До таких фотоприймачів належать фототранзистори та фототиристори.
Крім перетворення світлової енергії в електричну з утворенням фотоструму, як у фотодіодах, фототранзистор ще й підсилює цей фотострум.
Розглянемо роботу фототранзистора у ССЕ в режимі з вимкненою базою (IБ=0) (рис. ).
Якщо Ф=0, то через фототранзистор проходить невеликий темновий струм
IТ=IКБ0(h21Е+1).
При освітленні області бази через вікно (Ф>0) в ній генеруються нерівноважні пари носіїв заряду – фотоелектрони та фотодірки, які дифундують до ЕП та КП. При цьому поле КП розділяє заряди: електрони рухаються до n - колектора, дірки – до p- бази. У колі колектора під дією цих електронів зростає струм на величину IФ. Дірки створюють у базі позитивний заряд, який зміщує ЕП у прямому напрямі і викликає інжекцію електронів. Унаслідок інжекції електронів через ЕП, їх дифузії через базу та екстракції через КП струм колектора додатково зростає на величину h21Е IФ. Тобто фотодірки у базі відіграють роль вхідного струму бази.
Структура і
схема вмикання фототранзистора (а),
статичні вихідні характеристики (б)
Загальний колекторний струм фототранзистора
IК=IФ+h21ЕIФ+IТ= (1+h21Е)IФ+IТ
Сім’я ВАХ фототранзистора IК = f(UКБ)Ф = const показана на рис. Збільшення освітлення фототранзистора приводить, згідно з формулою, до зростання колекторного струму. Інтегральна чутливість фототранзистора SФ в (1+h21Е) раз більша, ніж у фотодіода. Це пояснюється тим, що у фототранзистора струм IФ підсилюється в (1+h21Е) раз.
Фототиристори (рис.) є фотоприймачами з ключовою пороговою характеристикою, вони застосовуються для перемикання великих струмів і напруги. ВАХ з відкриваючою дією світлового потоку показана на рис.
Засвічення базової області тиристора зумовлює генерацію надлишкових носіїв заряду, що приводить до перемикання чотиришарової структури із закритого стану у відкритий так само, як це буває у триністорі при перемиканні керувальним струмом.
Структура,
схема вмикання (а) та ВАХ (б) фототиристора
Сонячні елементи. Загальні відомості. Сонячні елементи на основі p-n- переходів та гетеропереходів. Характеристики сонячного випромінювання. Режими освітлення. ККД фотоперетворювачів.
ОСНОВНІ ПАРАМЕТРИ ФОТОПРИЙМАЧІВ
До основних параметрів фотоприймачів відносяться:
1. Довгохвильова границя 0 або довжина хвилі, що відповідає максимуму фоточутливості m;
2. Спектральна чутливість R - величина вихідного сигналу, що припадає на одиницю потужності монохроматичного випромінювання у даній спектральній області;
3 Мінімальна потужність що виявляється Pmin - потужність при якій вихідний сигнал дорівнює рівню шуму. Часто використовується еквівалентна потужність шуму.
NEP = Pmin()-1/2
Тобто потужність, віднесена до одиничної полоси пропускання. Тут - ефективна полоса пропускання підсилювача.
4. Виявна здатність D* - величина обернена Pmin віднесена до одиничної полоси пропускання (1 Гц) і одиничної площі поверхні фотоприймача.
5. Квантова ефективність - число фотогенерованих носіїв, що припадають на один поглинутий фотон
6. Стала часу - час за який вихідний сигнал детектора досягне 63% максимального значення.
7. Опір приймача R або приведений опір. Звичайно він наводиться при нульовому зміщенні.
8. Гранична частота - найбільша робоча частота приладу.
p-n ПЕРЕХІД В СТАНІ РІВНОВАГИ


Гетеропереходом (ГП) називають контакт двох напівпровідників, які розрізняються структурними та електрофізичними параметрами: кристалічною структурою, шириною забороненої зони, величиною електронної спорідненості, діелектричними сталими, ефективною масою тощо. Внаслідок цього їх експериментальне дослідження та теоретичний опис набагато складніші ніж у випадку p-n-переходів. Розрізняють ізотипні і анізотипні гетеропереходи. Якщо гетероперехід утворений двома напівпровідниками одного типу провідності, то говорять про ізотипний гетероперехід. Анізотипні гетеропереходи утворюються напівпровідниками з різним типом провідності. Найбільш перспективними вважаються СЕ на основі ГП між сполуками А2В6 Гетеропереходи утворенні сполуками цієї групи, досліджуються вже більше 40 років. Однак в основному вивчені структури, де на монокристалічну підкладку з однієї сполуки різними методами нанесена епітаксіальна плівка іншої сполуки. Серед сполук А2В6 тільки ZnTe і CdTe у нелегованому вигляді можуть мати діркову провідність, всі інші мають n-тип, тому створення анізотипних гетеропереходів можливе лише з даними матеріалами.

Фізичні принципи роботи сонячних елементів. Їх конструкція. Основні процеси у сонячних елементах. Еквівалентна схема сонячних елементів. Їх темнові та світлові ВАХ. Точка максимальної потужності. Вплив на ВАХ послідовного і шунтуючого опорів. Основні характеристики фотоперетворювачів.
Перетворення енергії у фотоелектричних перетворювачах (ФЕП) засноване на фотовольтаїчному ефекті, який виникає в неоднорідних напівпровідникових структурах при дії на них сонячного випромінювання.
Неоднорідність структури ФЕП може бути отримана шляхом легуванням одного і того ж напівпровідника різними домішками (створення p–n - переходів) або шляхом з'єднання різних напівпровідників з неоднаковою шириною забороненої зони (створення гетеропереходів).
Використовуються також МДП структури.

Принцип роботи
СЕ можна пояснити на прикладі перетворювачів
з p-n-переходом,
які широко застосовуються у сучасній
геліоенергетиці.
а б
Конструкція
(а) та принцип дії (б) фотоперетворювача

В
Вплив шунтуючого
опору
Вплив послідовного
опору

Формула
для струму діоду:

ввмвм
е
При роботі СЕ приладів відбуваються наступні процеси:
1. Генерація електронно-діркових пар під дією випромінювання;
2. Дифузія неосновних фотогенерованих носіїв до p-n, гетеро- або переходу напівпровідник-метал;
3. Розділення носіїв переходом;
4
.
Збирання
носіїв омічними контактами.
Процеси рекомбінації характеризуються часом життя неосновних носіїв заряду
-
час
життя неосновних носіїв заряду;
- їх теплова швидкість; Sr
- переріз захвату носіїв рекомбінаційними
центрами.
Дифузійна довжина неосновних носіїв заряду пов’язана з їх часом життя
де k – стала Больцмана; - рухливість носіїв заряду; е – заряд електрона.
Оптрон, або оптопара, - це оптоелектронний прилад, що містить у собі конструктивно об’єднані й розміщені в одному корпусі джерело і приймач випромінювання з певним видом оптичного й електричного зв’язку між ними.
В електронних схемах оптрон виконує функцію елемента зв’язку, в одній з ланок якого інформація передається оптичним шляхом. Якщо між компонентами оптрона створити електричний зворотний зв’язок, то оптрон стає активним приладом, придатним для підсилення і генерування електричних і оптичних сигналів.
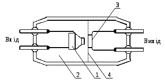
Приклад будови резисторного оптрона показано на рис.
Я
к
джерело світла в ньому використовується
світлодіод 1, як фотоприймач – фоторезистор
3 у вигляді спресованої таблетки. Для
зменшення ємнісного зв’язку між
джерелом світла та фотоприймачем
розміщується прозорий електростатичний
екран 4. Внутрішня частина оптрона
заливається оргсклом або епоксидною
смолою, які захищають прилад від впливу
зовнішнього середовища і відіграють
роль світловода. Герметичний металевий
корпус 2 зовні нагадує корпус простого
транзистора
Будова резисторного
оптрона: 1 – світлодіод;
2 – металевий
корпус; 3 – фоторезистор;
4 – електростатичний
екран
Джерело і приймач світла в оптроні мають бути спектрально узгоджені між собою. В оптичному видимому діапазоні застосовуються світлодіоди на основі SiC або GaP і фоторезистори на основі селеніду кадмію (CdSe) або сульфіду кадмію (CdS).
Проте оптичне середовище в оптроні може створюватися не лише з прозорого компаунда на основі полімерів. Для одержання високої розв’язки виходу і входу використовують волоконні світловоди у вигляді нитки з прозорого діелектрика. Світловий промінь від джерела випромінювання потрапляє в торець світловоду, і після багаторазового відбиття від бічних стінок він виходить з іншого кінця світловоду, зазнавши малого гасіння. За допомогою волоконного світловоду можлива передача сигналу керування на великі відстані з високою електричною розв’язкою і завадостійкістю.
Схема вмикання діодного оптрона зображена на рис.
Принцип дії оптрона полягає в тому, що під дією вхідного сигналу (сигналу керування) змінюється інтенсивність світлового потоку від випромінювача, і це приводить до зміни внутрішнього опору фотоприймача (фотодіода), струму у вихідному колі та напруги, що знімається з навантаження RH.

До основних параметрів оптрона належать:
коефіцієнт передачі - K=Uвих/Uвх;
швидкодія - V;
опір розв’язки - Rp >1012 Ом;
ємність розв’язки - Cp~1014 Ф.
Переваги оптронів:
1. Можливість керувати високою напругою за допомогою низької напруги завдяки високій електричній ізоляції (Rp > 1012 Ом).
Оптронам властиві і деякі недоліки. До них належать висока споживана потужність, сильна температурна залежність характеристик, складність виготовлення, високий рівень власних шумів.
Залежно від виду фотоприймача розрізняють (рис.) діодні, резисторні, транзисторні, тиристорні оптрони.