Материал: Отчёт№1

Внимание! Если размещение файла нарушает Ваши авторские права, то обязательно сообщите нам

Санкт-Петербургский политехнический университет

Высшая школа электроэнергетических систем

Лаборатория электрических аппаратов

Студент

Специальность электроэнергетика и электротехника

2 курса, группа № 3231302/90007

19февраля 2021г.

Работа принята

Отчёт о работе

Исследование RC-фильтров

СХЕМЫ СОЕДИНЕНИЙ

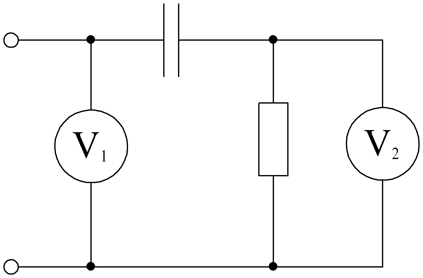
Рис. 1. Схема исследования высокочастотного RC-фильтра

Рис. 2. Схема исследования низкочастотного RC-фильтра

Замечания преподавателя:

Расчёт частоты среза при R = 470 Ом и C = 0,068 мкФ:

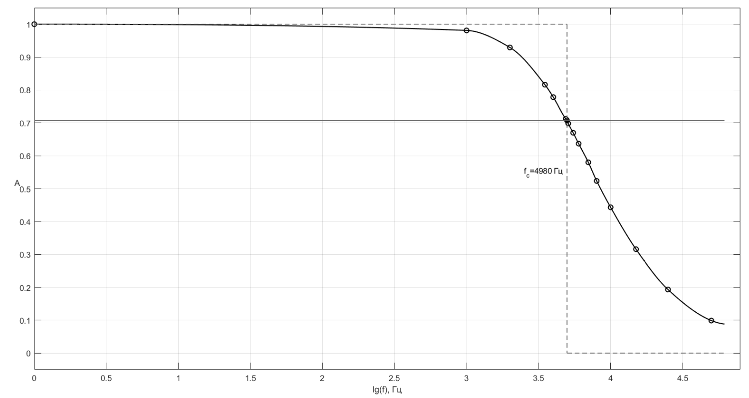
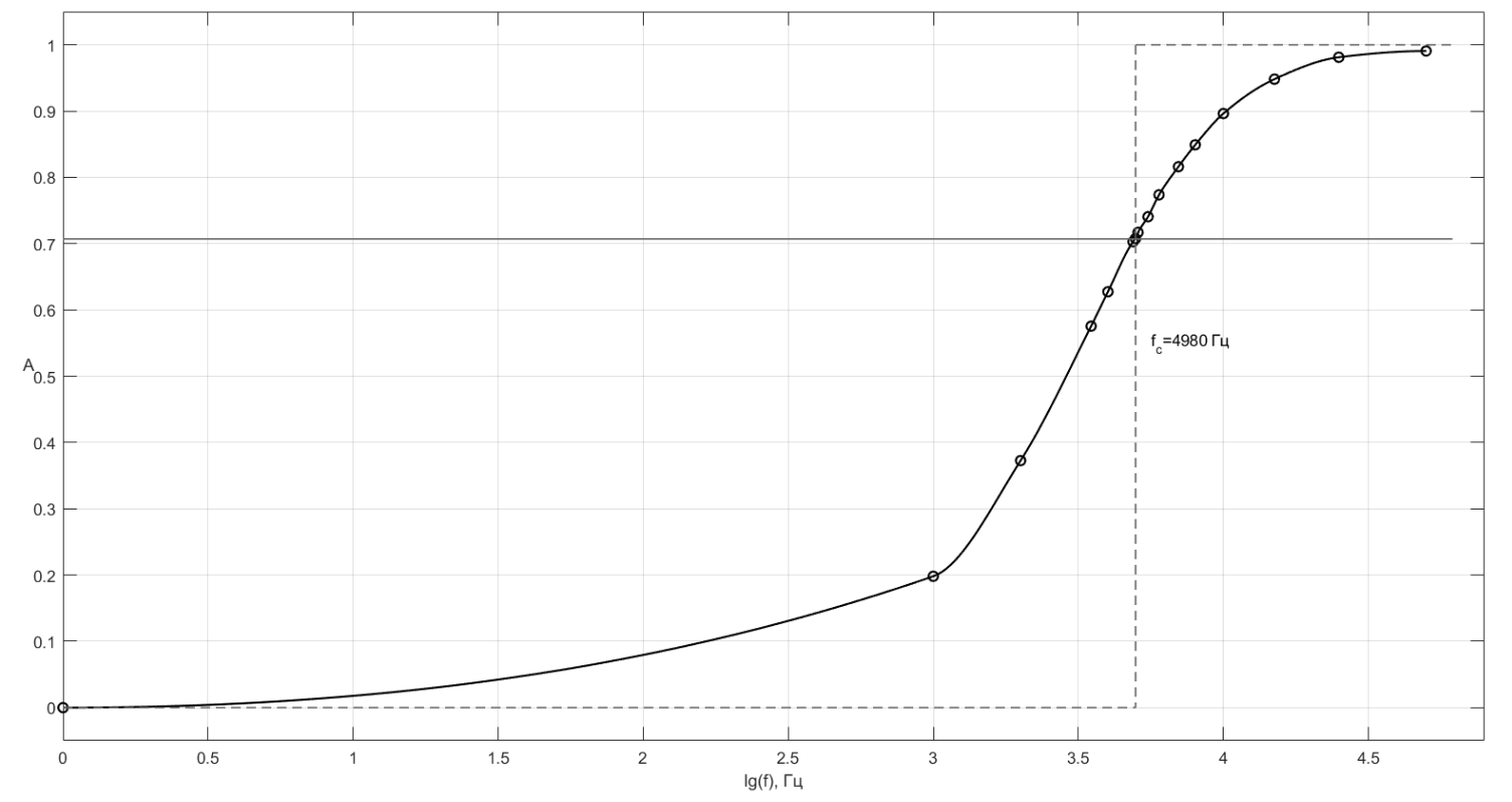
Табл. 1. Данные измерений при Uамп вх = 21,2 В

ФНЧ

ФВЧ

f, Гц

Uамп вых, В

Uамп вых/Uамп вх

Uамп вых, В

Uамп вых/Uамп вх

1

1

21,2

1

0

0

2

1000

20,8

0,981

4,2

0,198

3

2000

19,7

0,929

7,9

0,373

4

3500

17,3

0,816

12,2

0,575

5

4000

16,5

0,778

13,3

0,627

6

4880

15,1

0,712

14,9

0,703

7

fc = 4980

15,0

0,708

15,0

0,708

8

5080

14,8

0,698

15,2

0,717

9

5500

14,2

0,670

15,7

0,741

10

6000

13,5

0,637

16,4

0,774

11

7000

12,3

0,580

17,3

0,816

12

8000

11,1

0,524

18,0

0,849

13

10000

9,4

0,443

19,0

0,896

14

15000

6,7

0,316

20,1

0,948

15

25000

4,1

0,193

20,8

0,981

16

50000

2,1

0,099

21

0,991

Рис. 3. Осциллограммы входного и выходного сигналов при снятии АЧХ фильтра нижних частот при fc

Рис. 4. Осциллограммы входного и выходного сигналов при снятии АЧХ фильтра верхних частот при fc

Рис. 5. Амплитудно-частотная характеристика фильтра нижних частот

Рис. 6. Амплитудно-частотная характеристика фильтра верхних частот

а) Входное напряжение б) Выходное напряжение

Рис. 7. Результаты FFT анализа фильтра нижних частот при fc

а) Входное напряжение б) Выходное напряжение

Рис. 8. Результаты FFT анализа фильтра высоких частот при fc

Анализ полученных результатов и выводы:

По результатам эксперимента построены АЧХ фильтров верхних и нижних частот. Из них видно, что расчётное значение частоты срезы примерно совпадает с практическим.

По результатам FFT анализа видно, что в ФНЧ магнитуда верхних частот уменьшилась, а в ФВЧ уменьшилась магнитуда нижних частот.

Также из FFT анализа видно, что коэффициент искажения синусоидальности кривой напряжения уменьшился в ФНЧ на 9,13%, и увеличился в ФВЧ на 8,24% при частоте среза. Это связано с тем, что в фильтре нижних частот при частоте среза уменьшается амплитуда большего количества дополнительных высоких частот, связанных с шумами. А фильтр высоких частот уменьшил амплитуду напряжения при частоте среза (идеальная синусоида) больше, чем остальные амплитуды более высоких частот (и относительно небольшого количества низких частот), вследствие чего шумов по сравнению с синусоидальным сигналом на выходе стало больше.

Подпись выполнившего работу ___________