Материал: ОтчетЛР4 — копия

Внимание! Если размещение файла нарушает Ваши авторские права, то обязательно сообщите нам

Национальный исследовательский университет

«Московский энергетический институт»

Кафедра математического моделирования

ЛАБОРАТОРНАЯ РАБОТА 4

РЕШЕНИЕ СИСТЕМ ЛИНЕЙНЫХ АЛГЕБРАИЧЕСКИХ

УРАВНЕНИЙ ИТЕРАЦИОННЫМИ МЕТОДАМИ

Группа: ТФ-13-15

Студент: Кокоев К.М.

Преподаватель: Казенкин К.О.

Задача:4.1, 4.2; вариант 28

Москва, 2016

Задача 4.1

  1. Постановка задачи

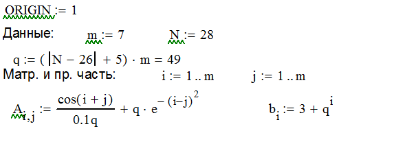
Дана система уравнений . Найти решение системы уравнений с помощью встроенной процедуры lsolve. Выполнить 5 итераций по методу простой итерации и оценить погрешность полученного решения. Затем найти решение системы уравнений с точностью , k=5, 6 , ….K. Построить график зависимости числа итераций n от величины K, то есть график функции n=n(k) , k=5,6,…K.

Элементы матрицы A задаются формулами: , параметр задается формулой : m=7 || ||e bi=3+qi

2. Теоретический материал

Метод Якоби (или простой итерации) относится к итерационным методам решения систем линейных алгебраических уравнений

с квадратной невырожденной матрицей A.

Напомним, что в матричной форме метод Якоби имеет вид

, (i, j = 1, . . . , n, i j), (i = 1, . . . , n).

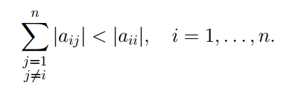
Условие ||B|| < 1 является достаточным условием сходимости метода Якоби. Наиболее просто проверяемое условие ||B||∞ < 1 имеет место в случае

наличия условия строчного диагонального преобладания в матрице A:

3. Порядок решения задачи

1. Составить программу, включающую в себя следующие части решения задачи:

- задание матрицы системы и вектора правой части :

- преобразование системы к виду , удобному для итераций;

-вычисление нормы вектора, указанной в варианте

- выполнения заданного числа K итераций по методу простой итерации.

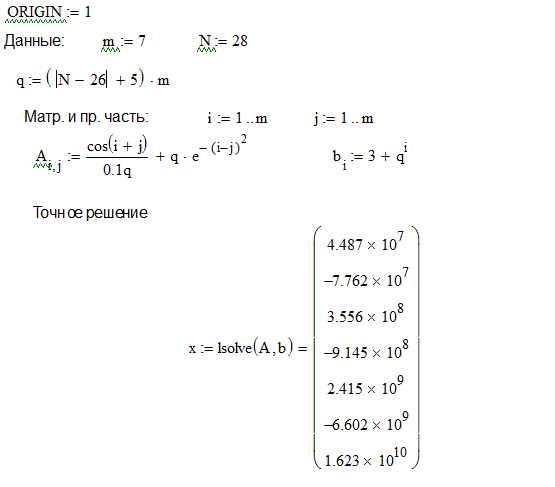
2. Вычислить решение системы с помощью встроенной процедуры lsolve.

3. Используя программу, выполнить 5 итераций по методу . Найти величину погрешности полученного приближения.

4. Используя программу решения задачи, вычислить решение системы с максимально возможной точностью Построить график зависимости числа итераций от величины k то есть график функции n=n(k), k=5,6,…Kmax.

Перебирая разные k я обнаружил, что максимальное k=5, т.к. корни уравнения имеют максимальный порядок , то при k больше 5 разность между хT-точным решением системы с помощью функции lsolve и x-решением системы с помощью метода Зейделя становится меньше , то есть становится меньше машинного эпсилон и программа уходит в бесконечный расчет. Таким образом для k:=1..5 зависимость количества итераций от точности имеет вид

Решение системы при k=5:

4. Листинг программы

Задача 4.2

1. Постановка задачи

Для системы уравнений с симметричной положительно определенной матрицей найти решение методом Зейделя с точностью , взяв нулевое начальное приближение. При программировании учесть разреженность матрицы A.

2. Теоретический материал

Метод Зейделя относится к итерационным методам решения систем линейных алгебраических уравнений

с квадратной невырожденной матрицей A.

Напомним, что в матричной форме метод Зейделя имеет вид

3. Порядок решения задачи

1. Составить расчетные формулы покоординатной формы записи итерационного метода для индивидуального варианта.

Построение тестового примера.

1.Пусть задана матрица A, у которой на главной диагонали элементы равны 200, на второй над диагонали 30, на 5-ой - 40

Матрица симметричная. Пусть размерность матрицы равна 10. Тогда система уравнений имеет следующий вид :

Выберем вектор решения x произвольным образом, например, так:

320

200 +30 +40 =

+ 200 +30 +40 =

+30 +200 +30 +40 =

+30 + 200 +30 +40 =

+30 +200 +30 +40 =

40 + +30 +200 +30 =

40 +30 +200 +30 =

40 +30 +200 +30 =

40 +30 +200 =

40 +30 + 200 =

Преобразуем систему к виду удобному для итерации :

-0.15 -0.2 +

-0.15 -0.2 +

-0.15 -0.2 +

-0.15 -0.15 -0.2 +

-0.15 -0.15 -0.2 +

−0.2 + -0.15 -0.15 +

-0.2 -0.15 -0.15 +

-0.2 -0.15 -0.15 +

-0.2 -0.15 +

-0.2 -0.15 +

В покоординатной форме записи метод Зейделя примет следующий вид: