Материал: ОтчетЛР4 — копия

Внимание! Если размещение файла нарушает Ваши авторские права, то обязательно сообщите нам

Выберем вектор решения x произвольным образом, например, так:

Теперь построим вектор b таким образом, чтобы выбранный вектор x был решением системы Ax=b. Очевидно, что вектор b следует принять равным

=320 =170

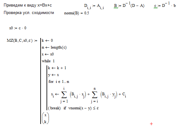
В общем виде метод Зейделя будет выглядеть как

Где B – матрица, составленная из коэффициентов при х из правой части системы вида а n – количество элементов в строке или столбце квадратной матрицы

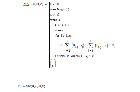
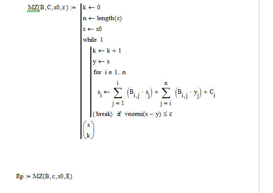
2. Составить программу вычисления решения системы методом Зейделя с заданной точностью с учетом выведенных формул п.1. В программе предусмотреть подсчет количества итераций, потребовавшихся для достижения заданной точности.

3. Составить тестовый пример и отладить программу на тестовом примере.

Возьмем данные для тестового примера из пункта 1.

Решим данную систему с помощью составленной программы с точностью 0.01, ,

Как видим программа прозволяет получить корни методом Зейделя с максимальной точностью

4. Решим указанную задачу.

4. Листинг программы