автоматами и растровыми данными, используемыми в ГИС, дает возможность интеграции геоинформационных технологий и технологий моделирования на основе однородных структур. В литературе [23, 34,45,47] подробно изложены преимущества интеграции таких технологий. Рассматривается возможность использования моделей конечных клеточных автоматов в программной среде ГИС или внедрение аналитических возможностей ГИС в систему моделирования, основанную на клеточных автоматах.
Например, в литературе [3, 13, 16, 23] разработано направление интеграции клеточных автоматов и ГИС на основании применения операций картографической алгебры, которая позволяет усилить динамику пространственных моделей и возможность обработки пространственных данных внутри единой среды моделирования. В таких источниках как [34, 35, 45, 46] также разработали инструментальные средства на основе интеграции геоинформационных технологий и перспективной среды моделирования – клеточных автоматов для моделирования пространственно-временного развития градостроительных систем. Указанная литература определяет основные направления интеграции двух технологий, которые будут предметом более детального исследования в настоящей монографии.
Применение однородных структур для моделирования развития крупных городов и процессов урбанизации в целом начато с появлением школы теоретической и количественной географии.
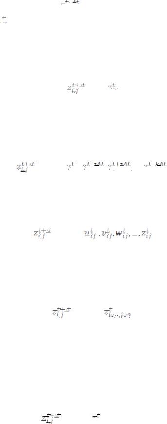
Известный Американо-шведский географ и картограф Валдо Тоблер впервые предложил применить ОС-пространство для моделирования динамики развития крупных городов [34, 35, 36, 47]. Используя свое первое правило географии «все связано со всем, но вблизи объекты более связаны друг с другом», Тоблер попытался связать значение плотности населения ячейки (площадью территории ограниченной одним географических градусом широты и долготы) с значениями плотности населения соседних ячеек в предшествующий период времени. В своей статье «Клеточная география» Валдо Тоблер определил пять типов моделей изменения состояний земельных участков (рис. 3.8) [33].
Пусть 


– категория целевого использования земли (земли сельско-хозяйственного назначения, земли поселений, земли промышленности, земли лесного фонда и т.д.) с координатами i, j в
момент времени t. Предположим, что |
|
|
|
категория целевого |
|
||||
|
|
81
использования земельного участка на момент времени (t + ∆t ). На основании рассмотренных предположений, возможны следующие модели изменения состояний земельних участков:
(1) независимая модель: 





– случайная переменная, не связанная
спеременной 


.
(2)функционально зависимая модель. Целевое использование земельного участка (i, j) на момент времени (t + ∆t) зависит от категории использования земельного участка (i, j) в предыдущий момент времени t :
= F ( 


).
(3) эволюционная модель.Целевое использование земельного участка (i, j) на момент времени (t +∆t) зависит от эволюции использования земельного участка (i, j) в предыдущие моменты времени
(t, t – ∆t, t – 2 ∆t, …, ( t – k ∆t) :
= F ( 


















).
(4) мультивариативная модель. Целевое использование земельного участка (i, j) на момент времени (t+∆t) зависит от нескольких характеристик использования земельного участка (i,j) в предыдущие
моменты времени |
|
|
|
|
|
|
|
|
|
|
|
|
|
|
|
|
|
|
|
|
|
||
|
|
|
|
|
|
|
|
|
|
|
|
|
|
|
|
|
|
|
|
|
|
|
|
t : |
|
|
|
|
|
= F ( |
|
|
|
|
|
|
|
|
|
). |
|||||||
|
|
|
|
|
|
||||||||||||||||||
|
|
|
|
|
|
|
|
|
|||||||||||||||
|
|
|
|
|
|
|
|||||||||||||||||
|
|
|
|
|
|||||||||||||||||||
(5) географическая |
|
модель. Целевое |
использование земельного |
||||||||||||||||||||
участка (i, j) на момент времени (t+∆t) зависит от использования земельних участков совокупности характеристик селевого использования смежных земельних участков на момент времени t :
|
|
|
= F ( |
|
|
|
|
|
|
|
|
|
|
|
|
). |
|
|
|
|
|
|
|
|
|
|
|
|
|
|
|
||
|
|
|
|
|
|
|
|
|
|
|
|
|
|
|
||
Из всех рассмотренных выше моделей |
изменения состояний |
|||||||||||||||
земельных участков наибольший интерес представляет географическая модель. Географическая модель Валдо Тоблера показывает, что состояние земельного участка, имеющего координаты (i, j) зависит от своего собственного состояния и от состояния смежных земельных участков, находящихся вблизи координат (i, j) :
= F ( 






) ,
82
i
Модель 1 j
Модель 2
Модель 3
Модель 4
Модель 5
Рис. 3.8 – Графическая иллюстрация моделей пяти типов
83
где 


представляет собой категорию землепользования, который имеет земельный участок (земли сельскохозяйственного назначения, земли населенных пунктов, земли промышленности, энергетики, транспорта, связи, радиовещания, телевидения, земли для обеспечения космической деятельности, земли обороны, безопасности и земли иного специального назначения, земли особо охраняемых территорий и объектов, земли лесного фонда, земли водного фонда, земли запаса) с координатами i, j в момент времени t;




категория землепользования того же земельного участка с координатами i, j в момент времени 
;








представляет собой все категории землепользования, находящиеся в заданном шаблоне соседства относительно земельного участка с координатами i, j .
Такой подход устанавливает теоретическую основу для применения однородных структур в моделировании развития и прогнозирования городских процессов.
Под влиянием работ Тоблера пространственная модель 5 (рис. 3.8) была применена к эволюционной игре «Жизнь» Дж. Конвея [3, 5, 7]. В этой модели клетки в состоянии «жизнь» соответствуют городским зонам с установленным порогом плотности населения, которое достаточно для наличия школы. Городская зона может сохранить свою школу, если две или три соседние городские зоны превышают допустимый порог плотности населения. Городская зона может потерять свою школу, если наблюдается снижение плотности населения ниже порогового значения в четырех или более смежных городских зонах. Снижение плотности населения ниже порогового во всех смежных городских зонах приводит к отказу от площади как городской зоны, что эквивалентно состоянию «гибели» клетки в эволюционной игре «Жизнь».
Таким образом, необходимо отметить, что применение классических однородных структур для моделирования городского и регионального развития может рассматриваться как основа для разработки потенциально полезных инструментов количественного и качественного прогнозирования путем интеграции ОС-пространства и возможностей картографической алгебры [45, 46].
Классические однородные структуры продемонстрировали свою способность в создании разнообразных пространственных моделей,
84
разнообразие которых определяется локальными функциями переходов, и привлекают все большее внимание среди исследователей городских систем
ипроцессов урбанизации в целом.
3.4.4Определение понятия индекса соседства однородных
структур
Вопрос выбора размерности Х-индекса соседства, то есть определение количества автоматов-соседей любого единичного автомата структуры с которыми данный единичный автомат непосредственно связан информационными каналами, то есть обменивается информацией в значительной степени прагматический. Согласно теории однородных структур, глобальное поведение самоорганизующейся системы определяется на основании {τ(n)}- локальных функций переходов. Для любой городской системы, принципиальным является вопрос, в какой степени локальные функции переходов оказывают влияние на процесс урбанизации, рост значения города, уровень его пространственной организации [45, 47, 48]. Некоторые факторы, такие как: перепад высот рельефа местности, направления крутизны скатов и уклонов линий оказывают значительное влияние на рост территории при рассмотрении крупномасштабных городских ландшафтов. В то время как другие внешние факторы городского развития, такие как: процесс городского планирования, развитие улично-дорожной сети влияет на развитие всей городской системы, ее агломерации, региона.
Более того, значительное развитие информационных технологий и средств телекоммуникаций привели к изменению пространственной организации городской системы на межрегиональном и глобальном уровнях, то есть носят стратегический характер и могут рассматриваться при изучении, исследовании динамики развития территорий с использованием мелкомасштабных карт.
Таким образом, развитие пространственной организации города связано непосредственно с региональным управлением и является составной частью общегосударственного регулирования развития государства в целом.
85