Материал: отчет 1 маша

Внимание! Если размещение файла нарушает Ваши авторские права, то обязательно сообщите нам

Отчет по практическому занятию № 1

на тему: «Анализ рисков информационной безопасности» выполнил студент группы 972303

Кардаш Мария Дмитриевна Вариант 8

Дата выдачи задания: 20.02.2020

Цель

Целью практического занятия является изучение рисков информационной безопасности предприятия и методик для ее оценки.

Краткие теоретические сведения

Риск информационной безопасности – это возможность того, что данная угроза сможет воспользоваться уязвимостью актива или группы активов и тем самым нанесет ущерб предприятию.

Риск ИБ измеряется, исходя из комбинации вероятности события и его последствия.

Коммуникация риска – это обмен информацией о риске или совместное использование этой информации лицом, принимающим решение, и другими причастными сторонами.

Количественная оценка риска – это процесс присвоения значений вероятности и последствий риска.

Идентификация риска – это процесс нахождения, составления перечня и описания элементов риска.

Снижение риска – это действия, предпринятые для уменьшения вероятности и негативных последствий, связанных с риском.

Сохранение риска – это принятие бремени потерь или выгод от конкретного риска.

Перенос риска – это разделение с другой стороной бремени потерь или выгод от риска.

Установление контекста включает определение основных критериев, необходимых для менеджмента риска ИБ.

Критерии оценки рисков разрабатывают с учетом:

стратегической ценности обработки бизнес-информации;

критичности затронутых информационных активов;

законодательно-нормативных требований и договорных обязательств;

оперативного значения и значения для бизнеса доступности, конфиденциальности и целостности;

ожидания и реакции причастных сторон, а также негативных последствий для нематериальных активов и репутации.

Задание

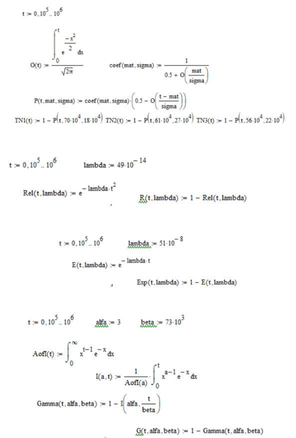
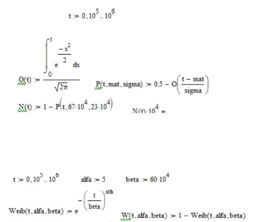
Рассчитать риск нанесения злоумышленниками ущерба отдельным информационным объектам предприятия { О1, О2, …, О8}, а также общий риск, если при проведении экспертизы было установлено, что соответствующий вектор относительных ценностей этих объектов { V1, V2, …, V8} по шкале {1 < … < 20}, законы распределения времени до возникновения ущерба определяются в соответствии с данными из таблицы 1, причем при ущербе одному из объектов стоимость других не снижается, а цена объекта О1 составляет С1 ден. ед. (см. таблицу 2). Построить график зависимости общего риска нанесения злоумышленниками ущерба информационным объектам от времени работы предприятия t, когда t изменяется от 0 до 10 6 часов с шагом 105 часов.

Таблица 1 – Исходные данные к заданию (часть 1)

Законы распределения времени до возникновения ущерба

О1

О2

О3

О4

О5

О6

О7

О8

TN(70,18 )

TN(61, 27)

N(67,23 )

Г(3, 73)

TN(56, 22)

W(5,60)

R(49)

Exp(

 

 

 

 

 

 

 

51)

Примечание: О1 ÷ О8 – информационные объекты 1 ÷ 8 предприятия;

Exp(λ/10-8) – экспоненциальное распределение;

N(m/104, σ/104) – нормальное распределение;

TN(m0/104, σ0/104) – усеченное нормальное распределение;

W(α, β/104) – распределение Вейбулла;

R(λ/10-14) – распределение Рэлея; Г(α, β/103) – Гамма распределение

Таблица 2 – Исходные данные к заданию (часть 2)

Цена объекта

 

Вектор ценностей объектов {V1, V2, …, V8}

 

О1, ден.ед.

О1

О2

О3

О4

О5

О6

О7

О8

 

 

 

 

 

 

 

 

 

 

49

7

2

5

9

16

8

9

4

 

 

 

 

 

 

 

 

 

Примечание: О1 ÷ О8 – информационные объекты 1 ÷ 8 предприятия

Расчеты

Расчеты усеченного нормального распределения:

Расчеты распределения Рэлея:

Расчеты экспоненциального распределения:

Расчеты Гамма распределения:

Расчеты нормального распределения:

Расчеты распределения Вейбулла:

 

Расчет стоимостей объектов:

 

 

 

 

 

 

 

 

 

 

 

 

 

 

О1

 

О2

О3

О4

О5

О6

О7

О8

Общая сумма

 

 

 

 

 

 

 

 

 

 

49

 

14

35

63

112

56

63

28

420

 

 

 

 

 

 

 

 

 

 

Построение графика зависимости общего риска нанесения злоумышленниками ущерба информационным объектам от времени работы предприятия: