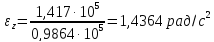
Нормальная
перегрузка
в этом случае:

Угловое
ускорение
можно найти из уравнения вращательного
движения летательного аппарата вокруг
оси z
,
где
– момент всех внешних сил;
кгм2
– массовый
момент инерции летательного аппарата
относительно оси z.
Момент всех внешних сил определяется по формуле:
,
где
м
– расстояние от носка до центра масс
летательного аппарата для расчётного
момента времени;
=
12,4 м
– координата точки приложения тяги
двигательной установки;
–
координата
точки приложения равнодействующей
нормальной аэродинамической силы.
Координата точки приложения равнодействующей нормальной аэродинамической силы определяется по формуле:

где
–
координата центра давления i-го
конического
участка от носка аппарата;
где
–
координата центра давления i-го
цилиндрического
участка от носка аппарата.
м;
м;
м;
м,
где
м
– длина участка 0-1,
=
3,77 м
– длина участка 1-5,
=
1,8 м
– длина
участка 5-7,
=
5,29 м
– длина
участка 7-12,
м,
м
– радиусы
оснований конусов.
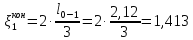
Получаем
координату приложения
:

Момент внешних сил


Угловое ускорение:

Значения эпюр M и Q по длине летательного аппарата находим с помощью программы QM.exe. Распечатка результатов работы программы приведена на странице ??. Эпюры представлены на рисунке 1.9 и рисунке 1.10.

Рисунок 1.9 — Эпюра перерезывающей силы Q

Рисунок 1.10 — Эпюра изгибающего момента М
Suhov 1403
KУPCOBOЙ ПPOEKT ПO PACЧETУ
Л.A. HA ПPOЧHOCTЬ
PACЧET HAГPУЗOK
ЗHAЧEHИE CEKУHДЫ ПOЛETA 56.00000
CKOPOCTЬ ПOЛETA, M/C 600.0000
CKOPOCTЬ BETPA, M/C 60.00000
УГOЛ OTKЛOHEHИЯ TЯГИ, ГPAД 4.800000
ПЛOTHOCTЬ BOЗДУXA, KГ/M**3 .4000000
ЧИCЛO MAXA 2.004000
ЗHAЧEHИE ПEPEPEЗЫB. CИЛЫ, KH .0000000
ИЗГИБAЮЩИЙ MOMEHT, KH*M .0000000
KOHTPOЛЬHOE CEЧEHИE 0
HOMEP BAPИAHTA 7
MACCA ЛETATEЛЬHOГO AППAPATA, KГ 11483.260
KOOPДИHATA ЦEHTPA MACC, M 8.770
MACCOBЫЙ MOMEHT ИHEPЦИИ, KГ*M**2 9.8636E+04
ПOПEPEЧHAЯ AЭPOДИHAMИЧECKAЯ CИЛA, KH 58.59
KOOPДИHATA ЦEHTPA ДABЛEHИЯ, M 5.200
ПOПEPEЧHAЯ ПEPEГPУЗKA .6852
УГЛOBOE УCKOPEHИE, 1 / C**2 1.4366
**********************************************************************************************
* * * * *
* * * ПEPEPEЗЫBAЮЩAЯ CИЛA Q, KH * ИЗГИБAЮЩИЙ MOMEHT M, KH*M *
* HOMEPA * ДЛИHA * * *
* CEЧ. * УЧ.,M * CЛEBA * B CEPEДИHE* CПPABA * CЛEBA * B CEPEДИHE* CПPABA *
* * * * * * * * *
**********************************************************************************************
* * * * * * * * *
* 0, 1 * 2.120E+00 * 0.000E+00 * 5.045E+00 * 2.024E+01 * 0.000E+00 *-1.777E+00 *-1.428E+01 *
* 1, 2 * 1.650E+00 * 1.352E+01 * 1.409E+01 * 1.469E+01 *-1.428E+01 *-2.566E+01 *-3.753E+01 *
* 2, 3 * 5.300E-01 * 9.221E+00 * 9.420E+00 * 9.622E+00 *-3.753E+01 *-4.000E+01 *-4.252E+01 *
* 3, 4 * 5.300E-01 * 8.926E+00 * 9.131E+00 * 9.339E+00 *-4.252E+01 *-4.491E+01 *-4.736E+01 *
* 4, 5 * 1.060E+00 * 9.128E+00 *-3.135E+00 *-1.458E+01 *-4.736E+01 *-4.891E+01 *-4.418E+01 *
* 5, 6 * 1.120E+00 *-1.945E+01 *-1.313E+01 *-5.950E+00 *-4.545E+01 *-3.628E+01 *-3.090E+01 *
* 6, 7 * 6.800E-01 *-5.950E+00 *-1.169E+00 * 3.931E+00 *-3.090E+01 *-2.968E+01 *-3.014E+01 *
* 7, 8 * 2.163E-01 * 3.559E+00 * 3.682E+00 * 3.806E+00 *-3.014E+01 *-3.053E+01 *-3.094E+01 *
* 8, 9 * 1.370E-02 * 3.806E+00 * 3.670E+00 * 3.535E+00 *-3.094E+01 *-3.096E+01 *-3.099E+01 *
* 9,10 * 1.050E+00 * 1.290E-02 * 6.334E-01 * 1.281E+00 *-3.126E+01 *-3.143E+01 *-3.193E+01 *
* 10,11 * 1.102E+00 *-8.023E-02 * 7.383E-01 * 1.572E+00 *-3.144E+01 *-3.162E+01 *-3.225E+01 *
* 11,12 * 1.328E+00 * 1.572E+00 *-9.811E+00 *-1.847E+01 *-3.225E+01 *-2.937E+01 *-1.983E+01 *
* 12,13 * 1.580E+00 *-2.482E+00 *-1.272E+00 *-4.929E-06 *-1.993E+00 *-5.065E-01 * 5.721E-05 *
* * * * * * * * *
**********************************************************************************************