Материал: patrakeev_im_geoprostranstvennye_tekhnologii_v_modelirovanii

Внимание! Если размещение файла нарушает Ваши авторские права, то обязательно сообщите нам

Основное требование для любой формализации пешеходного поведения, чтобы заставить агентов избежать столкновения, как есть в реальной жизни. В работе [4] введено новое понятие силы отталкивания Ө между пешеходами, которая возникает при приближении пешеходовагентов. Функция, которая используется для определения силы отталкивания достаточно проста и имеет вид:

: = 1 / ( (D – 0,4 ) 2 + 0,015 ),

где D – это дистанция, разделяющая агентов-пешеходов (в метрах), 0,4 – диаметр, определяющий минимальное расстояние между

пешеходами-агентами, 0,015 – константа, позволяющая избежать бесконечного роста

силы отталкивания :.

На рис. 3.13 изображена модель процесса столкновения двух пешеходов во времени. Процесс столкновения состоит из четырех основных факторов:

пешеходный агент А двигается в нужном направлении (по направлению к следующей контрольной точке) с желаемой скоростью vA;

здания, стены, улицы и другие границы препятствуют движению пешеходных агентов;

другие пешеходы-агенты влияют на движение пешехода через силу отталкивания :.

Рис. 3.13 – Модель процесса столкновения между пешеходами-агентами

96

На основании данной модели построен двунаправленный поток пешеходов-агентов, движущихся по улице. В модели предусматривается два режима: если дорожка заполнена случайными переходами, следовательно, пешеходы объединятся в единый поток и определенную сторону (например, вправо), таким образом, образуются две группы пешеходов, движущиеся в смежных направлениях по разным полосам движения. Другой вариант предусматривает менее организованных пешеходов. Одним из примеров является хаотично движущаяся толпа, где пешеходы двигаются через толпу, не образуя отдельные полосы движения направленного потока пешеходов.

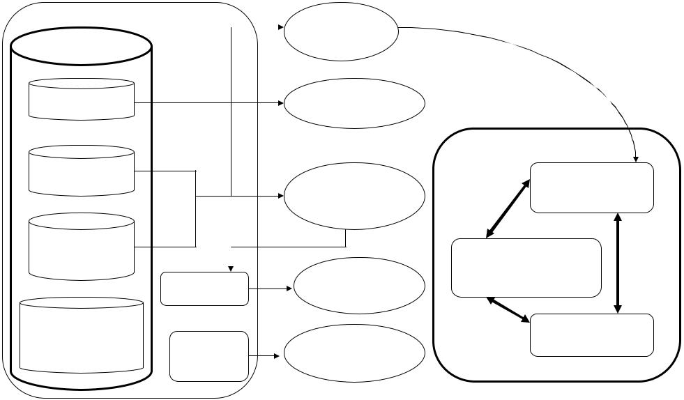
На рис. 3.14 показана блок-диаграмма данных и процессов для моделирования движения пешеходов в городских условиях. Блокдиаграмма отражает интеграцию модели движения пешеходов в городских условиях с геоинформационными системами. Разработанное городское геоинформационное пространство позволяет размещать пешеходовагентов в геопространственной среде, которое задается в виде базы геоданных.

Структура базы геоданных включает слои зданий и их атрибуты, улично-дорожную сеть, парковки, транспортные узлы, социоэкономические данные (плотность населения). Интеграция модели движения пешеходов и городского геоинформационного пространства дает возможность получения информации о текущем местоположении моделируемых объектов, перемещении пешеходов-агентов из текущего местоположения в новое с заданной скоростью, выполнение анимации агентов (статической или движущейся), установления связей между агентами в зависимости от их расположения.

На рис. 3.15 показан фрагмент городского геоинформационного пространства (транспортный узел), который представлен в модели движения пешеходов в виде базы геоданных. Транспортный узел содержит остановки метро, основные остановки маршрутных автобусов и электротранспорта, соединенные между собой основными направлениями движения пешеходов-агентов.

97

98

Городское геопространство

База геоданных

Здания и их атрибуты

Уличнодорожная сеть

Парковки, транспортные

Построитель

маршрутов

Социо-экономические

данные Генератор (плотность населения) пешеходов-

агентов

Зоны

пешеходного

движения

Геометрия зданий

Улично-дорожная сеть и пункты назначения

Центры

общественнго

притяжения

Агенты-пешеходы с маршрутами передвижения

Среда моделирования

(Visual Studio 2005)

Геопространство

перемещения агентов-пешеходов

Ограничения на перемещение агентовпешеходов

(здания)

агенты-пешеходы

Рис. 3.14 – Блок-диаграмма данных и процессов для моделирования движения пешеходов в городских условиях

Рис. 3.15 – Фрагмент городского геоинформационного пространства (транспортный узел)

Для моделирования трафика пешеходов-агентов на кафедре геоинформационных систем и геодезии разработана программа на объектно-ориентированном языке в среде Visual Studio 2005. Обмен геопространственными данными между средой моделирования и базой геоданных реализован в формате ХМL. Программа позволяет создавать и проводить эксперименты на основе агентного моделирования движения пешеходов в городских условиях. Созданная программа носит экспериментально-научный характер и поэтому не удовлетворяет критериям коммерческого программного обеспечения.

Существует значительное количество коммерческих программ для моделирования потоков пешеходов, такие, как Vissim, SimWalk, Anylogic и т.д. Несмотря на очевидно превосходство этих программ над собственной разработкой, необходимо отметить, что при разработке собственной модели с «нуля», разработчик получает полный контроль как над моделью, так и над проведением экспериментов, сам определяет дальнейшие направления развития, закладывает базу под дальнейшие возможные коммерческие разработки, исключает зависимость от какой-либо компании.

99

Разработана программная среда для создания, модификации, исполнения и отладки имитационной модели потоков пешеходов на основе агентного моделирования. Создан графический интерфейс пользователя, который позволяет легко осуществлять операции над моделью. Интеграция со средствами ГИС позволяет непосредственно наблюдать за движением пешеходов и событиями.

Полученная имитационная модель может представлять практическую пользу для ученых и инженеров, заинтересованных в моделировании движения пешеходов. С её помощью возможно исследование и анализ городской среды с целью прогнозирования поведения пешеходов на массовых мероприятиях и в транспортных узлах.

В настоящее время производится доработка и совершенствование программного продукта с целью превращения его в действующий макет с адаптацией к различным предметным областям, где участвуют подвижные во времени и пространстве объекты и процессы.

Выводы

В этой главе рассмотрены методологические основы построения моделей, основанных на использовании концепции однородных структур и некоторые вопросы применения данной концепции для решения задач моделирования динамики градостроительных систем. Основной целью настоящего исследования является формулировка компьютероподобных моделей, позволяющих моделировать не только общие феноменологические аспекты нашего мира, но и пространственновременные изменения в землепользовании и планировочной структуры территории.

Модели, которые явным образом сводят макроскопические явления к точно определенным микроскопическим процессам, представляют наибольший методологический интерес, потому что такие модели обладают огромной убедительностью и ясностью.

100