Материал: Особенности динамики популяционной структуры Picea x fennica (Regel) Kom. в формациях хвойно-широколиственных лесов

Внимание! Если размещение файла нарушает Ваши авторские права, то обязательно сообщите нам

Особенности динамики популяционной структуры Picea x fennica (Regel) Kom. в формациях хвойно-широколиственных лесов

Министерство образования и науки РФ

Федеральное государственное автономное образовательное учреждение высшего профессионального образования «Казанский (Приволжский) федеральный университет»

Институт экологии и географии

Кафедра общей экологии

Направление: 022000.62 - экология и природопользование Профиль: общая экология



КУРСОВАЯ РАБОТА

ТЕМА

«Особенности динамики популяционной структуры Picea x fennica (Regel) Kom. в формациях хвойно-широколиственных лесов»

Введение

Ель - одна из главных лесообразующих пород на территории нашей страны. По площади она занимает четвертое место, уступая только лиственнице, сосне и березе. Произрастая во многих растительных зонах - от тундры до лесоспепи - ель служит основной лесообразующей породой.

Территория республики Татарстан на севере Предкамья заходит в зону тайги. Зона тайги представлена двумя подзонами: южнотаежной - с преобладанием в лесах хвойных пород деревьев и подтаежной - со смешанными широколиственно-хвойными лесами. Для лесного севера Поволжья типична ель и пихта, южнее она вытесняется широколиственными породами, особенно дубом и липой.

Хвойно-широколиственные леса на территории РТ находятся на южной границе ареала, поэтому испытывают как антропогенное давление, так и воздействие всех естественных факторов. Лесная фитоценология не имеет достаточного набора теоретических и методических подходов в изучении и прогнозировании состояния лесных фитоценозов, а также способов восстановления лесов, нарушенных как деятельностью человека, так и воздействием катастрофических природных явлений.

Последние время для изучения состава и структуры фитоценозов и растительного покрова в целом применяют методы популяционной экологии, исходя из того, что совокупность ценопопуляций представляет собой более или менее целостную биологическую систему - фитоценоз. Поэтому определение структуры, состава и состояния популяций основных доминантных и эдификаторных видов растений, выявление механизмов их адаптации к различным воздействиям, оценка состояния и развития даст возможность разобраться в более сложной функциональной организации сообществ.

В качестве модельных объектов для нашего изучения были выбраны хвойно-широколиственные леса на территории ВКГПБЗ. Территория заповедника, согласно природному районированию РТ, располагается в пределах Волжско-Вятского возвышенно-равнинного региона темнохвойно-широколиственных неморально травяных лесов с фрагментами южнотаёжных елово-пихтовых и сосново-еловых зеленомошных лесов (Бакин, Рогова и др., 2000). На супесчаных и песчаных почвах долинно-террасных комплексов крупных рек распространены сосново-широколиственные и сосновые насаждения (сосново-липовые, липово-сосновые с елью и дубом, сосново-берёзовые и т. д.). Поверхность района представляет собой наклонную равнину с хорошо выраженными уступами древних левобережных террас р. Волга.

Для изучения состава и структуры хвойно-широколиственных сообществ и их динамики под влиянием различных экологических фактров использовался популяционный метод. Для этого изучалась популяционная организация одного из основных древесных эдификаторов ─ Picea fennica (Regal) Kom. Изучение динамики популяционной структуры ели финской за 10-летний период, под воздействием различных природных явлений (морозной зимы 2005-2006 г., урагана 2007 г., летней засухи 2010 г., эпифитопии 2011-2013 гг.) позволит оценить ее состяние на территории Раифского участка ВКГПБЗ.

Для этого перед нами была поставлена следующая цель: Выявить особенности популяционной структуры и динамики Picea fennica (ель финская) в формациях хвойно-широколиственных лесов за 10-летний период.

Учитывая вышесказанное, были сформулированы следующие задачи:

1. На основе собранного и закартированного материала дополнить информационную базу данных популяции Picea fennica за 2013 г.;

. Проанализировать динамику численности Picea fennica в разных климатических условиях на территории различных фитоценозов;

3. Определить параметры популяционной структуры Picea fennica для оценки состояния популяций в разных условиях произрастания и природопользования за 10-летний период исследований.

Глава 1. Обзор литературы

.1 Ельники Республики Татарстан и их состояние

Общая площадь лесного фонда и лесов, не входящих в лесной фонд по состоянию на 1 января 2008 года составила 1271,1 тыс. га или 18,7% территории Республики Татарстан («Лесной план», 2008). Главными лесообразующими породами Республики Татарстан являются сосна, ель, дуб, береза, осина (Гаянов, 2001). Согласно Лесному плану Республики Татарстан (2008), из общей площади покрытых лесной растительностью земель по состоянию на (01.01.2008 г.) на долю хвойных насаждений приходится 23,7%. За период с 2005 г. по 2010 г. площадь насаждений с преобладанием хвойных пород увеличилась на 11,6 тыс. га (4,5%) (табл. 1.1). Для сравнения, по данным А.Г. Гаянова (2001), при учете 1944 г. еловые насаждения занимали 41,6 тыс. га (3,9%).

Таблица 1.1

Изменение площади земель лесного фонда и запаса древесины за 5-летний период площадь, тыс. га; запас - млн. кбм

Показатели

На 01.01.2005г.

На 01.01.2010г.

Разница против предшествующего учета


Защит ные

Экс-плуатационные

Итого

Защит ные

Экс-плуата ционные

Итого

Защит ные

Экс-плуата цион-ные

Итого

Общая площадь земель лесного фонда, тыс.га

536,6

688,4

1225,0

538,0

688,4

1226,4

+1,4

0

+1,4

Покрытые лесной растительностью

484,3

639,5

1123,8

489,5

650,3

1139,8

+5,2

+10,8

+16,0

в том числе с преобладанием:










хвойных пород

130,4

127,7

258,1

136,8

132,9

269,7

+6,4

+5,2

+11,6

из них: сосна

105,4

76,6

182,0

109,0

76,7

185,7

+3,6

+0,1

+3,7

ель, пихта

22,9

48,3

71,2

25,3

53,3

78,6

+2,4

+5,0

+7,4

Второе место среди лесных насаждений хвойных пород принадлежит ели - 27%. В целом же площадь еловых насаждений незначительна - 6,6% от лесопокрытой площади. Естественные ельники составляют 20% от площади еловых насаждений и встречаются в северных районах республики. В последнее время еловые культуры создаются и на юго-востоке республики, то есть далеко за пределами естественного ареала, что связано с определённым риском и требует особого внимания лесоводов. Преобладание хвойных пород наблюдается в лесах ГКУ «Агрызское лесничество», ГКУ «Зеленодольское лесничество», ГКУ «Ислейтарское лесничество», ГКУ «Пригородное лесничество», Арское лесничество, в лесах, которых составляют соответственно 48%, 55%, 45%, 43%, 58%.

Важным показателем характеристики лесного фонда является его возрастная структура. Она характеризуется неравномерным распределением насаждений по классам возраста, как по отдельным преобладающим породам, так и по всем лесам в целом. По хвойным породам на долю спелых и перестойных насаждений приходится лишь 4,3%, приспевающих насаждений - 8,4%, а молодняки и средневозрастные составляют 87,3%. Такое распределение показывает, что насаждения хвойных пород имеют неудовлетворительную возрастную структуру. Общая усредненная таксационная характеристика древостоев основных лесообразующих пород по возрасту, бонитету, полноте, приросту и запасу на 1га покрытых лесом земель и спелых насаждений дана в таблице 1.2.

Почвенные и природно-климатические условия республики, как по продолжительности вегетационного периода, так и по сумме осадков, тепла достаточно благоприятны для развития древесных пород. Однако периодически повторяющиеся неблагоприятные климатические факторы существенно влияют на санитарное состояние лесов. Так, следует отметить неблагоприятные последствия для еловых насаждений засух 1920-1921 гг., вызвавших массовое усыхание ели (Гаянов, 2001). Засуха 1921 г., охватившая бассейны Средней Волги, Камы и других более южных рек, вызвала гибель ельников в Приветлужье, Мари-области, Татарии и других районах. Антициклональный тип погоды начался ещё осенью 1920г.; он продержался всю зиму и весну вплоть до июня (Маслов, 1972).

Таблица 1.2

Динамика средних таксационных показателей насаждений основных лесообразующих пород за 1992-2010 г.г., по данным лесоустройства

Преобла-дающие породы

Годы лесоуст- ройства

Средние таксационные показатели



возраст, лет

бонитет

полнота

запас на 1 га, м³

Изменение запаса на 1 га покрытых лесом земель, м³






Покрытых лесом земель

Спелых и пере-стойных насаждений


Сосна

1991-1994

43

1а,7

0,74

209

304

4,8


2001-2010

47

1а,8

0,74

220

328

4,6


Измен. ±

+4

+0,1

-

+11

24

-0,2

Ель

1991-1994

24

1,1

0,71

71

257

2,7


2001-2010

29

1,4

0,74

108

269

3,2


Измен. ±

+5

+0,3

+0,03

+37

+12

+0,5


(Государственный доклад …, 2003, 2010 гг.).

Следующий засушливый период был в 1972-1975 гг. По данным А.Д. Маслова (2010), первые сведения об усыхании ели начали поступать в 1975 г. при обследовании многих лесхозов бывших Горьковской, Кировской, Пермской областей, республик Марий-Эл, Татарстан, Удмуртии. В отличие от предыдущих случаев данная вспышка усыхания ели охватила леса от Волги до Урала не только в пределах зоны хвойно-широколиственных лесов, но и частично в прилегающих районах подзоны южной тайги (рис. 1).

Рис. 1 Схематическое расположение районов, где зарегистрировано усыхание ели от засух 1972-1975 гг. (по Маслову, 2010)

Смена засушливых и влажных периодов во многом определяет санитарное состояние лесов республики и в настоящее время. Ухудшению санитарного состояния лесов в последние годы способствуют усиление рекреационной нагрузки, слабое освоение расчетной лесосеки по мягколиственному хояйству, что ведет к накоплению перестойных фаутных насаждений и захламленности лесов, возникновению лесных пожаров, массовому размножению лесных вредителей, развитию грибных болезней древесных и кустарниковых пород, сюда же можно отнести выбросы промышленных предприятий и в первую очередь нефтедобычу, ураганные ветры и т. д.

Больше всего насаждений погибло в 2007 году - 902 га, в том числе под воздействием неблагоприятных погодных условий - 861га (95%), от инфекционных болезней - 24 га (2,7%), и от несоответствия выращиваемых насаждений условиям места произрастания 17 га (1,9%) от общей площади погибших насаждений.

Таблица 1.3.

Динамика гибели насаждений республики в зависимости от погодных условий (по данным МЛХ РТ, 2011)

Годы

Погибло насаждений, тыс.га


всего

ели

2002

6,0

-

2003

-

-

2004

61,9

59,7

2005

27,6

12,1

2006

13,0

-

2007

-

-

2008

-

-

2009

-

-

2010

38,1

11,2


Таким образом, располагаясь в зоне достаточно выраженного континентального климата, еловые насаждения республики в значительной степени испытывают отрицательное влияние периодически повторяющихся неблагоприятных климатических факторов.

1.2 Общие вопросы популяционной экологии растений


Живые организмы обычно живут не изолированными парами, а группами, состоящими из варьирующего числа особей разного пола и возраста, обитающих в каждой местности. Эти группы представляют собой популяции, которые являются биосистемами надорганизменного уровня. Популяцией в экологии называют группу особей одного вида, находящуюся во взаимодействии между собой и совместно населяющих общую территорию (Уранов, 1975). Популяция ─ главный объект демографии растений.

А. А. Корчагин (1964) предложил использовать для обозначения популяции в узком конкретном смысле термин «ценозная популяция» (ценотическая популяция) или «ценопопуляция. В зарубежной литературе понятие «ценопопуляции» не используется. По Р. Уиттекеру (1989) понятие «экологической ниши», по сути, соответствует характеристике условий существования ценопопуляции в фитоценозе. «Экологическая ниша» применительно к растениям - это совокупность пространства, которое она занимает, ресурсов, которые использует, и дополнительных условий (ветер, консортивные связи, фитофаги, конкуренты и т. д.). Также используется и понятие «метапопуляция». Если ареал данного вида состоит из более или менее географически изолированных участков, связанных между собой процессами обмена генов, вымирания и повторного заселения, вид образует «метапопуляцию» или совокупность «субпопуляций» (Бейкер и др., 1989).

Основными параметрами для оценки ценопопуляций являются - биомасса, численность, плотность, половой состав (для двудомных видов), возрастной состав, внутрипопуляционное генотипическое и фенотипическое разнообразие, жизненное состояние, распределение в пространстве и встречаемость в сообществе. Как интегральный параметр оценки положения вида в растительном сообществе принимается тип стратегии (Любарский, 1976).

Жизнедеятельность любого организма не только зависит от окружающей его среды, но и изменяет среду обитания. Межвидовая и внутривидовая конкуренции приводят к снижению скорости потребления ресурса в расчёте на одну особь, понижает скорость индивидуального роста, развития, запасания питательных веществ, снижая выживаемость и уменьшая плодовитость (Ценопопуляции, 1976, 1977). Все эти перечисленные показатели в той или иной мере отражают параметр, который называется в популяционных исследованиях жизненным состоянием, жизненностью, или виталитетом. Жизненность - это степень стойкости живых существ или систем к нарушениям (возмущениям) окружающей среды.

Возрастная структура представляет собой один из существенных признаков популяции (ценопопуляции), который обеспечивает способность популяционной системы к самоподдержанию и определяет её устойчивость. Возрастное состояние всегда связано с календарным возрастом растения. Растение пребывает в каждом возрастном состоянии в пределах некоторого отрезка времени, но границы абсолютного возраста двух последовательных онтогенетических состояний обычно перекрываются, т. е. возможно существование особей разного онтогенетического состояния и одинакового возраста. Определяя календарный возраст у большинства растений, необходимо чётко различать понятия возраста абсолютного (общего, по Н. П. Крепке (цит.) по Работнову, 1950) и условного. Абсолютный (общий) возраст - это время с момента прорастания семени до момента наблюдения. Условный возраст - это время с момента возникновения самой старой сохранившейся части растения до момента наблюдения.

Особи, относящиеся к одному и тому же возрастному состоянию, объединяются в одну онтогенетическую группу (Работнов, 1950).

На основе возрастного спектра Т. А. Работнов (1950, 1992) различает 3 типа ценопопуляций: инвазионный, нормальный и регрессивный, соответствующие крупным этапам развития ЦП: возникновению, полному развитию и угасанию.

Пространственная структура популяций - это характер распределения особей и их группировок в пространстве (Ценопопуляции…, 1977). Как правило, различают четыре основных типа размещения особей, кроме случайного, регулярного и контагиозного, еще и клинальное (Ипатов, Кирикова, 1997). Возможны варианты - случайно-клинальное и контагиозно-клинальное. Клинальное размещение выражается в постепенном и направленном изменении плотности особей по территории

Типоогия жизненных стратегий растений и особенности стратегии ели

Кроме различий по онтогенетической, пространственной, половой структуре популяции могут различаться в разных фитоценозах по биомассе, жизненности и т. д. Известно, что в пределах популяции в разных ценопопуляциях генетическая гетерогенность особей различна, причём отмечено, что в условиях нарушенных ценозов эта гетерогенность возрастает, а в стабильных сообществах она снижается (Миркин, 1986).

Подобной интегральной оценкой поведения ценопопуляции в сообществе будет тип стратегии вида. В русской фитоценологической литературе это понятие было введено Л. Г. Раменским ещё в 30-ых годах (Раменский, 1938, 1971), как «ценобиотический тип». Он выделял три типа стратегий - виаленты, патиенты, экспреленты, уподобляя их «львам», «верблюдам» и «шакалам». Спустя сорок лет в Англии выходит монография Дж. Грайма «Стратегии растений и процессы в растительности», в которой автор описывает те же три типа стратегий - конкуренты, стресс-толеранты и рудералы.

Для понимания принципов выделения стратегических типов многое было сделано Э. Пианкой и Р. Уиттекером.    Система Э. Пианки (Эволюционная экология, 1981 г.), включает два типа стратегий, связанных с К-отборами и r-отборами (по соотношению долей энергетических затрат на поддержание взрослых особей и на процессы размножения). К-стратеги - это виды, где основная часть энергии популяции затрачивается на конкуренцию и накопления биомассы, обусловленной в том числе и долголетием, а при r - стратегии - основной расход энергии используют на размножение.

В отечественной фитоценологии вопросам поведения древесных видов с точки зрения типов «стратегии» и организации популяций в зависимости от особенностей стратегий посвящены работы О. В. Смирновой, А. А. Чистяковой, О.В.Евстигнеева, Н.И. Ставровой, Н.Г. Улановой и др.. О. В. Смирнова и др. (1990) и О.В.Евстигнеева (2004), рассматривая популяционную организацию восточно-европейских лесов в Российской Федерации, составили классификацию поведения разных видов деревьев по стратегиям. К I-ому типу - конкурентным видам - были отнесены: типичные конкуренты (дуб черешчатый), толерант-конкуренты (бук лесной) и реактивно-конкуренты (ясень обыкновенный). К II-ому типу - толерантам (патиентам): 1-й подтип: конкурентно-толерантные виды - липа сердцевидная, клён остролистный; 2-й подтип: собственно-толерантные - клён полевой, явор, клён татарский, черёмуха обыкновенная. К III-ему типу - реактивные виды (эксплеренты): 1-й подтип: конкурентно-реактивные - граб обыкновенный; 2-й подтип: толерантно-реактивные - ильмовые; 3-й подтип: собственно реактивные - осина, берёза.

Подобные исследования, посвящённые особенностям онтогенеза и фитоценотической роли ели европейской в лесах Неруссо-Деснянского полесья были сделаны А. М. Романовским (2001). В зависимости от условий существования онтогенетическое развитие ели проходит на разных уровнях жизненности, всего выделено 4 уровня жизненности: повышенный, нормальный, пониженный, низкий. Повышенный уровень жизненности свойственен особям, развивавшимся в условиях свободного роста (разреженные посадки). Нормальный уровень жизненности характерен для елей, которые растут в светлых сосняках или на опушках. Темпы их развития по сравнению с особями повышенного уровня жизненности замедленные. Пониженный уровень жизненности отмечен у особей, которые формировались в условиях умеренного угнетения. На низком уровне жизненности проходит онтогенез деревьев, растущих в условиях сильного угнетения. Темпы их роста и развития минимальны. Особенности популяционной биологии и экологии ели европейской рассмотрены с позиций ее конкурентоспособности, фитоценотической толерантности и реактивности (Работнов, 1975, Grime, 1979; Восточноевропейские…, 2004). Интегральные свойства ели европейской описываются при сравнении с другими видами деревьев, встречающихся в Неруссо-Деснянском полесье: Acer platanoides, Alnus glutinosa, Betula pendula, Betula pubescens, Fraxinus excelsior, Pinus sylvestris, Populus tremula, Quercus robur, Ulmus glabra ( Табл. 1.3). Конкурентоспособность (виолентность, конкурентная мощность) - способность видов создавать и контролировать среду в сообществе, а также подавлять другие организмы вследствие высокой энергии жизнедеятельности и большой интенсивности использования среды. По длительности удержания территории и мощности взрослых особей (высоте, площади проекции кроны и др.), которые характеризуют способность вида преобразовывать среду в сообществе, ель - один из лидеров видов древесной синузии. По совокупности признаков конкурентоспособности ель уступает только дубу (табл. 1.3.). Также рассматривается относительная толерантность и реактивность ели, отношение ели к влаге и пожарам.

Толерантность (патиентность, устойчивость, выносливость к крайне неблагоприятным фитоценотическим условиям) - способность видов длительно существовать на территории, занятой другими организмами, за счёт максимального снижения энергии жизнедеятельности. По суммарному баллу фитоценотической толерантности ель уступает только липе (табл. 1.3). Реактивность (эксплерентность, динамичность, пионерность, рудеральность) - способность видов к максимально быстрому освоению освободившихся ресурсов в сообществе за счёт быстрого роста и значительного репродуктивного усилия.

Отношение ели к свету. Диапазон потребности вида в свете во многом определяет занимаемое им положение и возможности заселения тех или иных местообитаний. Нижняя граница световых потребностей вида (световой минимум) определяется уровнем освещённости, при котором ещё сохраняется положительный баланс между дыханием и продукционным процессом. Минимальные значения потребности в свете ель демонстрирует на начальных стадиях онтогенетического развития (табл. 1.3).

Таблица 1.3. Световые минимумы сублетальных особей j-v1-онтогенетических групп (Романовский, 2001) и суммарный балл популяционных стратегий (Евстигнеев, 2004) разных видов деревьев

Онтогенетические группы / свет - min, %

Популяционные стратегии / балл

вид

j

im1

im2

v1

конкурентности

толерантности

реактивности

Pinus sylvestris

6,4

11,4

19,8

22,4

5,25

1,11

6,28

Betula pendula

3,1

4,5

10,7

30

2,89

0,45

8,23

Quercus robur

1,2

2,6

5

15,1

10,05

0,94

4,08

Picea abies

0,9

1,1

1,2

1,6

7,47

4,73

4,88

Tilia cordata

0,6

0,7

0,8

1,3

3,24

3,83

4,08

 

Отношение ели к влаге. Чувствительность ели к влаге определяется поверхностным типом корневой системы. Особенно хорошо зависимость плотности ценопопуляции ели от влажности почвы прослеживается в местностях с песчаными почвами на начальных этапах внедрения ели в молодые сосняки.

1.3 Ельники, их состояние и причины усыхания

В своей работе зарубежные авторы, изучающие особенности развития и структуры ельников на севере Европы - в Финляндии и Норвегии - выделяют различные факторы, влияющие на демутационно-дегресивные процессы в «первобытных» еловых лесах, такие как пожары, вырубки, засухи, зараженость патогенным грибами и насекомыми. При этом отмечают, что процессы восстановления поврежденных площадей еловых лесов идут по трем сценариям»: 1. боковое расширение существующих больших деревьев за счет разрастания кроны, либо возможного вегетативного разрастания березы; 2. освобождение, т.е активизация роста и развития угнетенных молодых особей; 3. появления новых проростков березы и ели, на основе существующего банка семян, в связи с освобождением полога и образование светлых «окон».

Воздействие нескольких факторов может усиливать эффекты нарушения. В районах локализованных воздействий в еловых лесах Норвегии большая часть деревьев находится под воздействием насекомых, чем вывалов. Этот тип повреждения усиливается влиянием патогенных грибов, которые нарушают общую конструкцию ствола при сильных ветрах и снеговой нагрузки. Сломанные кроны из-за снеговой нагрузки и ветра могут также сделать деверья более восприимчивыми к грибковым или насекомым воздействиям. Насекомые часто поражают ослабленные деревья, дальнейшее снижение виталитета делает действие других факторов более выраженными.

Умеренное воздействие происходит от ветра, слабой интенсивности огня, засухи и насекомых (Fraver соовт. 2008, Уланова 2008, Карон и др., 2009). Бури и ураганы могут быть достаточными, чтобы уничтожить лес. Таким образом, бури в некоторой степени могут занимать функциональную роль огня, но тяжесть повреждения гораздо изменчива, чем это обычно бывает с огнем и сильные ураганы являются относительно редким явлением.

Факторы патогенных воздействий возникают там, где конкретные климатические и почвенные условия способствуют зажиганию и распространению огня. Леса, в которых преобладает ель, попадают в эту категорию. В таких лесах ель обычно соседствует с березой и сосной. Накопление толстым слоем плохо разложившегося органического материала и высокое разнообразие сухостоя являются отличительной характеристикой таких лесов. Большое количество органического вещества на лесной почве не только затрудняет восстановление , но и приводит к ухудшению доступа питательных веществ и влаги, нарушают температурный режим. Толщина органического слоя увеличивается с широтой. Северные чернично-зеленомошные леса наименее продуктивные.

На территории Республики Татарстан, произрастая на естественной границе своего ареала, ель часто подвергается действию неблагоприятных факторов среды, в результате происходит усыхание еловых древостоев.

Установлено несколько причин масштабного усыхания лесов. Это - старение деревьев, жаркие летние сезоны последнего десятилетия, сильные ветровалы и наконец - поражение лесных массивов короедом-типографом и усачом.

О гибели лесов под влиянием засух в литературе сообщалось многократно. Одними из первых достоверных сведений следует считать сообщения, приведенные в Лесном журнале, о том, что в 70-х годах XIX ст. отмечалось значительное повреждение лесов короедами в Калужской губернии, а также под Ригой и в бассейне р. Западная Двина. В этот период (1875-1876 гг.) в России были тяжелые засухи и недород. Тогда же уровень р. Неман снизился по сравнению с нормой на 5…14%, что также свидетельствовало о засухе. Следующее наиболее значительное по масштабам усыхание ели началось после засух 1882 и 1883 гг. Оно наблюдалось в Псковской, Московской, Тверской, Смоленской, Калужской губерниях, а, по другим данным, также в Нижегородской, Лифляндской, Симбирской, Казанской губерниях (Цит. по А.Д. Маслову, 2010).

Подавляющее большинство случаев усыхания ели за 100-летний период вписывается в границы зоны хвойно-широколиственных или смешанных лесов. Следовательно, данную природную зону можно считать зоной периодических усыханий ели от засух. В экстремально засушливые периоды вегетации, характеризующиеся дефицитом осадков, высокой температурой воздуха и низкой его влажностью возрастает напряженность климатических факторов, регулирующих водный режим ельников и баланс влаги в экотопах. Складываются критические ситуации атмосферной засухи с экстремально высокой температурой и дефицитом влажности воздуха, что в некоторых случаях вызывает водный и тепловой стресс, наблюдаемый в процессах функционирования хвои ели. В засуху отмечается значительное понижение уровня грунтовых вод, запасы доступной для растений влаги уменьшаются в почве до критически низких величин. В этом случае усыханию подвержены не только перестойные, спелые, приспевающие, но и молодняки, средневозрастные ельники.

Следует различать сценарии локально-массового и массового усыхания ельников, происходящие в результате экстремального проявления засушливости умеренного континентального и континентального климата. Наиболее опасные для функционирования ельников атмосферные засухи, присущие в большей мере континентальному климату, проявляются весной и в первой половине вегетационного периода. Резкое и длительное повышение температуры воздуха, низкая его влажность в сочетании с дефицитом осадков в этот период вызывают интенсивную транспирацию, в то время как температура почвы остается еще низкой для нормальной жизнедеятельности корней. В господствующем пологе древостоя наблюдается тепловой и водный стресс в кроне, нарушение функциональной корне-листовой связи ели и водного баланса в древостое, изменение цвета и осыпание хвои. В течение вегетационного периода подвержены усыханию ельники, формирующиеся на повышенных и пониженных элементах рельефа в различных геоботанических подзонах. Осыпание хвои и переход от диффузно-рассеянног о к куртинно-групповому и сплошному усыханию деревьев происходит на участке в течение 1-2 месяцев вегетационного периода. Роль короедов в усыхании ели в этом случае - вторичная.

Усыхание ельников в нынешний период отмечается во многих регионах России. Так, сплошное усыхание ельников в Белоруссии произошло на площади более 73 тыс. гектаров, что в среднем соответствует территории одного лесхоза (Федоров, Сарнацкий, 2004). Авторы отмечают, что в наибольшей мере подвержены усыханию ельники следующих типов леса: крапивный - 12,6; кисличный - 3,8; снытевый - 2,4; приручейно-травяной - 1,8; зеленомошный - 1,5; папоротниковый - 1,4; черничный - 1,0; орляковый - 0,8%. Наибольшую площадь усыхающих древостоев составляют высокопродуктивные приспевающие и спелые ельники кисличные (72,8% усыхающих ельников), черничные (11,1%), мшистые (5,7%).

Согласно сведениям академика В.Ф. Логинова и других исследователей засуха наступает на европейской территории преимущественно в течение восходящей фазы активности Солнца. Высокие значения солнечной активности совпадают, как отмечает профессор А.И. Воронцов, с началом массового размножения стволовых вредителей.

Учитывая существующую закономерность в астрономии (которая не нарушается уже более 200 лет) - каждый нечетный цикл сильнее предшествующего четного и следует ожидать, что нынешний 23-й цикл будет аномальный в большей мере, чем предыдущий. В 11-летнем цикле солнечной активности в ближайшие 2-3 года существуют предпосылки для массового размножения короедов и усыхания ельников, а в 22-летнем цикле - высокая вероятность усыхания ели сохраняется до 2006-2010 годов в соответствии с влиянием гелиофизических факторов на климат и жизнедеятельность стволовых вредителей. Следовательно, в ближайшие 3-7 лет сохраняются условия для массового размножения короедов и усыхания ели в лесах, где до настоящего времени отмечаются признаки ослабления деревьев. Масштабы усыхания определяются типологической и возрастной структурой ельников, формирующихся в том или ином лесорастительном районе. Массовое усыхание ельников приводит к различным изменениям негативного характера в сложившейся структуре природных комплексов, появлению значительного экономического и экологического ущерба. Эколого-экономический ущерб от сплошного усыхания ельников по расчетам профессора БГТУ А.В. Неверова превышает экономический в три раза и более. (Автор: Владимир Сарнацкий, ведущий научный сотрудник Института экспериментальной ботаники Национальной академии наук Беларуси, кандидат сельскохозяйственных наук., #"818705.files/image002.gif">

Рис.1.1. Проростки и сеянцы ели - Picea excels: 1, 2, 3 - проростки, 4 - двухлетний сеянец, 5 - четырёхлетний, 6 - шестилетний; г. к. - главный корень с боковыми корнями; гпк. - гипокотиль; см. - семядоли; эп. - эпикотильная часть годичного побега 1-ого года

В течение первых трёх лет в корневой системе главный корень растёт быстрее боковых. Но с третьего года боковые корни начинают расти быстрее главного. Корневая система становится всё более поверхностной, т. к. и главный корень, достигнув 10- 15 см длины, приобретает горизонтальное направление.

С 3-5 лет начинается образование придаточных корней, вначале на гипокотиле, а позже и выше по главной оси, что способствует погружению их в моховой покров и лесную подстилку. Таким образом, в течение первых 15 лет жизни сеянца в благоприятных условиях роста более или менее отчётливо проявляется тенденция к увеличению годичного прироста главной оси. В меньшей степени эта тенденция выражена, а условиях значительного затенения.

Прирост боковых ветвей в решающей степени зависит от их положения на главной оси. Где бы ни располагались боковые ветки молодых ёлочек, их рост всегда несколько уступает приросту главной оси близ места отхождения от неё. Если главная ось в исследуемый период жизни ели обнаруживает увеличение годичных приростов с возрастом, то боковые ветви сеянца такой способности к увеличению прироста не проявляют. Наоборот, с возрастом величина их прироста становится всё меньше, пока прирост не прекратится совсем. При формировании сеянца характерна изогнутость гипокотиля, как видно на рис. 1.2. У сеянцев со временем происходит всё более заметное изгибание гипокотиля.

Рис. 1.2. 10-летний сеянец ели, выросший в глубине леса в затенении:

I - гипокотиль (гпк.); II - нижняя часть главного стебля полегла; г.к. - главный корень

Начинается в зоне корневой шейки, а затем распространяется выше, иногда захватывая и облиственную часть главной оси на несколько сантиметров. Этот изгиб базальной части главной оси и погружение его в почву имеет большое биологическое значение, облегчая, образование придаточных корней. Образование и рост придаточных корней приводит к снижению функциональной значимости, ослаблению роста и, наконец, отмиранию системы главного корня. Функция почвенного питания и водоснабжения переходит к системе придаточных стеблевых корней (по наблюдениям Т. И. Вещиковой).

Нарастание и ветвление боковых побегов идёт моноподиально. Кроме верхушечной почки развёртываются 2-3 боковые почки. Прирост ветвей III порядка обычно бывает меньше, чем у ветвей II-го, а ветви IV порядка обладают приростом более слабым, чем побеги III-го.

По мере дальнейшего роста преобладание главной оси над боковыми ветвями резко возрастает. С 20-30-летнего возраста у ели резко возрастают годичные приросты главной оси. Чем выше на годичном побеге располагается боковая ветвь, тем сильнее её рост. Наибольшей энергией роста в силу акротонности обладает побег, развивающийся из верхушечной почки. Следствием акротонности является «этажированность» расположения боковых ветвей на главной оси ели.

«Этажированность» в расположении боковых ветвей усиливается вследствие того, что нижние боковые ветви каждого годичного побега главной оси отличаются не только слабым ростом и незначительной величиной, но и небольшой длительностью жизни, они довольно быстро отмирают и опадают с дерева. Верхние боковые ветви каждого годичного побега имеют сильный рост и сохраняются на дереве.

У 4-летних сеянцев верхушечная почка по числу зачатков хвоинок будущего года значительно превышает боковые. У 7-12-летних ёлочек эти различия менее выражены, а в условиях затенения верхушечная почка главной оси иногда развита даже слабее, чем её боковые верхние почки. У более взрослых быстрорастущих молодых деревьев 20-35-летнего возраста, отличающихся большим приростом главной оси, верхушечная почка по всем изученным показателям намного превышает боковые почки той же главной оси. Резкое преобладание в росте главной оси над боковыми побегами не продолжается постоянно в течение жизни дерева: к 80-100 годам рост главной оси ели значительно ослабевает, в то время как боковые ветви сохраняют еще значительную величину своих годичных приростов. В этот период жизни дерева и диаметр боковых ветвей лишь немного уступает диаметру главной оси. Так, у просмотренных деревьев 100-120-летнего возраста диаметр сохраняющейся главной оси непосредственно под верхушечной почкой, равен 12-15 мм, а у боковых ветвей, развивающихся на этом же побеге главной оси, равен 10-15 мм. Величина годичного прироста главной оси падает с 50-70 см у молодых деревьев до 10-15 см к 100-120 годам. К 150-180 годам прирост главного ствола снижается до 5-7 см.

Наблюдения за формированием кроны у Picea excelsa от сеянцев до старческого состояния позволяют выделить четыре возрастных периода из жизни этого дерева, отличающихся и морфологически. 1. Период роста только главной оси, он длится от прорастания до 4-6-летнего возраста сеянцев. Боковые почки в течение этого периода остаются в нераскрытом состоянии. Биологически этот период характеризуется чрезвычайно слабым ростом надземных органов, в результате чего раскрывается на побеге только одна верхушечная почка. В подземной сфере, в этот период формируется и функционирует только система главного корня. Рост корней не превышает роста побегов. Экологически сеянцы ели - очень теневыносливы.

2. Период ширококронного деревца. Растение имеет небольшую интенсивность роста главной оси, лишь немного превышающую рост боковых ветвей, этот период продолжается от 4-6-летнего до 15-20-летнего возраста сеянцев. Биологически для него характерна несколько большая интенсивность роста побегов по сравнению с предыдущим периодом. В подземной сфере происходит формирование системы придаточных гипокотильных и стволовых корней и одновременно постепенное отмирание системы главного корня. Ширококоническая форма кроны способствует более полному поглощению света ёлочками под пологом деревьев.

3. Период узкокронного островершинного дерева. Характеризуется большой интенсивностью роста главного ствола, которая резко превосходит рост боковых ветвей. Годичные приросты главной оси достигают 50-70 см. Потребность в освещении в этот период у ели значительно возрастает. Ассимилирующая часть кроны ели выносится на прямой солнечный свет. С началом этого периода совпадает начало семеношения, в подземной сфере у ели полностью сформирована система придаточных стеблевых корней и наблюдается их регулярная смена.

4. Период округловершинного стареющего дерева с последующим появлением суховершинности. Характеризуется замедлением роста главной оси при сохраняющемся значительном приросте боковых ветвей. Величина годичных приростов главной оси падает до 7-5 см. Процесс старения дерева наряду с резким ослаблением роста, сопровождается переходом от моноподиального нарастания главной оси к симподиальному, потерей её преоблаания над боковыми ветвями, что вызывает изменение формы кроны от островершинной к округловершинной. Вследствие отмирания придаточных корней и утраты способности к образованию на стволе новых корней, зона поглощения, ранее удалённая на 20 и более метров от ствола, в период старения дерева постепенно приближается к стволу. Наблюдается суховершинность, отсутствие спящих почек, и дерево отмирает.

1.6 Онтогенез рода Picea по А.А. Чистяковой (1989)

Семена ели прорастают по наземному типу. Проросток (p) имеет главный корень 7 - 8 семядолей игловидной формы и верхушечную почку. Вначале семядоли являются фотосинтезирующими органами и полностью отмирают на 3 - 5 году жизни. Первые листья - хвоинки тонкие, короткие (до 1 см) округлые в сечении и часто расположенные. Корневая система стержневого типа.

Ювенильные (j) особи - растения с одноосными побегами. Семядоли у них уже засохли. Верхушечный прирост невелик - 2 - 5 см. Хвоя ювенильного типа. Длительность состояния - 1 - 2 года. Корневая система стержневого типа, состоит из главного и боковых корней.

Имматурные (im1) С началом ветвления побега ель переходит в имматурное первое (im) онтогенетическое состояние, обычно при нормальной жизненности это происходит на четвертом году жизни. Крона зонтиковидной формы, редкая, в мутовке не более 2 ветвей. Порядок ветвления кроны - 2 - 3. Хвоя ювенильного типа. Прирост ствола составляет 0,5 - 3 см в год и примерно равен годичному приросту нижних ветвей. На долю кроны приходится 43 - 78% то общей высоты дерева. Корневая система поверхностно-стержневого типа. В слое подстилки идет активное корнеобразование - образуется придаточное корни, начинается образование корневой системы поверхностного типа.

Имматурные (im2) - появление четвёртого порядка ветвления кроны. Она симметрично развита, хорошо охвоена, наибольший порядок ветвления - пятый. Хвоинки уплощаются и приобретают вид теневой хвои взрослых деревьев. Начинают отмирать нижние веточки, доля кроны от высоты дерева составляет 58 - 85%. На живых нижних ветвях появляются единичные побеги вторичной кроны. Они не долговечны, наибольший их возраст 3 -4 года. Поверхностная корневая система образована постоянно обновляющимися придаточными корнями, такой тип корневой системы у ели сохраняется до конца онтогенеза.

В виргинильном (v1) онтогенетическом состоянии происходит резкое ускорение роста в высоту. Величина верхушечного роста превышает боковой в 2 раза и более, достигая 55 см. На этой стадии развития резко увеличивается потребность растения в свете. Увеличивается до седьмого порядка ветвление кроны. На нижних ветвях присутствуют побеги вторичной системы - меньше 1% от общей длины побегов, несущих хвою. Продолжается отмирание нижних веточек, число мутовок усохших ветвей - 7. Крона составляет 76 - 92% высоты дерева.

Для виргинильных (v2) характерно наибольшее в онтогенезе скорость роста, размер верхушечного прироста составляет 30 - 76 см. По высоте виргинильные вторые особи приближаются к верхнему яруса древостоя. Крона узкопирамидальная, симметричная, порядок ветвления 6 - 8. Хвоя в верхней части кроны световая и полусветовая, а в нижней - теневая. На нижних ветвях «проснувшиеся» побеги составляют до 20% от общей длины охвоенных побегов. Увеличивается до 9 лет максимальный возраст вторичных побегов. Число «мёртвых» мутовок - 7 - 19. На долю кроны приходится 63 - 88% высоты дерева. Нижняя часть ствола начинает очищаться от сухих сучков до 50 см , растрескивается корка на стволе.

У молодых генеративных (g1) елей в верхней части кроны появляются шишки в количестве от 6 до 30 шт., после 30 лет. Семяношение необильное и не регулярное. У них сильнее выражены процессы, связанные со старением: количество мутовок усохших ветвей 9 - 19, снизу ствол очищается от сухих веток на высоту до 70 см. Высота трещиноватости корки ствола достигает 0,4 - 1,6 м.

Генеративные зрелые (g2) особи - взрослые деревья с максимальной способностью к семяношению. Шишки (от 31 до 198 шт.) появляется в верхней, средней, а при хорошей освещённости и в нижних частях кроны. Рост ствола вверх замедляется (величина верхушечного 7 - 60 см), крона приобретает пирамидально-цилиндрическую форму. Порядок ветвления достигает 9. На нижних ветвях 92% длины охвоенных побегов сформированы из спящих почек. «Проснувшиеся» побеги начинают доминировать в кроне, их доля достигает 80% от всей суммарной длины побегов с хвоей дерева. Количество мертвых мутовок 5 - 19, крона от общей высоты дерева составляет 69 - 93%. Высота очищенного от сухих веток ствола - до 65 см. Высота трещиноватости корки ствола - 0,5 - 1,7 м. В этом возрастном состоянии дерево утрачивает способность к образованию новых придаточных корней. Вероятно, в связи с этим замедляется рост ствола.

Генеративные старые (g3) мощно развиты. Крона пирамидально-цииндрической формы с округлой вершиной, размер верхушечного роста снижается. Значения порядка ветвления -до 10. Все побеги, несущие хвою, нижних ветвей образованы из «спящих» почек. Количество мертвых мутовок - 4 - 24, на долю кроны приходится 51 - 88% от высоты дерева. Ствол очищается от сухих ветвей на высоту от 1 до 4 м. Корка на стволе сильно растрескивается на высоту от 5 до 20 м.

Субсенильные и сенильные особи для ели не описаны.

Онтогенез ели и пихты довольно сходны. Однако если ель размножается только семенами, то пихта часто размножается вегетативно.

Глава 2. Физико-географическое описание мест исследования

Участок исследований (ВКГПБЗ) располагается в пределах Волжско-Вятского возвышенно-равнинного региона темнохвойно-широколиственных неморально-травяных лесов с фрагментами южнотаёжных елово-пихтовых и сосново-еловых зеленомошных лесов (Бакин, Рогова, Ситников, 2000). Климат региона умеренно-континентальный с холодной зимой и тёплым летом. Среднегодовая температура + 2,3 °С, средняя температура января - 13,9 °С (минимальная до - 52°С), июля ─ +19°С. Средняя высота снежного покрова - 30-40 см. Атмосферных осадков в среднем выпадает - 403 - 509 мм (max до 600 мм).

На супесчаных и песчаных почвах долинно-террасных комплексов крупных рек развиты сосново-широколиственные и сосновые насаждения с различной степенью участия в их составе темнохвойных пород. Сосново-липовые и липово-сосновые с Picea fennica, Quercus robur, Aсer platanoides костянично-снытевые. Сосново-дубовые костянично-снытевые и волосистоосоково-снытевые на слабо-подзолистых супесчаных почвах плакорных и склоновых участков высоких террас и возвышениях низких террас. Сосновые с Tilia cordata во втором ярусе бруснично-костянично-снытевые на супесчаных и песчаных почвах выровненных поверхностей террас. Сосновые с Tilia cordata, Quercus robur, Aсer platanoides бруснично-разнотравно-остепнённые на песках верхних террас малых рек.

На месте коренных насаждений после рубок формируются длительнопроизводные липовые леса различной типологии и короткопроизводные - березняки и осинники. На месте сосновых насаждений зеленомошного и лишайникового типов под воздействием пожаров формируются сосняки вейниковые, ландышевые, орляковые, кипрейные и др. (Бакин, Рогова и др., 2000).

Участок ВКГПБЗ. Территория заповедника лежит на левобережных террасах р. Волга. Рельеф Раифского участка равнинный. Центральная его часть сильно понижена, имеет дюнно-бугристый характер, с лощинами и древними балками. Абсолютные отметки на дне речных долин и озёрных котловин не превышают 60-62 м, в то время как на северо-западе и юго-востоке - 100-105 м. Северные и южные части пересечены разветвленной сетью оврагов и балок. Вторая надпойменная терраса сформировалась в результате заполнения древней долины древнеаллювиальными песчано-глинистыми наносами. Пески и супеси здесь чередуются с глинистыми и суглинистыми прослойками.

В заповеднике в основном отмечаются дерново-подзолистые почвы, имеющие в зависимости от местоположения в рельефе, почвообразующих пород, древесной растительности, под влиянием которых они развиваются, разную степень оподзоленности (от скрытоподзолистых до сильноподзолистых), гуму-сированности (гумус - от 0,5 до 5%) и механический состав - от рыхлых песков до суглинков. Распространены также почвы с избыточным увлажнением, редки серые лесные почвы. На относительно небольшой территории Волжско-Камского заповедника соседствуют лесные, луговые, болотные и водные ландшафты. На небольшой территории Раифы сочетаются все основные формации трёх лесных зон - южной тайги, смешанных и широколиственных лесов. Вдоль южной опушки Раифского участка расположены леса из дуба с его спутниками: липой, вязом, ильмом, клёном. По продвижению на север к лиственным породам присоединяются хвойные - сначала ель, затем сосна, и дубово-липовые леса сменяются елово-широколиственными, сосново-широколиственными и сосновыми лесами.

Глава 3. Объекты и методы исследований

Основными объектами наших исследований были зональные хвойно-широколиственные. Исследования проходили на Раифском участке ВКГПБЗ летом-осенью 2004-2013 года. Нами использовался материал, собранный Фардеевой М. Б., Исламовой Г. Р. (2003-2005 гг.), Шакировой Д. Р. (2009-2010гг) и лично в 2013 г.. Данные фитоценозы были описаны по общепринятым геоботаническим методикам (доминантно-детерминантная классификация), давалась формула древостоя, сомкнутость крон, общий состав видов.

Рис.3.1. Квартальная карта Раифского участка заповедника с указанием маршрута

Для изучения популяционной организации древесных эдификаторов был заложен геоботанический профиль, на Раифском участке ВКГПБЗ протяженностью 3 км с юга на север, от широколиственных лесов на юге к хвойно-широколиственным - на севере. Маршрут дан на карте-схеме (рис.3.1.). Профиль закладывался с учётом рельефа местности, первоначально с юга на север происходило постепенное снижение высотных отметок к долине р. Сумка, а затем, постепенное увеличение высотных отметок местности.

В Microsoft Exel была создана база данных, содержащая информацию о морфометрических показателях и пространственном расположении древесных пород на заложенных площадках. Размер площадок составлял 50х50 м - 2500м². База пополнялась по определенной структуре (Фардеева, Чижикова, 2007).

На основе морфометрических параметров определялся возрастной состав и пространственное распределение деревьев. Данные о возрастном состоянии деревьев были также включены в базу данных. Для изучения возрастной структуры были построены в виде 3-х мерных графиков возрастные спектры по породам, динамика возрастных спектров по площадкам и для всех видов деревьев.

Объём ствола определяли по формуле Губера. Грубая оценка объема древесного ствола V может быть получена по стереометрической формуле как объем цилиндра - площадь сечения древесного ствола на середине длины умножается на высоту ствола:

= G*L

где L -длина ствола, м; G -площадь сечения на середине длины (высоты), м2. В свою очередь, зная диаметр d на середине длины ствола, площадь сечения может быть рассчитана как G = πd2 / 4.

Установить прямую связь между переменными и их абсолютными значениями стало возможно благодаря линейному корреляционному анализу Пирсона. Коэффициент Пирсона позволяет устанавливать тесноту связей между признаками. Если связь между признаками линейная, то коэффициент Пирсона определяет тесноту этой связи с высокой точностью. Данная корреляция предполагает, что две рассматриваемые переменные измерены, по крайней мере, в интервальной шкале.

В общем виде формула для подсчета коэффициента корреляции такова:


где Xi - значения, принимаемые переменной X, Yi - значения, принимаемые переменой Y, X - средняя по X, Y - средняя по Y.

Расчет коэффициента корреляции Пирсона предполагает, что переменные и распределены нормально В качестве числовой характеристики вероятностной связи используются значения, которые изменяются в диапазоне от -1 до +1: До 0,2 - очень слабая корреляция, до 0,5 - слабая корреляция, до 0,7 - средняя корреляция, до 0,9 - высокая корреляция, свыше 0,9 - очень высокая корреляция.

В качестве интегрального показателя жизненности используется индекс состояния насаждений (ИС), с помощью которого удобно оценивать не только статику, но и динамику ослабления и потери устойчивости насаждений. Основными критериями ИС являются состояние ствола, кроны, её охвоенность, уровень усыхания. Состояние деревьев определялось по 6-бальной системе в соответствии со стандартной классификацией В.Х. Зайцевой и выделялись: 1. здоровые деревья; 2. ослабленные; 3. сильно ослабленные; 4. усыхающие деревья; 5. свежий сухостой; 6. старый сухостой.

По оценке древостоя определяется индекс состояния (ИС) каждой древесной породы по формуле:

ИС= ∑b*n /N

Где b- балл состояния,

n- число деревьев, имеющих данный балл,

N- общее число деревьев на пробной площади.

На основе расчёта индекса состояния используется следующая шкала:

1)  ИС меньше 1,7 « Благополучные» насаждения - деревья здоровые с нормальной кроной. Возможна слабая ажурность кроны - не более, чем у 30% деревьев, признаков токсичного действия на хвое не отмечено. Балл по инструкции - 1, реже 2.

2)      ИС в пределах 1,8-2,8 «Больные» насаждения - ажурность кроны хорошо выражена более, чем у 50% деревьев. На хвое некротические пятна, пожелтение, преждевременное опадание хвои у 20-50% деревьев; укороченные, изогнутые побеги. Балл - 3.

3)  ИС больше 2,8 «Критическое состояние» насаждений - Расстроенный древостой с выволом деревьев или с сухостоем. Сильно выражена ажурность кроны более, чем у 75% деревьев. На листьях и хвое некрозы или обесцвеченные пятна, повсеместное пожелтение и опадение хвои. Балл по инструкции - 4; 5; 6.

Глава 4. Результаты и обсуждение исследований

.1 Особенности видового состава изученных фитоценозов

Объектом исследований является Picea fennica (ель финская). Анализ популяционной организации видов проводился на основе изучения ее численности, возрастной структуры, динамики показателей в различных фитоценозах за период 2004-2013 гг..

В Раифе Picea fennica отмечалась по профилю в 7-ти фитоценозах: Липняк с вязом снытево-пролесниковый (пл. 3); Ельник с березой снытево-страусниковый (пл. 4); Сосняк с елью и липой кислично-осоковый (пл. 6); Ельник с сосной чернично-кислично-мшистый (пл. 7); Сосняк с елью бруснично-чернично-кислично-мшистый (пл. 8); Сосняк вейниково-ландышево-мшисто-лишайниковый (пл. 9); Сосняк бруснично-вейниковый (пл. 10). Геоботанические описания фитоценозов даны в приложении.

Геоботанические описания по площадкам были занесены в базу данных «Флора» и проанализированы. Первоначально определялся коэффициент общности (КО) между исследованными хвойно-широколиственными фитоценозами. Наибольшая общность наблюдается между ценозами сосново-еловых лесов и ценозами елово-сосновых лесов. Наименьшие коэффициенты общности с широколиственными лесами. В целом выявляется высокая общность между фитоценозами площадок 6, 7 и 8, так как имеют сходный состав растительности. Коэффициент общности между фитоценозами площадок неоднородный: от 0,10 до 0,74

Таблица 4.1

Коэффициент общности между фитоценозами Раифы.


3

4

6

7

8

9

3







4

0,58






6

0,26

0,42





7

0,30

0,41

0,71




8

0,19

0,67

0,74



9

0,13

0,13

0,46

0,48

0,63


10

0,10

0,22

0,50

0,57

0,54

0,39


На изученных площадках обнаружено 83 вида растений, в основном, преобладают бореальные и неморальные лесные виды, но доля бореальных видов растений выше:35,% против 31%


В липняках с вязом (пл. 3) преобладают неморальные виды (75%), присутствуют бореально-неморальные и сорные виды (18,8% и 6,3%). В ельниках с березой (пл 4 - искусственная посадка) так же преобладают неморальные виды (58%), можно встретить бореальные, неморально-бореальные и сорные виды (6,9%, 20,7%, 10,3%). В сосняках с елью (пл 6, 7, 8, 9,10) высокая численность бореальных, встречаются неморальные, бореально-неморальные, сорные, лесо-луговые виды, единично на площадке 7 можно встретить водно-луговую, на площадке 9 луговую и на площадке 10 культурную растительность.

4.2 Динамика численности Picea fennicа в различных сообществах

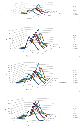
Далее нами изучалась динамика численности популяции Picea fennica (рис. 4.1).

2004 год

2009 год


2010 год


2013 год



Рис. 4.2. Динамика численности и возрастного спектра Picea fennica в исследованных фитоценозах


Увеличение численности подроста ели в 2009 г. было обусловленно выпадением старых деревьев во время урагана 2007 г. Однако засушливые летние периоды 2009 г. и особенно 2010 г. привели к гибели уже сформировавшихся к 2009 и 2010 г. имматурных особей, поэтому численность снизилась более чем на 100 деревьев.

За 6 лет наблюдений отмечаются частые и наиболее существенные флюктуации численности проростков, ювенильных и имматурных групп Picea fennica (возрастом до 4 лет) в сухих и светлых сосново-еловых сообществах (в бруснично-чернично-кислично-мшистом (пл. 8), чернично-брусничном (пл. 9), бруснично-вейниковом (пл. 10) и костянично-орляковом (пл. 11), что обусловлено частичным освобождением территории данных фитоценозов, вызванное выпадением из состава сообщества некоторых крупных деревьев - елей, сосен и берёз. По-видимому, это обусловлено рядом причин - низовым пожаром, отмеченным в 2004 году, суровой бесснежной зимой 2005-2006 года, и особенно ураганом в июне 2007 года. В 2010 г. резкое снижение численности ели отмечается на всех участках, что обусловлено жарким, засушливым летом и гибелью имматурных 4-5-летних особей.

4.2 Влияние климатических факторов на динамику численности и возрастной структуры Picea fennica

Ель, произрастая на естественной границе своего ареала, очень часто подвержена действию неблагоприятных факторов среды, в результате происходит усыхание еловых древостоев. Установлено несколько причин масштабного усыхания лесов. Это - старение деревьев, жаркие летние сезоны последнего десятилетия, сильные ветровалы и поражение лесных массивов короедом-типографом и усачом.

Мы сравнили климатические характеристики разных лет с данными численности различных онтогенетических групп Picea fennica. Связь климатических характеристик с численностью различных возрастных групп была оценена с помощью коэффициента корреляции Пирсона. Были использованы следующие климатические характеристики вегетационного периода текущего и предыдущего годов: средняя температура, влажность воздуха и количество выпавших осадков. Данные представлены в таблицах (4.2).

Таблица 4.2

Влияние климатических факторов на Picea fennica

Климатические факторы

Прегенеративные

Генеративные


Возраст

год

май-октябрь

ноябрь-апрель

год

май-октябрь

ноябрь-апрель

Осадки, мм

-0,48

-0,42

-0,23

-0,5

-0,5

-0,1

Относительная влажность, %

-0,20

-0,2

-0,08

-0,12

-0,12

0,02

Температура, °С

0,28

0,14

0,16

0,25

0,28

0,05


Связь климатических характеристик с численностью определялась для прегенеративных и генеративных групп, так как численность генеративных особей после засухи 2010 года изменилась.

Минимальные значения потребности в свете Picea fennica демонстрирует на начальных стадиях онтогенетического развития, что обусловлено её теневыносливостью, поэтому подрост ели практически не зависит от количества солнечных дней. Напротив отмечается прямая зависимость от количество осадков, что обусловлено её поверхностной корневой системой и необходимостью влаги для роста. Данные корреляции эффективны только при высокой численности и соответственно выборки, которая отмечается в формациях хвойно-широколиственных лесов только в Раифе.

В целом можно отметить, что даже за такой незначительный период времени (6 лет) в динамике численности деревьев отмечаются мелкомасштабные флуктуации, которые имеют цикличный характер особенно для прегенеративной группы. По Р. Уиттекеру (1980) флуктуации численности бывают - по длительности - кратковременные и длительные; по интенсивности и размаху: крупномасштабные и мелкомасштабные; по причинам - экзогенные и эндогенные.

Рис. 4.4. Динамика численности ели в Раифе и климатических факторов 2003-2013 гг.

В фитоценозах Раифы отмечаются только кратковременные мелкомасштабные флуктуации - изменения, при которых сохраняется тип возрастного спектра, уровень плотности, но может изменяться жизненное состояние элементов ЦП, интенсивность процессов самоподдержания. И, если первоначально доля прегенеративных групп Pinus silvestris и Picea fennica постепенно возрастала за счёт увеличения влажности с 2006 по 2008 год, то два подряд засушливых года (2009-2010 гг.) привели к очередному выпадению большей части прегенеративных особей ели и сосны и снижению численности. Однако, сохранились самые жизненно сильные имматурные и виргинильные особи, которые в дальнейшем сформируют и более устойчивые генератиные особи.

Численность Picea fennica возрасла незначительно на 5-6 особей, примерно на такое же число снизилась в 2010г.. Общая картина выпадения ели из состава сосново-широколиственных лесов лесопарка не изменилась, она возобновляется плохо. Резкие колебания плотности, жизненного состояния, фитомассы привели к изменению типа возрастного спектра (рис. 4.7). Эти колебания разнонаправлены и обратимы только в естественных ненарушенных ценозах и, по-видимому, необратимы в деградированных.

Как в Раифе, так и на Лебяжьем наблюдается увеличение численности сосны и ели к 2009 году и сокращение численности в 2010 году, особенно это сказалось на ювенильных и имматурных особях, часть их перешла в виргинильный возраст, а часть погибла в результате засухи 2010 года. Виргинильные особи сосны более устойчивы к внешним воздействиям, поэтому их количество сократилось не сильно.

4.3 Динамика возрастной структуры ценопопуляций Picea fennicа в различных фитоценозах

Для расшифровки собранного материала и полевых карт, где указывались только высота, диаметр ствола, форма и размер кроны, мы использовали существующие «Диагнозы и ключи» (1989) и систему интегральных показателей, по которым можно будет определять возрастное состояние дерева на карте (Фардеева, Исламова, 2007) и добавили показатели площадей потенциального питания (ППП) усреднённые для каждой возрастной группы. После чего составили таблицы, по которым можно определять возрастное состояние деревьев (табл. 4.4; 4.5) и приложение.

Таблица 4.4

Диагностические показатели возрастного состояния ели на основе морфометрических показателей

Возрастное состояние

Высота (м)

Диаметр ствола (см)

Средние Sппп (м2)

Диаметр кроны (м)

Календарный возраст (год)

Длительность возрастного состояния (год)



среднее


среднее





p

0,01-0,03

0,02

0,1-0,15

0,13

0

-

1-3

2-5

j

0,03-0,1

0,13

0,15-0,2

0,18

0

-

3-6

2-3

im

0,1-0,6

0,35

0,2-1

0,6

0,005

-

6-12

2-5

v

0,6-5

2,8

1-8

4,5

2,29

1,5-2

12-30

5-15

g1

5-15

10

8-30

19

4,64

2-3

30-80

20-30

g2

15-25

20

30-50

40

13,53

3-4

80-200

100-120

g3

15-25

20

50-100

75

32,79

4-5

200-300

100


Рассматривая возрастные спектры Picea fennicа можно отметить следующее: Picea fennica встречается в 8-ми исследованных фитоценозах (от липняков на южной опушке до елово-сосновых и сосновых формаций севернее). В 2004 году возрастная структура её неполночленная, ювенильные и имматурные особи отмечаются в небольшом количестве, поэтому возрастной спектр правосторонний с максимумом на виргинильные и молодые генеративные особи. Только в ельнике снытево-осоково-страусниковом (пл. 4), где отмечены 50-летние посадки Picea fennica, вид удерживает эдификаторные позиции в сообществе. В елово-сосновых лесах (пл. 6, 7, 8) ель является основным содоминантом сосны, которая возможно постепенно и вытеснит сосну. В 2009 году увеличение молодых прегенеративных особей отмечено в сосняках с елью (пл. 9, 10), из-за чего возрастной спектр становится центрированным. В сосняке вейниково-ландышевом (пл. 9) отмечено наибольшее увеличение проростков, ювенильных и имматурных особей, в 2010 г. гибель большинства j и im особей привела к правосторониим типу ВС с максимумом на v и g особях. Динамика возрастных спектров (рис. 4.7; 4.8).


Picea fennica

2004 год

2009 год


2010 год


2013 год


Рис. 4.7. Динамика возрастных спектров Picea fennica на профиле.

Picea fennica встречается на Лебяжьем только в 5-ти фитоценозах- длительно-производнных липняках (пл. 1-2), сложных сосняках (пл. 6-7), где возрастная структура её неполночленная, практически нет ювенильных, имматурных особей, поэтому возрастной спектр правосторонний с максимумом на виргинильных и молодых генеративных особях, в сосняке (пл. 9) встречается только подрост (im и v). В 2009 г. в сосняке с елью ландышево-черничном (самый влажный участок) появляются имматурные особи. Однако два засушливых лета сказались на прегенеративных особях, которые в 2010 - почти все отмирают (виргинильные в липняке и имматурные - в сосняке с елью).

На основе возрастной структуры, распределяя виды деревьев по ярусам можно составить общее представление о состоянии ценопопуляций и возможностях их самоподдержания в различных формациях хвойно-широколитсвенных лесов на территории разного природопользования. Используя экспресс-метод О. В. Смирновой (2002) и М.В. Бекмансурова (2004) мы составили сводные таблицы.

Разные онтогенетические группы в ЦП деревьев имеют определённые диапазоны высоты и входят в разные ярусы. При оценке состояния ЦП экспресс-методом используются следующие положения: 1) если особи данного вида присутствуют во всех ярусах, то ЦП способна относительно устойчиво существовать в данных условиях; 2) если особи данного вида отсутствуют в ярусе А, но присутствуют в ярусах В1, В2, С, то ЦП находится в процессе внедрения в данное сообщество; 3) если особи данного вида встречаются только в ярусе А, то возобновление его в данных условиях невозможно; 4) если особи исследуемой ЦП присутствуют только в ярусах А и С, то возобновление в принципе возможно, но оно неустойчиво; 5) чем меньше «пропусков» (табл. 4.6), тем устойчивее состояние ЦП вида в сообществе. Таким образом, если сопоставить участие видов деревьев в разных ярусах, можно получить представление о степени устойчивости и перспективах существования их ценопопуляций.

Таблица 4.6

Поярусное распределение возрастных групп деревьев в формациях хвойно-широколиственных лесов (2004 - 2010 гг.)


Виды

Ассоциации



Ельники с липой

Сосняки с елью

Сосняки сухие

Сосняки сложные

Липняки

Раифа

Pinus sylvestris

А1, А2, В2

А1, А2, В1, В2, С2


Picea fennica

А2, В1, В2, С1

А2, В1, В2, С1, С2

А2, В1, В2, С1

А1, В2, С1


Tilia cordata

А2, В1, В2, С1, С2

А2, В1, В2, С1, С2

B2, C1

-

А1, А2, В1, В2, C1, С2


Betula pendula

А2

А2, В1, В2, C1

А2, В1, С1, С2

А2, В1, В2


Quercus robur

В2, C1, С2

С1, С2

А1, А2, В1, В2, C1, С2


Picea fennica на заповедной территории встречается в сосново-елово- зеленомошных лесах и даже в сосняках вейниковых во всех ярусах, отсутствуя только в ярусе А1, ЦП нормальные и полночленые, здесь ель является основным содоминантом сосны. Позиция ели устойчива и перспективна в развитии, процессы самоподдержания не нарушены. При длительной рекреации (Лебяжье) ель одна из первых выпадает из формаций хвойно-широколиственных лесов, единично отмечаясь в длительно-производных липняках и влажных сосняках с елью и, по-видимому, исчезнет здесь.

В хвойно-широколиственных формациях долинно-террасовых комплексов рек Pinus sylvestris остается основным эдификатором даже в рекреационных условиях, проявляя себя как К-стратег, который контролирует и удерживает занятую территорию, т.к. энергия популяции затрачивается на конкуренцию и накопления биомассы, обусловленной в том числе и долголетием.

Таблица 4.7

Положение Pinus sylvestris и Picea fennicа среди сравниваемых видов по ранжированному общему баллу конкурентоспособности, толерантности и реактивности в формациях сосново-елово-широколиственных лесов Раифы

Конкурентоспособность

Толерантность

Реактивность

Pinus sylvestris

Tilia cordata

Tilia cordata

Picea fennica

Picea fennica

Betula pendula

Tilia cordata

Betula pendula

Acer platanoides

Quercus robur

Pinus sylvestris

Picea fennica

Betula pendula

Acer platanoides

Quercus robur

Acer platanoides

Ulmus glabra

Pinus sylvestris

Ulmus glabra

Quercus robur

Ulmus glabra


Напротив, Picea fennica проявляет себя, как К-стратег в зональных елово-широколиственных лесах на водораздельных участках, здесь же она является толерант-конкурентом только в ненарушенных елово-сосновых лесах заповедника. В деградированнгых сложных сосняках и длительно-производных липняках ель полностью потеряла конкурентную позицию, её вытеснили более толерантно-конкурентные виды, по сути r-стратеги, такие как липа и реактивные, такие как берёза и осина, которые основной расход энергии используют на вегетативное и семенное размножение.

Далее мы представляем соотношения численности и объема древесины разных видов деревьев, построенные на основе электронной базы с учётом возрастных групп либо с объема древесины (табл. 4.9).

Количественные и качественные (объем древесины) соотношения пород деревьев в различных фитоценозах на профиле.

Таблица 4.9

год

Кол-во особей, %

Ассоциация

% от V общ.

Липняк с вязом снытево-пролесниковый (пл. 3)

Ельник с березой снытево-страусниковый (пл.4)

Сосняк с елью и липой кислично-осоковый (пл.6)

Ельник с сосной чернично-кислично-мшистый (пл.7)

Сосняк с елью бруснично-чернично-кислично-мшистый (пл.8)

Сосняк вейниково-ландышево-лишайниковый (пл.9)

Сосняк бруснично-вейниковый (пл.10)

2009 год

Кол-во особей, %

Ассоциация

% от V общ.

Липняк с вязом снытево-пролесниковый (пл. 3)

Ельник с березой снытево-страусниковый (пл.4)

Сосняк с елью и липой кислично-осоковый (пл.6)

Ельник с сосной чернично-кислично-мшистый (пл.7)

Сосняк с елью бруснично-чернично-кислично-мшистый (пл.8)

Сосняк вейниково-ландышево-лишайниковый (пл.9)

Сосняк бруснично-вейниковый (пл.10)

Сосняк костянично-орляковый (пл.11)

2010 год

Кол-во особей, %

Ассоциация

% от V общ.

Липняк с вязом снытево-пролесниковый (пл. 3)

Ельник с березой снытево-страусниковый (пл.4)

Сосняк с елью и липой кислично-осоковый (пл.6)

Ельник с сосной чернично-кислично-мшистый (пл.7)

Сосняк с елью бруснично-чернично-кислично-мшистый (пл.8)

Сосняк вейниково-ландышево-лишайниковый (пл.9)

Сосняк бруснично-вейниковый (пл.10)

Сосняк костянично-орляковый (пл.11)

2013 год

Кол-во видов, %

Ассоциация

% от V общ.

Липняк с вязом снытево-пролесниковый (пл. 3)

Ельник с березой снытево-страусниковый (пл.4)

Сосняк с елью и липой кислично-осоковый (пл.6)

Ельник с сосной чернично-кислично-мшистый (пл.7)

Сосняк с елью бруснично-чернично-кислично-мшистый (пл.8)

Сосняк вейниково-ландышево-лишайниковый (пл.9)

Сосняк бруснично-вейниковый (пл.10)


Сосняк костянично-орляковый (пл.11)



Вывод: Анализируя соотношения численности древесных видов и их площадей потенциального питания, отмечается следующее:

. Площади потенциального питания всегда больше у генеративных особей (g1, g2, g3), даже при неполночленной возрастной структуре и не очень высокой численности вид по биомассе занимает доминирующее положение в фитоценозе. Именно такая структура характерна для сосны обыкновенной, что в целом характерно для фитоценозов, расположенных на сухих и песчаных почвах.

. Даже высокая численность и почти полночленная структура ели и липы не даёт возможности этим видам занимать ведущее положение в сосново-еловых фитоценозах заповедника, они по-прежнему содоминанты из-за отсутствия зрелых и старых генеративных особей.

. С точки зрения стратегии сосна здесь представлена виалентом и К-стратегом, липа - конкурент-толерантом с выраженной r-стратегией, которая отражается в высокой семенной продуктивности и вегетативном размножении, ель только в ненарушенных фитоценозах остается виалентом, но содоминантом, уступающем по биомассе сосне, т.е. толерант-конкурентом, в деградированных сообществах полностью теряет свои конкурентные позиции.

Выводы

. В ненарушенных елово-сосново-широколиственных фитоценозах Раифы за 6 лет отмечаются только кратковременные мелкомасштабные флуктуации в виде колебаний численности прегенеративных, при таких изменениях сохраняется тип возрастного спектра как у P. sylvestris, так и P. fennica. Структура сосны неполночленная, преобладают генеративные особи. Более динамична численность P. fennica в елово-широколиственных и сосново-еловых фитоценозах, где отмечался интенсивный прирост до 160 особей, однако 40% его погибает в 2010 г.

2. В рекреационной зоне увеличение численности на 300 прегенеративных особей P. silvestris отмечается только в сухих сосняках, численность P. fennica увеличивается незначительно на 5-6 особей, примерно на такое же число и снижается в 2010 г. Общая картина выпадения ели из состава сосново-широколиственных лесов лесопарка не изменилась, она возобновляется плохо и положение её неустойчиво.

3. Т. к. площади потенциального питания (ППП), как и биомасса больше у генеративных особей (g1, g2, g3), даже при неполночленной возрастной структуре и не очень высокой численности вид занимает доминирующее положение в фитоценозе, что в целом характерно для P. silvestris в формациях хвойно-широколиственных лесов долинно-террасовых комплексов рек.

4. С точки зрения стратегии P. silvestris в данных сообществах представлена виалентом и К-стратегом, липа - конкурент-толерантом с выраженной r-стратегией, которая отражается в высокой семенной продуктивности и вегетативном размножении, P. fennica только в ненарушенных фитоценозах остаётся виалентом, но содоминантом, уступающем по биомассе сосне, т.е. толерант-конкурентом, в деградированных сообществах полностью теряет свои конкурентные позиции.

6. Ель и липа часто формируют смешанные скопления прегенеративных групп. В 50% случаев подобные разновозрастные и разновидовые скопления между елью и липой формируются в условиях более сухих почв, в условиях влажных участков распределение случайное. Сосна формируют скопления только с j и im особями липы.

Список литературы

1. Бакин О. В. Сосудистые растения Татарстана / О. В. Бакин, Т. В. Рогова, А. П. Ситников. − Казань: Изд-во Казан. ун-та, 2000. − 495 с.

. Бекмансуров М. В. Биологическое разнообразие лесного покрова национального парка «Марий Чодра»: автореф. дисс. на соис. уч.ст. к.б.н. / М. В. Бекмансуров; Сыктывкар, 2004 - 22 с.

3. Былова А. М. Биологические особенности, возрастная и пространственная структура ценопопуляций земляники зеленой и щавеля густого / А. М. Былова, Н. М. Григорьева. - М.: Изд-во Наука, 1987. - 165 с.

. Василевич В. И. Статистичекие методы в геоботанике / В. И. Василевич. - Л.: Изд-во Наука, 1969. - 232 с.

5. Воронцова Л. И. Механизмы адаптации ценопопуляции растений в условиях хозяйственного использования / Л. И. Воронцова, Л. Б. Заугольнова // Тезисы докл. 4 делег. Съезда ВБО - Л.: Наука, 1978. − С. 9-10.

6. Грабарник П. Я. Пространственная статистика в экологии: концепции, модели, методы / П. Я. Грабарник // Принципы и способы сохранения биоразнообразия, Материалы 3-ей Всероссийской научной конференции / Йошкар-Ола, Пущино 2008, − C. 467.

. Григорьева Н. М. Возрастная и пространственная структура ценопопуляций желтой люцерны: автореферат. дис. … канд. биол. наук / Н. М. Григорьева; МГПИ им. Ленина. - М., 1975. - 24 с.

. Григорьева Н. М. Особенности пространственной структуры ценопопуляций некоторых видов растений / Н. М. Григорьева, Л. Б. Заугольнова, О. В. Смирнова // Ценопопуляции растений (развитие и взаимоотношения). − М: Изд-во Наука, 1977. − С. 20-36.

. Демьянов В. А. Метод изучения фитогенного поля древесных пород / В. А. Демьянов // Ботан. журн. − 1978. − Т. 63.; № 9. − С. 1302-1308.

. Диагнозы и ключи древесных растений (Методические разработки для студентов биологических специальностей) − М.: МГПИ, 1989. - 79 с.

. Жукова Л. А. , Акшенцев Е. В. , Шивцова И. В. , Головенкина И. А. Пространственная структура растений разных жизненных форм / Л. А. Жукова, Е. В. Акшенцев, И. В. Шивцова, И. А. Головенкина // Принципы и способы сохранения биоразнообразия, Материалы 2-ой Всероссийской научной конференции − Йошкар-Ола, 2006. − С. 248-249.

. Заугольнова Л. Б. Неоднородность строения ценопопуляций во времени и пространстве / Л. Б. Заугольнова // Ботан. журн. − 1976. − Т. 61.; № 2. − С. 187-196.

. Заугольнова Л. Б. Структура популяций семенных растений и проблемы их мониторинга: автореферат. дис. д-ра биол. наук / Л. Б. Заугольнова. − С. Петербург, 1994. - 70 с.

. Злобин Ю. А. Исследования механизмов, определяющих межвидовые ассоциированности и фитоценотическую структуру растительного покрова / Ю. А. Злобин // Ботан. журн. − 1976. − Т. 61.; № 4. − С. 466-479.

. Ипатов В. С. Фитоценология / В. С. Ипатов, Л. А. Кирикова. − СПб.: Изд-во Санкт-Петербургского университета, 1997. − 316 с.

. Кожевникова Н. Д. Биология и экология тяньшаньской ели / Н. Д. Кожевникова. − М.: МГУ, 1982. − 240 с.

. Комаров А. С. Стационарные и динамические модели биоразнообразия напочвенного покрова лесных экосистем / А. С. Комаров // Принципы и способы сохранения биоразнообразия, Материалы 2-ой Всероссийской научной конференции / Йошкар-Ола, 2006. − C. 11-13.

. Любарский Е. Л. Ценопопуляция и фитоценоз / Е. Л. Любарский. - Казань: Изд-во Казан. ун-та, 1976. - 155 с.

. Мазинг В. В. Об изучении мозаичности и комплексности растительного покрова // Изв. АН СССР. Сер. геобот. - 1965. - № 1. - С. 98-111.

. Маслов А. А. Горизонтальная структура ценопопуляций лесных растений и неоднородность среды сообществ / А. А. Маслов // Экология популяций: тез. докл. Всесоюзн. совещ. - М. , 1988. - Ч. 1 − С. 246-249.

. Миркин Б. М. О типах эколого-ценотических стратегий у растений / Б. М. Миркин // Общая биология. − 1983. − Т.44; №5. - С. 603-611.

. Миркин Б. М. Теоретические основы современной фитоценологии / Б. М. Миркин - М.: Наука, 1985 - 136 с.

23. Работнов Т. А. Вопросы изучения состава популяций для целей фитоценологии / Т. А. Работнов // Проблемы ботаники - М., Л.:Изд-во АНСССР, 1950б. − вып. 1 - С. 465-483.

. Работнов Т. А. Некоторые вопросы изучения ценотических популяций.// Бюл. МОИП, отд. биолог. - 1969 - т.74 - №1 - С. 141-149.

. Работнов Т. А. Фитоценология / Т. А. Работнов. − 3-е изд. - М.: Изд-во Моск. ун-та, 1992.

26. Жукова Л. А. Популяционная экология растений / Л. А. Жукова, О. П. Ведерникова, О. В. Смирнова, Н. А. Торопова, О. И. Евстигнеев. - Йошкар-Ола, 1994. - 86 с.

. Серебряков И. Г. Экологическая морфология растений / И. Г. Серебряков - М.: Высшая школа, 1962. - 377 с.

28. Смирнова О. В. Структура травяного покрова широколиственных лесов / О. В. Смирнов - М.: Наука, 1987. - 205 с.

29. Смирнова О. В. Популяционная организация растительного покрова лесных территорий (на примере широколиственных лесов европейской части СССР) / О. В. Смирнова, А. А. Чистякова и др. - Пущено. : Изд-во АН СССР, 1990. - 88 с.

. Титов Ю. В. Пространственное размещение растений в ценопопуляциях некоторых видов / Ю. В. Титов, С. Н. Шереметьев // Бюл. Московск. о-ва испытателей природы. - 1984. - С. 40-50.

. Уранов А. А. Фитогенное поле / А. А. Уранов // Проблемы современной ботаники. − 1965. - Т. 1. − С. 251-254.

. Уранов А. А. Вопросы изучения структуры фитоценозов и видовых ценопопуляций. / А. А. Уранов // Ценопопуляции растений. - М.: Изд-во Наука, 1977. - С. 8-20.

. Фаликов Л. Д. Модель размещения и сопряженности древесных пород в фитоценозе дубравы / Л. Д. Фаликов // Биота основных геосистем центральной лесостепи. - М.: Изд-во АН СССР, 1976. - С. 109-122.

. Фардеева М. Б. Динамика пространственно-возрастной структуры клубнеобразующих орхидей / М. Б. Фардеева, Н. А. Чижикова, О. В. Корчебокова // Вестник Тверского ГУ. -2007. − №8 (36). - С. 172-176.

. Ценопопуляции растений (основные понятия и структура). - М.: Изд-во Наука, 1976. - 214 с.

. Ценопопуляции растений (развитие и взаимоотношения). - М.: Изд-во Наука, 1977. - 130 с.

. Ценопопуляции растений (очерки популяционной биологии). - М.: Изд-во Наука, 1988. - 181 с.

. Чистякова А. А. Поливариантность онтогенеза и типы поведения деревьев широколиственных лесов / А. А. Чистякова // Популяционная экология растений. − М.: Наука, 1987. - С. 39-43.

. Baddeley A. SPATSTAT: Spatial Point Pattern analysis, model-fitting and simulation. / A. Baddeley, R. Turner, M. C. van Lieshout и др. // R package version 1. 8-3. − 2005. URL http://www. spatstat. org.

. Пианки Э. Эволюционная экология / Э. Пианки. − М.: Мир, 1981. − 399 с.

41. Константинов А. В. Воздействие пирогенного фактора на динамику растительности экосистемы полесий: автореф. дис. д-ра биол. наук / А. В. Константинов; ин-т леса им. В. Н. Сукачёва СО РАН. − Красноярск., 2010. − 23 с.

42. Кукарских В. В. Влияние климатических факторов на радиальный прирост сосны обыкновенной (Pinus silvestris L.) в лесостепной и степной зонах Южного Урала: автореф. дис. д-ра биол. наук / В. В. Кукарских; ин-т леса им. В. Н. Сукачёва СО РАН. − Екатеринбург, 2009. − 21 с.

. Wiegand. Analyzing the spatial structure of a Shi Lankan tree species with multiple scales of clustering / Wiegand // Ecology − by the Ecological Society of America, 2007. − №88(12). − pp. 3088-3102.

. Глотов Н. В. Биометрия / Н. В. Глотов, Л. А. Животовский, Н. В. Хованов, Н. Н. Хромов-Борисов. − Л.: Изд-во ЛГУ, 1982. − 264 с.

Приложение 1

 

Геоботанические описания

Раифа

Площадка №1 (кв. 80)

Липняк с дубом осоково-пролесниковый.

Освещённость: 30-40%

Проективное покрытие: 85%

Формула древостоя: 4Л+3Д+1В+1Б.

Древостой: Липа сердцевидная , вяз шершавый, берёза повислая , дуб черешчатый

Подрост: Липа сердцевидная, вяз шершавый, клён остролистный, черёмуха обыкновенная

Подлесок: Рябина обыкновенная, черёмуха обыкновенная, малина обыкновенная, бересклет бородавчатый

Травостой: Пролесник многолетний-дом. Сныть обыкновенная-содом.

Щитовник мужской               Борец высокий

Фиалка удивительная                     Медуница неясная

Володушка золотистая                  Таволга вязолистная

Гравилат городской                       Звездчатка жестколистная

Адокса мускусная                          Крапива двудомная

Копытень европейский                   Лютик кашубский

Щитовник ленцетогребенчатый     Осока волосистая содом

Колокольчик крапиволистный      Яснотка крапчатая

Купена многоцветковая                 Чистец лесной

Будра плющевидная                      Купырь лесной

Хохлатка луковичная Мятлик дубравный

Ветренечка лютичная Пустырник пятилопостной

Раифа

Площадка №2 (кв. 80)

Липняк с берёзой и дубом снытево-пролесниковый.

Освещённость: 35%

Проективное покрытие: 90%

Формула древостоя: 5Л+4Б+1Д.

Древостой: Липа сердцевидная, берёза повислая, дуб черешчатый

Подрост: Липа сердцевидная, вяз шершавый, клён остролистный, берёза повислая

Подлесок: Бересклет бородавчатый, рябина обыкновенная, черёмуха обыкновенная

Травостой: Пролесник многолетний-дом. Сныть обыкновенная-содом.

Щитовник мужской                        Борец высокий

Фиалка удивительная                     Медуница неясная

Овсяница гигантская                      Звездчатка дубравная

Гравилат городской                       Звездчатка жестколистная

Адокса мускусная                          Крапива двудомная

Копытень европейский содом        Лютик кашубский

Страусник обыкновенный             Осока волосистая

Колокольчик крапиволистный      Будра плющевидная

Купена лекарственная          Купырь лесной

Вороний глаз четырёхлопастной  Хохлатка луковичная

Ветренечка лютичная Мятлик дубравный

Раифа

Площадка №3 (кв. 67)

Липняк с вязом снытево-пролесниковый

Освещённость: 20%

Проективное покрытие: 95%

Формула древостоя: 5Л+3В+1Д+1Е.

Древостой: Липа сердцевидная, вяз шершавый, ель финская, дуб черешчатый

Подрост: Клён остролистный дом., липа сердцевидная, вяз шершавый, черёмуха обыкновенная, ель финская; Подлесок: Рябина обыкновенная, черёмуха обыкновенная, бересклет бородавчатый

Травостой: Пролесник многолетний-дом. Сныть обыкновенная - дом.

Щитовник мужской                        Борец высокий

Фиалка удивительная                     Медуница неясная

Будра плющевидная                      Осока волосистая

Плерозием Шребера                      Звездчатка жестколистная

Адокса мускусная                          Крапива двудомная

Копытень европейский                   Купырь лесной

Щитовник ланцетогребенчатый    Бор развесистый

Полевица тонкая                            Хохлатка луковичная

Раифа

Площадка №4 (кв. 67/66)

Посадка ели (возрастом 50-лет)

Освещённость: 10%

Проективное покрытие: 75%

Формула древостоя: 9Е+1Б.

Древостой: Ель финская, берёза обыкновенная

Подрост: Клён остролистный, липа сердцевидная, черёмуха обыкновенная, ель финская

Подлесок: Рябина обыкновенная, черёмуха обыкновенная, бересклет бородавчатый

Травостой: Пролесник многолетний-дом. Сныть обыкновенная - дом.

Щитовник мужской                        Борец высокий

Фиалка удивительная                     Медуница неясная

Будра плющевидная                      Осока волосистая

Страусник обыкновенный             Звездчатка жестколистная

Ясменник пахучий                          Крапива двудомная

Раифа

Площадка №5 (кв. 66)

Ельник с липой снытево-страусниковый

Освещённость: 35%

Проективное покрытие: 70%

Формула древостоя: 5Е+5Л+Б.

Древостой: Липа сердцевидная, ель финская, берёза обыкновенная

Подрост: Липа сердцевидная, вяз гладкий, клён остролистный дом, черёмуха обыкновенная, ильм шершавый;

Подлесок: Рябина обыкновенная, черёмуха обыкновенная

Травостой: Пролесник многолетний-дом. Сныть обыкновенная - дом.

Щитовник мужской                        Борец высокий

Фиалка удивительная                     Медуница неясная

Страусник обыкновенный-сод       . Осока волосистая

Плерозием Шребера                      Звездчатка жестколистная

Ясменник пахучий                          Крапива двудомная

Копытень европейский                   Хвощ полевой содом

Щитовник ланцетогребенчатый    Бор развесистый

Будра плющевидная                      Звездчатка дубравная

Фиалка песчаная                            Пустырник пятилопастной

Раифа

Площадка №6 (переходная) (кв. 53)

Сосняк с елью и липой кислично-осоковый.

Освещённость: 75%

Проективное покрытие: 65%

Формула древостоя: 4С+4Е+2Л+Д+В.

Древостой: Сосна обыкновенная, вяз шершавый, липа сердцевидная, ель финская

Подрост: Ель финская, вяз гладкий, липа сердцевидная, клён остролистный, черёмуха обыкновенная, Подлесок: Рябина обыкновенная, волчеягодник бересклет бородавчатый, малина лесная

Травостой: Кислица обыкновенная-дом.                 Осока волосистая - дом.

Орляк обыкновенный - содом.      Черника

Брусника                               Ландыш майский

Щитовник мужской                        Щитовник ланцетогребенчатый

Земляника лесная                           Медуница неясная

Купена многоцветковая                 Ортилия однобокая

Фиалка удивительная                     Грушанка круглолистная

Телиптерис буковый                      Фиалка песчаная

Костяника                              Осока корневищная

Осока верещатниковая                   Седмичник европейский

Майник двулистный                      Чистотел большой

Ясменник пахучий                          Крапива двудомная

Линнея северная          Купырь лесной

Раифа

Площадка № 7 (кв. 52)

Ельник с сосной чернично-кислично-мшистый.

Освещённость: 75%

Проективное покрытие: 95%

Формула древостоя: 5Е+4С+1Б+1Л.

Древостой: Сосна обыкновенная, берёза обыкновенная, ель финская

Подрост: Ель финская, вяз гладкий, липа сердцевидная, берёза обыкновенная, дуб черешчатый, клён остролистный, рябина обыкновенная; Подлесок: Рябина обыкновенная, бересклет бородавчатый, малина лесная

Травостой: Кислица обыкновенная - дом.      Осока волосистая

Орляк обыкновенный                     Черника - дом.

Брусника - содом.                           Вейник лесной

Вербейник монетчатый                  Грушанка круглолистная

Ортилия однобокая                        Щитовник мужской

Седмичник европейский                Фиалка удивительная

Майник двулистный                       Ландыш майский

Щитовник ланцетогребенчатый    Купена лекарственная

Костяника                              Земляника лесная

Плерозиум Шребера-дом.             Дикранум-дом.

Гилокониум                                    Сныть обыкновенная

Чистотел большой                          Овсянница гигантская

Звездчатка жестколистная             Подмаренник мягкий

Мятлик узколистный                      Яснотка крапчатая

Крапива двудомная                       Ясменник пахучий

Копытень европейский                   Линнея северная

Фиалка песчаная                            Осока корневищная

Раифа

Площадка №8 (кв. 52)

Сосняк с елью бруснично-чернично-кислично-мшистый.

Освещённость: 95%

Проективное покрытие: 75%

Формула древостоя: 7С+3Е.

Древостой: Сосна обыкновенная, ель финская

Подрост: Ель финская, вяз гладкий, липа сердцевидная, берёза повислая, дуб черешчатый, клён остролистный, рябина обыкновенная; Подлесок: Рябина обыкновенная, бузина красная, малина лесная, волчеягодник обыкновенный, можжевельник обыкновенный

Травостой: Кислица обыкновенная - дом.      Осока волосистая

Орляк обыкновенный                     Черника - дом.

Брусника - содом.                           Вейник лесной

Линнея севенрная                  Грушанка средняя

Ортилия однобокая                        Щитовник мужской

Седмичник европейский                Марьянник

Майник двулистный                       Ландыш майский

Щитовник ланцетогребенчатый    Купена лекарственная

Костяника                              Земляника лесная

Плеурозиум Шребера-дом.           Дикранум-дом.

Гилокониум                                    Сныть обыкновенная

Чистотел большой                          Бодяк полевой

Звездчатка средняя                        Подмаренник цепкий

Крапива двудомная                       Ясменник пахучий

Золотарник обыкновенный  Полевица тонкая

Фиалка песчаная                            Осока верещатниковая

Голокучник Линнея                        Зимолюбка зонтичная

Плаун сплюснутый                         Осока корневищная

Раифа

Площадка №9 (кв. 43)

Сосняк вейниково-ландышево-лишайниковый.

Освещённость: 90%

Проективное покрытие: 70%

Формула древостоя: 10С.

Древостой: Сосна обыкновенная

Подрост: сосна обыкновенная, ель финская;

Подлесок: Малина обыкновенная

Травостой: Вейник лесной - дом.                    Ландыш майский - дом.

Плерозиум Шребера                      Дикранум

Гилокониум                                    Кладония - дом.

Кислица обыкновенная                 Осока корнеищная

Смолёвка - хлопушка                     Черника

Брусника - дом.                              Марьянник луговой

Линея северная             Грушанка средняя

Ортилия однобокая                        Толокнянка обыкновенная           

Золотарник обыкновенный Осока верещатниковая

Щитовник ланцетогребенчатый    Купена лекарственная

Костяника                              Земляника лесная

Звездчатка средняя                        Зимолюбка зонтичная

Крапива двудомная                       Майник двулистный

Фиалка песчаная                            Плаун сплюснутый - содом.

Раифа

Площадка №10 (кв. 42)

Сосняк бруснично-вейниковый.

Освещенность: 95%

Проективное покрытие: 70%

Формула древостоя: 10С+ Б.

Древостой: Сосна обыкновенная, берёза обыкновенная

Подрост: Ель финская, липа сердцевидная, рябина обыкновенная, дуб черешчатый;

Подлесок: ракитник русский, можжевельник обыкновенный, малина обыкновенная, бересклет бородавчатый, бузина

Травостой: Брусника - дом.          Черника - содом.

Чистотел большой                          Щитовник мужской

Кислица обыкновенная - содом.    Вейник лесной - содом.

Земляника лесная                           Дикранум, политрихум

Гилакомиум                                    Ортилия однобокая

Ландыш майский                                     Осока корневищная

Осока раняя                                    Ожика волосистая

Раифа

Площадка №11 (кв. 42/41)

Сосняк костянично-орляковый.

Освещенность: 85%

Проективное покрытие: 70%

Формула древостоя: 70С+2Б+1Е.

Древостой: Сосна обыкновенная, берёза обыкновенная, ель финская

Подрост: Ель финская, липа сердцевидная, рябина обыкновенная, дуб черешчатый

Подлесок: можжевельник обыкновенный, малина обыкновенная бузина, крушина ломкая,

Травостой: Папортник орляк - дом.               Костяника - содом.

Кислица обыкновенная - содом.    Черника - содом .

Земляника лесная                           Осока корневищная

Майник двулистный                       Грушанка средняя

Ландыш майский                            Седмичник европейский

Фиалка холмовая Осока ранняя

Фиалка собачья Ожика волосистая

Фиалка удивительная Любка двулистная

Будра плющевидная Вероника дубравная

Хвощ лесной

Лебяжье

Площадка №1 (кв. 17)

Липняк с берёзой осоково-снытевый.

Освещённость: 60%

Проективное покрытие: 95%

Формула древостоя: 4Л 6Б.

Древостой: Липа сердцевидная, берёза обыкновенная

Подрост: Берёза обыкновенная, липа сердцевидная, осина

Подлесок: Рябина обыкновенная, бересклет бородавчатый, черёмуха обыкновенная,

Травостой: Осока волосистая - дом.      Сныть обыкновенная - содом.

Копытень европейский - содом.    Пролесник многолетний

Ландыш майский                            Медуница неясная

Сочевичник весенний                     Звездчатка жестколистная

Фиалка холмовая                           Буквица приувеличенная

Вероника дубравная                      Горошек заборный

Колокольчик персиколистный      Колокольчик крапиволистный

Вейник лесной                                Мятлик дубравный

Ежа сборная                                   Гравилат городской

Пахучка     обыкновенная              Клевер луговой

Клевер луговой                     Репешок обыкновенный

Лютик кашубский                           Земляника лесная

Осока корневищная              Овсяница гигантская

Перловник поникший                    Золотарник обыкновенный

Чистотел большой                          Герань лесная

Будра плющевидная                      Адокса мускусная

Фиалка удивительная

Лебяжье

Площадка №2 (кв. 21)

На месте елово-широколиственного леса.

Липняк с елью и берёзой осоково-снытевый.

Освещённость: 60%

Проективное покрытие: 80%

Формула древостоя: 6Л+3Б+1Е.

Древостой: Липа сердцевидная, берёза обыкновенная, ель финская

Подрост: Ель финская, липа сердцевидная, клён остролистный, ильм шершавый         , Подлесок: Рябина обыкновенная, бересклет бородавчатый, жимолость лесная, калина обыкновенная

Травостой: Осока волосистая - дом.               Сныть обыкновенная - дом.

Копытень европейский - содом.    Кочедыжник женский

Голокучник Линнея                        Тилептерис буковый

Звездчатка жестколитсная             Осока корневищная

Бор развесистый                   Сочевичник весенний

Дудник обыкновенный                   Медуница неясная

Овсяница гигантская                      Щитовник ланцетогребенчатый

Хвощ луговой                                Хвощ лесной

Костяника                              Мятлик дубравный

Кислица обыкновенная                  Вероника дубравная

Вероника лекарственная                Ландыш майский

Гравилат речной                            Вейник лесной

Майник двулистный                       Горошек лесной

Фиалка удивительная                     Воронец колосистый

Звездчатка средняя                        Иван чай узколистный

Дикранум                              Политрихум

Бодяк полевой                                Мать и мачеха

Черноголовка обыкновенная         Горошек заборный

Грушанка круголистная, грушанка средняя, ортилия однобокая

Лебяжье

Площадка №4 (кв. 31)

Сосняк с берёзой и липой осоково-снытевый

Освещённость: 40%

Проективное покрытие: 80%

Формула древостоя: 6С+4Б+Л.

Древостой: Липа сердцевидная, берёза обыкновенная, сосна обыкновенная

Подрост: Липа сердцевидная, осина - ед., дуб черешчатый

Подлесок: Рябина обыкновенная, бересклет бородавчатый, жимолость лесная, малина лесная

Травостой: Осока волосистая - дом.               Сныть обыкновенная - дом.

Копытень европейский                  Звездчатка жестколистная

Осока корневищная                       Ландыш майский

Купена лекарственная          Будра плющевидная

Костяника                              Сочевичник весенний

Фиалка удивительная                     Фиалка холмовая

Земляника лесная                           Вейник лесной

Звездчатка злаковидная                 Гравилат речной

Бор раскидистый                            Дремлик широколитсный

Ежа сборная                                   Горошек заборный

Овсяница гигантская                      Подмаренник мягкий

Пикульник                                      Герань лесная

Буквица лекарственная                  Бодяк разнолистный

Клевер средний                     Горошек лесной

Коротконожка перистая                Василёк фригийский

Лебяжье

Площадка №6 (переходная) (кв. 83)

Сосняк с березой вейниково-костяничный

Освещённость: 60%

Проективное покрытие: 80%

Формула древостоя: 5С+5Б.

Древостой: Сосна обыкновенная, берёза обыкновенная

Подрост: Берёза обыкновенная, липа сердцевидная, дуб черешчатый, клён остролистный

Подлесок: Можжевельник обыкновенный - ед., рябина обыкновенная, бересклет бородавчатый, ракитник русский, калина обыкновенная - ед.

Травостой: Костяника - дом.                  Вейник лесной - дом.

Осока волосистая - содом.             Сныть обыкновенная - содом.

Коротконожка перистая                Вороний глаз четырехлистный

Ландыш майский                            Подмаренник северный

Перловник поникший                    Черника

Брусника                               Фиалка удивительная

Ежа сборная                                   Гравилат городской

Фиалка собачья                     Короставник полевой

Вероника дубравная                      Сочевичник весенний

Ортилия однобокая                        Горошек мышиный

Лебяжье

Площадка №7 (кв. 82)

(На месте сосново-елового чернично-мшистого леса).

Сосняк с елью и березой чернично-ландышево-мшистый.

Освещённость: 50%

Проективное покрытие: 60%

Формула древостоя: 5С+3Е+2Б.

Древостой: Сосна обыкновенная, ель финская, берёза обыкновенная - ед.

Подрост: Ель финская, берёза обыкновенная, липа сердцевидная - ед., сосна обыкновенная

Подлесок: Крушина ломкая, ива, осина, рябина обыкновенная, малина лесная, бузина красная

Травостой: Черника - дом.                              Ландыш майский - дом.

Костяника - дом.                   Осока волосистая - содом.

Майник двулистный                       Марьянник луговой

Золотарник обыкновенный  Земляника лесная

Полевица тонкая                   Гравилат городской

Грушанка круглолистная     Ортилия однобокая

Пахучка обыкновенная                  Душистый колосок обыкновенный

Вероника дубравная             Буквица лекарственная

Ежа сборная                          Репешок обыкновенный

Яснотка крапчатая                Вероника лекарственная

Звездчатка средняя               Чистотел большой

Щучка дернистая                  Хвощ полевой

Дикранум                     Политрихум

Седмичник европейский - ед.         Сфагнум

Молиния голубая                  Ожика волосистая

Щитовник ланцетогребенчатый.

Лебяжье

Площадка №9 (кв. 93)

На месте сосняка чернично-зеленомошно-брусничного леса.

Сосняк вейнико-ландышевый с черникой.

Освещённость: 70%

Проективное покрытие: 60%

Формула древостоя: 10С.

Древостой: Сосна обыкновенная

Подрост: Сосна обыкновенная, берёза обыкновенная, дуб черешчатый - ед.

Подлесок: рябина обыкновенная, ракитник русский, дрок красильный, малина лесная

Травостой: Черника - содом.                           Ландыш майский - дом.

Костяника - содом.                         Вейник наземный - дом.

Плеурозиум                                   Дикранум

Брусника содом                    Ортилия однобокая

Осока пальчатая                   Ожика волосистая

Василёк сумский                   Мятлик узколистный

Кошачья лапка двудомная            Фиалка песчаная

Перловник поникший                    Купена лекарственная

Земляника лесная                           Смолёвка поникшая

Золотарник обыкновенный            Прострел раскрытый

Марьянник луговой                       Вероника колосистая

Мятлик дубравный                        Дрок красильный

Ракитник русский                           Щавель малый

Подмаренник мягкий                     Ястребинка луговая (дернистая)

Ястребинка волосистая                  Осока корневищная

Лебяжье

Площадка №10 (кв. 103)

На месте сосняка бруснично-лишайникового.

Сосняк бруснично-вейниково-лишайниковый.

Освещенность: 90%

Проективное покрытие: 60%

Формула древостоя: 10С.

Древостой: Сосна обыкновенная

Подрост: Сосна обыкновенная, берёза обыкновенная - ед., осина - ед.

Подлесок: Ракитник русский, дрок красильный, можжевельник обыкновенный

Травостой: Брусника - дом.

Черника - содом.                            Ландыш майский - содом.

Вейник наземный - дом.                 Купена лекарственная

Кошачья лапка двудомная            Толокнянка обыкновенная

Зимолюбка обыкновенная             Вероника дубравная

Ястребинка зонтичная          Ястребинка луговая

Ястребинка волосистая                  Прозанник крапчатый

Золотарник обыкновенный            Ортилия однобокая

Полевица тонкая                            Фиалка песчаная

Прострел раскрытый                     Дикранум

Кладония                              Осока пальчатая

Приложение 2

 

Динамика численности ЦП деревьев по породам на профиле и площади деревьев по возрастам на профиле за 2004 и 2009 гг. были приведены в Курсовой работе Шакировой Диляры, 4-ый курс.

Таблица 3 Динамика численности ЦП деревьев по породам на профиле

Раифа (2010 год)

Площадка 1

p

j

im

v

g1

g2

g3


Шт.

%

Шт.

%

Шт.

%

Шт.

%

Шт.

%

Шт.

%

Шт.

%

Сосна

0

0

0

0

0

0

0

0

0

0

0

0

0

0

Ель

0

0

0

0

0

0

0

0

0

0

0

0

0

0

Липа

0

0

0

0

0

0

35

32,1

18

16,5

53

48,6

3

2,8

Берёза

0

0

0

0

0

0

0

0

3

50,0

3

50,0

0

0

Дуб

0

0

13

54,2

0

0

0

0

1

4,2

1

4,2

9

37,5

Площадка 2

p

j

im

v

g1

g2

g3


Шт.

%

Шт.

%

Шт.

%

Шт.

%

Шт.

%

Шт.

%

Шт.

%

Сосна

0

0

0

0

0

0

0

0

0

0

0

0

0

0

Ель

0

0

0

0

0

0

0

0

0

0

0

0

0

0

Липа

0

0

0

0

1

1,0

36

36,0

22

22,0

25

25,0

16

16,0

Берёза

0

0

0

0

0

0

3

4,8

43

69,4

16

25,8

0

0

Дуб

0

0

0

0

0

0

0

0

0

0

2

100

0

0

Площадка 3

p

j

im

v

g1

g2

g3


Шт.

%

Шт.

%

Шт.

%

Шт.

%

Шт.

%

Шт.

%

Шт.

%

Сосна

0

0

0

0

0

0

0

0

0

0

0

0

0

0

Ель

0

0

0

0

0

0

1

33,3

1

33,3

0

0

1

33,3

Липа

0

0

0

0

0

0

12,5

14

29,2

22

45,8

6

12,5

Берёза

0

0

0

0

0

0

0

0

2

33,3

3

50,0

1

16,7

Дуб

0

0

0

0

0

0

0

0

1

50,0

1

50,0

0

0

Площадка 4

p

j

im

v

g1

g2

g3


Шт.

%

Шт.

%

Шт.

%

Шт.

%

Шт.

%

Шт.

%

Шт.

%

Сосна

0

0

0

0

0

0

0

0

0

0

0

0

0

0

Ель

0

0

0

0

0

0

3

10,7

19

67,9

6

21,4

0

0

Липа

0

0

0

0

0

0

0

0

0

0

0

0

0

0

Берёза

0

0

0

0

0

0

0

0

1

50,0

1

50,0

0

0

Дуб

0

0

0

0

0

0

0

0

0

0

0

0

0

0

Площадка 6

p

j

im

v

g1

g2

g3


Шт.

%

Шт.

%

Шт.

%

Шт.

%

Шт.

%

Шт.

%

Шт.

%

Сосна

0

0

0

0

0

0

0

0

0

0

20

100

0

0

Ель

0

0

0

0

5

6,5

17

22,1

46

59,7

9

11,7

0

0

Липа

0

0

0

0

25

17,5

91

63,6

24

16,8

3

2,1

0

0

Берёза

0

0

0

0

0

0

0

0

10

100,0

0

0

0

0

Дуб

0

0

1

16,7

0

0

0

0

5

83,3

0

0

0

0

Площадка 7

p

j

im

v

g1

g2

g3


Шт.

%

Шт.

%

Шт.

%

Шт.

%

Шт.

%

Шт.

%

Шт.

%

Сосна

0

0

0

0

0

0

0

0

2

10,5

17

89,5

0

0

Ель

0

0

0

0

4

2,8

77

54,6

32

22,7

28

19,9

0

0

Липа

0

0

0

0

8

5,6

104

73,2

26

18,3

4

2,8

0

0

Берёза

0

0

0

0

0

0

6

23,1

20

76,9

0

0

0

0

Дуб

0

0

0

0

2

28,6

1

14,3

4

57,1

0

0

0

0

Площадка 8

p

j

im

v

g1

g2

g3


Шт.

%

Шт.

%

Шт.

%

Шт.

%

Шт.

%

Шт.

%

Шт.

%

0

0

0

0

0

0

0

0

0

0

30

100

0

0

Ель

0

0

0

0

6

4,7

63

49,2

49

38,3

10

7,8

0

0

Липа

0

0

0

0

18

33,3

36

66,7

0

0

0

0

0

0

Берёза

0

0

0

0

0

0

3

75,0

0

0

1

25,0

0

0

Дуб

0

0

3

50

1

16,7

2

33,3

0

0

0

0

0

0

Площадка 9

p

j

im

v

g1

g2

g3


Шт.

%

Шт.

%

Шт.

%

Шт.

%

Шт.

%

Шт.

%

Шт.

%

Сосна

0

0

0

0

7

25,0

0

0

3

10,7

18

64,3

0

0

Ель

0

0

0

0

4

5,9

9

13,2

48

70,6

7

10,3

0

0

Липа

0

0

0

0

0

0

6

100

0

0

0

0

0

0

Берёза

0

0

0

0

0

0

0

0

1

100

0

0

0

0

Дуб

5

13,2

17

44,7

14

36,8

2

5,3

0

0

0

0

0

0

Площадка10

p

j

im

v

g1

g2

g3


Шт.

%

Шт.

%

Шт.

%

Шт.

%

Шт.

%

Шт.

%

Шт.

%

Сосна

0

0

0

0

0

0

3

1,8

20

12,1

142

86,1

0

0

Ель

0

0

0

0

0

0

22

88,0

2

8,0

1

4,0

0

0

Липа

0

0

0

0

3

60,0

2

40,0

0

0

0

0

0

0

Берёза

0

0

0

0

0

0

1

11,1

7

77,8

1

11,1

0

0

Дуб

0

0

2

40,0

2

40,0

1

20,0

0

0

0

0

0

0

Площадка11

p

j

im

v

g1

g2

g3


Шт.

%

Шт.

%

Шт.

%

Шт.

%

Шт.

%

Шт.

%

Шт.

%

Сосна

0

0

0

0

3

1,9

9

5,7

4

2,5

141

89,8

0

0

Ель

0

0

0

0

2

0,9

64

27,6

161

69,4

5

2,2

0

0

Липа

0

0

0

0

0

0

191

80,6

38

16,0

7

3,0

1

0,4

Берёза

0

0

6

5,8

1

1,0

14

13,5

50

48,1

31

29,8

2

1,9

0

0

13

20,6

33

52,4

16

25,4

0

0

0

0

0

0

Таблица 5 Площадь деревьев по возрастам на профиле

Площадки в Раифе, 2010 год

Виды

Пл.1

Пл.2

Пл.3

Пл.4

Пл.6

Пл.7

Пл.8

Пл.9

Пл.10

Пл.11


Шт.

%

Шт.

%

Шт.

%

Шт.

%

Шт.

%

Шт.

%

Шт.

%

Шт.

%

Шт.

%

Шт.

%

Сосна

0

0

0

0

0

0

0

0

20

7,8

19

5,7

30

13,5

28

19,9

165

78,9

157

19,8

Ель

0

0

0

0

3

5,1

28

93,3

77

30,1

141

42,1

128

57,7

68

48,2

25

12,0

232

29,3

Липа

109

78,4

100

61,0

48

81,4

0

0

143

55,9

142

42,4

54

24,3

6

4,3

5

2,4

237

29,9

Берёза

6

4,3

62

37,8

6

10,2

2

6,7

10

3,9

26

7,8

4

1,8

1

0,7

9

4,3

104

13,1

Дуб

24

17,3

2

1,2

2

3,4

0

0

6

2,3

7

2,1

6

2,7

38

27,0

5

2,4

63

7,9

Общ.

139


164


59


30


256


335


222


141


209


793


Таблица 7 Диагностические показатели возрастного состояния липы и берёзы на основе морфометрических показателей в Раифе

Диагностические показатели возрастного состояния липы на основе морфометрических показателей

Возрастное состояние

Высота (м)

Диаметр ствола (см)

Средние Sппп (м2)

Форма кроны (м)

Календарный возраст (год)

Длительность возрастного состояния (год)



среднее


среднее





j

0,2

0,2

0,3

0,3

0

-

5-10

5-7

im

0,5-2

1,25

0,4-4

2,2

0,05

-

10-15

2-5

v

2-8

2

0,6-25

12,8

1,05

Пирамидальная

15-30

5-10

g1

7-16

11,5

4-44

24

4,56

Островершинная пирамидальная

30-60

20-30

g2

11-24

17,5

13-80

46,5

13,46

Раскидистая

60-160

50-100

g3

14-26

20

51-101

152

33,85

Широко пирамидальная

100-300

50-150


Таблица 8

Диагностические показатели возрастного состояния берёзы на основе морфометрических показателей

Возрастное состояние

Высота (м)

Диаметр ствола (см)

Средние Sппп (м2)

Форма кроны (м)

Календарный возраст (год)

Длительность возрастного состояния (год)



среднее


среднее





v

2-16

9

3-12

7,5

2,34

Пирамидальная

7-15

3-5

g1

4-24

14

10-76

43

4,65

Островершинная пирамидальная

15-505

35-75

g2

13-28

20,5

24-62

43

13,12

Раскидистая

50-90

40-50

g3

27,5

27,5

60

60

32,77

Широко пирамидальная

90-150

50-100


Таблица 9 Распределение видов по ярусам в фитоценозах 2009 год


Виды

Ассоциации



Ельники зеленомошные

Сосняки с елью

Сосняки чистые

Сосняки сложные

Липняки

Раифа

Pinus sylvestris

А1, А2, В2

А1, А2, В1, В2, С2


Picea fennica

А2, В1, В2, С1

А2, В1, В2, С1, С2

А2,В1,В2,С1

А1, В2, С1


Tilia cordata

А2, В1, В2, С1, С2

А2, В1, В2, С1, С2

B1, C1

-

А1, А2, В1, В2, C1, С2

Лебяжье

Pinus sylvestris

А1, А2, В1, В2, С1, С2

А1, А2, В1, В2


Picea fennica

А1, С2

А1, А2, В2, С1


Tilia cordata

B2, C1

B2, C1

А2, В1, В2, С1, С2

А1, А2, В1, В2, C1, С2


Таблица 10. 2010 год


Виды

Ассоциации



Ельники зеленомошные

Сосняки с елью

Сосняки чистые

Сосняки сложные

Липняки

Раифа

Pinus sylvestris

А1, А2, В2

А1, А2, В1, В2, С2


Picea fennica

А2, В1, В2, С1

А2, В1, В2, С1, С2

А2, В1, В2, С1

А1, В2, С1


Tilia cordata

А2, В1, В2, С1, С2

А2, В1, В2, С1, С2

B1, C1

-

А1, А2, В1, В2, C1, С2

Лебяжье

Pinus sylvestris

А1, А2, В1, В2, С1, С2

А1, А2, В1, В2


Picea fennica

А1, С2

А1, А2, В2, С1


Tilia cordata

B2, C1

B2, C1

А2, В1, В2, С1, С2

А1, А2, В1, В2, C1, С2