

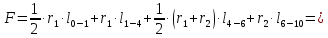
где
– длина участка 1-4,
– длина
участка 1-4,
– длина
участка 4-6,
– длина
участка 6-10,
– радиус
основания конуса,
– радиус
основания конуса.
Тогда
на участке 1-4 будет равна

На участке 6-10:

Складывая
значения
и
,
получим полную погонную аэродинамическую
нагрузку на корпус летательного аппарата.
Эпюры
погонных нагрузок
,
,
а также результат их суммирования
представлены на рисунке 7.

Рисунок 7 – Эпюры погонных нагрузок
Продольная
аэродинамическая сила
представлена
на рисунке 9.
Величина силы, обусловленной массой конструкции отсеченной части, определяется по формуле :

где
- масса i-го
сосредоточенного груза;
-
погонная масса конструкции,
м/с2
– ускорение свободного падения.
Эпюра
представлена на рисунке 8.
Величина силы, обусловленной давлением наддува в баках, определяется по формуле:
,
где
- дополнительная осевая сила от давления
наддува. Для цилиндрических баков
;
-
усилия, передаваемые на корпус от днищ
баков и обусловленные действием давления
наддува.
Для передних днищ эти силы определяются по формуле:
,
а для задних – по формуле:
,
где
и
- радиусы оснований баков.
-
давление наддува в баке.
Так как все баки имеют цилиндрическую форму, усилия на переднем и заднем шпангоутах будут одинаковыми, отличаясь лишь знаком.
В баках II ступени давление наддува:
Горючего:
Па,
Окислителя:
Па,
.
Тогда получаем:
кН;
кН.
В баках I ступени давление наддува:
Горючего:
Па,
Окислителя:
Па.
Для
бака горючего

где h = 6,4 м – длина конической части бака,
– радиус
основания бака.
Тогда величина силы, обусловленной наддувом в баке будет равна:
кН;
кН.
Радиус бака окислителя будет равен:
.
Тогда получим:
кН.
Эпюра
представлена на рисунке 8.
Величина силы, обусловленная влиянием массы топлива, определяется по формуле:

где
- дополнительная осевая сила от давления
жидкости. Для баков цилиндрической
формы
;
-
усилия, обусловленные давлением жидкости
на задние днища баков, определим их по
формуле:
,
Для бака горючего I ступени высота столба топлива h определяется по формуле:

где
местный радиус конического бака.

где V – объем топлива в конической части бака.

где m=8310,0 кг – масса топлива в конической части бака,
плотность
топлива в баке горючего I
ступени.


Таким образом

Н.

Н,
где
=1520
кг – масса топлива в днище бака,
масса
топлива в цилиндре с высотой h
и радиусом основания

Н.
Для бака окислителя I ступени:
кг,
где
=2063
кг
– масса топлива в днище бака окислителя
I
ступени,
19017,1
кг
- масса топлива в цилиндрической части
бака окислителя I
ступени;
кН.
Для бака горючего II ступени:
кг,
где
=1838
кг
– масса топлива в днище бака горючего
II
ступени;
кН.
Для бака окислителя II ступени:
кг,
где
=1343
кг
– масса топлива в днище бака окислителя
II
ступени,
кг
- масса топлива в цилиндрической части
бака окислителя II
ступени;
кН.
Эпюра
силы
представлена на рисунке 8.
Вклад тяги двигателя может быть определен по формуле:

где
- тяга i-го
двигателя.
В
нашем случае
Н.
Тогда
.
Эпюра
силы
представлена на рисунке 8.
Осевую
силу
можно получить путем суммирования эпюр
в
соответствующих сечениях.
Эпюры
,
представлена на рисунке 8.


Рисунок
8 — Эпюры
,
Значения
всех составляющих осевой силы
приведены
в Таблице №1 на странице 13.

В
крайнем сечении корпуса (т.е. при
,
где L
– длина летательного аппарата) должны
выполняться равенства:

,



где
=4250
кг-
масса сухой конструкции;
-
масса топлива в рассматриваемый момент
времени;
m=41161,0 кг - масса ЛА в рассматриваемый момент времени;
Тогда получаем:
Н.
Суммируя
эпюры
и
, получим значение:
Н.

Н.
.
По
эпюре значение
Н.

Н.
По
эпюре
,
;
Погрешность
построения эпюр
и
,
как видно из эпюр, равны нулю, следовательно:

Нормальная
перегрузка
вычисляется по формуле:
,
где
кН
– сила тяги двигателя летательного
аппарата;
– нормальная
аэродинамическая сила;
–
угол
поворота двигателя;