Вычислим внутренние усилия в сечения корпуса ЛА, схема которого изображена на рисунке 1.

Рисунок 1 – Схема ЛА
Угол атаки определяется по формуле:
,
где
- угол атаки на данной высоте;
-
угол атаки при полете в спокойном
воздухе, рад;
-
дополнительный угол атаки, рад.
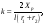
Дополнительный угол атаки, зависящий от скорости ветра, может быть определен по формуле:

где u = 47 м/с – скорость ветра;
=350
м/с
-скорость полета.
При
,
получаем:
;
Скоростной напор вычисляется по формуле:
кг/м∙с2,
где
- скоростной напор,
-
плотность воздушной среды,
;
Для
высоты полета H=7,5
км, получаем
кг/м3.
Число Маха определяется по формуле:
,
где
-
скорость звука, м/с.
Для
высоты полета Н=7,5 км, получаем
м/с.
Продольную силу Х действующую на корпус летательного аппарата можно представить в виде суммы трех составляющих:

где
- сила, от воздействия нормального
давления на боковую поверхность аппарата;
-
сила, вызванная поверхностным трением;
-
сила, вызванная давлением на донный
срез корпуса ЛА.
Сила
для
линейно расширяющегося (сужающегося)
участка определяется по формуле:
,
где
- угол конусности участка, рад;
-
площади оснований конуса,
.
Для
цилиндрических участков сила

Угол конусности определяется по формуле:
,
где
– радиусы оснований конуса,
-
длина конуса.
Определим углы конусности расширяющихся (сужающихся) участков ЛА:
Для участка 0-1, представленного на рисунке 2 он будет равен:

Рисунок 2 – Участок 0-1
рад,
где
м
–
радиус основания конуса,
м
– длина
участка 0-1.
Для участка 4-6, представленного на рисунке 3 он будет равен:

Рисунок 3 – Участок 4-6
рад;
где
м
–
радиус верхнего основания конуса,
м
–
радиус нижнего основания конуса,
м
– длина
участка 4-6.
Определим площади оснований конусов. Расположение оснований изображено на рисунке 4.

Рисунок 4 – Расположение оснований конусов на схеме ЛА




Найдем силы нормального давления:
Н;
Н;
Определим полную продольную аэродинамическую силу от действия нормального давления для всего аппарата:
Н.
Продольную
силу
,
вызванную трением, можно представить
как некоторую долю от
силы
всего летательного аппарата:
Н,
где
-
опытный коэффициент, значение которого
находятся в пределах 0,2…0,6,
принимаем
.
Силу,
вызванную давлением на донный срез ЛА
можно представить как некоторую долю
от суммы сил
и
всего летательного аппарата:
Н,
где
-
коэффициент, который изменяется в
пределах 0,15…0,25; принимаем
.
Полная продольная сила Х корпуса летательного аппарата будет равна:
Н.
Продольная
перегрузка
определяется по формуле:

где
– тяга двигателя, кН;
=
41161,0 кг
-
масса летательного аппарата на расчетный
момент времени.
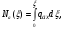
Значение осевой силы в произвольном сечении «ξ» можно представить в виде суммы:

где
-
осевая сила в сечении «ξ»;
-
вклад в осевую силу массы конструкции;
-
продольная аэродинамическая сила;
-
влияние давления наддува баков;
-
вклад тяги двигателя;
-
влияние массы топлива.
Продольная аэродинамическая сила отсеченной части конструкции может быть определена по формуле:

где
- координата, отчитывающаяся от носка
ракеты;
-
полная погонная аэродинамическая
нагрузка на корпус ЛА.
Полная погонная аэродинамическая нагрузка определяется по формуле:
,
где
- продольная погонная нагрузка, вызванная
силами давления на боковую поверхность
ЛА;
-
продольная погонная нагрузка от сил
трения.
Нагрузка
в
случае конического тела определяется
по формуле:

Коэффициент
определяется по формуле:

где
и
- радиусы оснований конического участка,
а
- текущий радиус.
В
точке 0 продольная погонная нагрузка,
вызванная силами трения на боковую
поверхность
.
В сечении шпангоута № 1, изображенного на рисунке 5, погонная нагрузка, вызванная силами трения на боковую поверхность будет равна:

Рисунок 5 – Участок 0-1

В сечениях шпангоутов № 4 и №6, изображенных на рисунке 6, погонная нагрузка, вызванная силами трения на боковую поверхность будет равна:

Рисунок 6 – Участок 4-6


Погонная
нагрузка
,
вызванная поверхностным трением,
определяется по формуле:

где F – половина площади продольного сечения летательного аппарата;
-
текущий радиус .