.      OpenCV // Википедия - свободная энциклопедия [Электронный ресурс]. - Режим доступа: http://ru.wikipedia.org/wiki/OpenCV, свободный.

.        Д. Ватолин, А. Ратушняк, М. Смирнов, В. Юкин "Методы сжатия данных. Устройство архиваторов, сжатие изображений и видео". Диалог-МИФИ, 2002

.        Апальков И.В., Хрящев В.В. Удаление шума из изображений на основе нелинейных алгоритмов с использованием ранговой статистики. - Ярославский государственный университет, 2010

.        Д. Калинкина, Д. Ватолин. - Проблема подавления шума на изображениях и видео и различные подходы к ее решению // Компьютерная графика и мультимедиа: журнал. - 2009. - № 3(2).

.        Хуанг Т.С. Быстрые алгоритмы в цифровой обработке изображений: преобразования и медианные фильтры. - М.: Радио и Связь, 1984.

14.    Jim Casaburi. 2D Cleaner Filter. Denoising filters comparison results CS MSU graphics&media lab Moscow, 05 apr 2003: 2-4.

15.    Быстрые алгоритмы в цифровой обработке изображений /Под ред. Т.С. Хуанга. - М.: Радио и связь, 2014

.        Яровой Н.И. Адаптивная медианная фильтрация. // Информационный портал Центрального научно-исследовательского института ВВВ. 2007. [Электронный ресурс] - Режим доступа - http://www. controstyle.ru, свободный

.        Нерезкое маскирование. // Википедия - свободная энциклопедия [Электронный ресурс]. - Режим доступа: http://ru.wikipedia.org/wiki/Нерезкое_маскирование, свободный

.        Д.В. Иванов [и др.] - Фильтрация изображений. //Алгоритмические основы растровой графики [Электронный ресурс]. - Режим доступа: http://www.intuit.ru/department/graphics/rastrgraph/8/rastrgraph_8.html, для зарегистрированных пользователей

.        В. Руднева. Методы повышения цветового качества изображений и восстановления цветов в старом видео. Компьютерная графика и мультимедиа. Выпуск №4(3)/2006.

.        Гамма-коррекция. // Википедия - свободная энциклопедия [Электронный ресурс]. - Режим доступа: http://ru.wikipedia.org/wiki/Гамма-коррекция, свободный

.        Оператор Собеля. // Википедия - свободная энциклопедия [Электронный ресурс]. - Режим доступа: http://ru.wikipedia.org/wiki/Оператор_Собеля, свободный

22.    Canny, J. A Computational Approach to Edge Detection. [Электронный ресурс]. - Режим доступа: http://www.limsi.fr/Individu/vezien/PAPIERS_ACS/canny1986.pdf, свободный. - Загл. с экрана.

.        О. Баринова, А. Вежневец. Методы сегментации изображений: автоматическая сегментация [Электронный ресурс] // Графика и Мультимедиа. Научно-образовательный сетевой журнал. Выпуск №4(4), 2006. - Режим доступа: http://cgm.computergraphics.ru/content/view/147, свободный

.        Бакут П.А., Колмогоров Г. С., Ворновицкий Н.Э. Сегментация изображений: методы пороговой обработки // Зарубежная радиоэлектроника. - 1987. - № 10. - С. 6...24.

.        Билинейная интерполяция. // Википедия - свободная энциклопедия [Электронный ресурс]. - Режим доступа: http://ru.wikipedia.org/wiki/Билинейная_интерполяция, свободный

26.    Интерполяция цифрового изображения. / Сambridge In Colour - a learning community for photographers. [Электронный ресурс]. - Режим доступа: http://cambridgeincolour.com/tutorials/image-interpolation.htm, свободный

.        Калайда В.Т. Технико-экономическое обоснование стоимости программных систем: методическое пособие. / Калайда В.Т. - Томск: Томск. Гос. Ун-т систем управления и радиоэлектроники, 2009. - 50 с

.        Гигиенические требования к персональным электронно-вычислительным машинам и организации работы. СанПиН 2.2.2/2.4.1340-03: [Положение: Утверждено главным государственным санитарным врачом РФ Г.Г. ОНИЩЕНКО 30 июня 2003 г.].

.        Здания жилые многоквартирные. СНиП 31-01-2003 [Строительный нормы и правила Российской Федерации: Введено Государственным комитетом РФ по строительству и жилищно-коммунальному комплексу 1 октября 2003 г.].

.        Типовая инструкция по охране труда при работе на персональном компьютере ТОИ Р-45-084-01: [Инструкция: Утверждена Приказом министерства РФ по связи и информатизации от 2 июля 2001 г. № 162].

.        Гигиенические требования к видеодисплейным терминалам, персональным электронно-вычислительным машинам и организации работы. СанПиН 2.2.2.542-96 [Положение: Утверждено Постановлением Госкомсанэпиднадзора РФ от 14 июля 1996 г. № 14].