Материал: Основы теории автомобиля

Внимание! Если размещение файла нарушает Ваши авторские права, то обязательно сообщите нам

Основы теории автомобиля

Основы теории автомобиля варт 16










































Содержание

1. Основы технической термодинамики ………………………………………..3

1.1 Идеальный цикл работы компрессора

1.2 По какому закону термодинамики протекают процессы цикла?

2. Основы теории двигателей внутреннего сгорания …………………...……..8

2.1 Поясните зависимость крутящего момента от числа оборотов (Мкр от n)

2.2 Физический смысл коэффициента приспособляемости ДВС

3. Основы конструкции двигателей внутреннего сгорания …………….……10

3.1 Конструкция форсунки (инжектора)

3.2 Приведите схему форсунки

4. Задача …………………………………………………...……………………..13

Список литературы ………………………………………………………...……16






























1. Основы технической термодинамики

1.1 Идеальный цикл работы компрессора

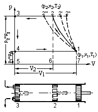
Принципиальная схема и цикл одноступенчатого одноцилиндрового горизонтального компрессора представлен на рис. 1. При движении поршня 2 слева направо давление газа в цилиндре становится меньше давления во всасывающем патрубке. Всасывающий клапан (клапаны обозначены цифрой 3) открывается и по мере движения поршня вправо полость цилиндра заполняется газом теоретически по линии 4-1. При обратном движении поршня справа налево всасывающий клапан закрывается и поршень сжимает газ теоретически по кривой 1-2, пока давление в цилиндре не достигнет давления Р2, равного давлению газа в нагнетательной линии трубопровода. Открывается нагнетательный клапан и поршень выталкивает газ в нагнетательную линию трубопровода при постоянном давлении Р2 (линия 2-3). В начале нового хода поршня слева направо вновь открывается всасывающий клапан, давление в цилиндре падает с Р2, до Р1 теоретически мгновенно (линия 3-4) и процесс повторяется.

Рис. 1. Принципиальная схема и идеальный цикл компрессора простого действия

При рассмотрении идеального цикла поршневого компрессора принимают следующие допущения:

1. Отсутствуют сопротивления движению потока газа (в том числе и в клапанах).

2. Давление и температура газа во всасывающей и нагнетательной линиях постоянны.

3. Давление и температура газа в период всасывания, так же как и в период выталкивания газа из цилиндра, не меняются.

 4. Мертвое (вредное) пространство в цилиндре компрессора отсутствует.

5. Нет потерь мощности на трение и нет утечек газа.

При изотермическом процессе газ сжимается по кривой 1-2"', при адиабатическом 1-2", а при политропическом 1-2 или 1-2'. Рассматривая политропический процесс 1-2, видим, что за этот период цикла объем газа уменьшится с V1 до V2, давление изменится от р1 до р2, а температура – от Т1 до Т2. При нагнетании газа в трубопровод (2-3) давление и температура газа остаются неизменными (р2 и Т2). Весь объем газа V2 переходит в нагнетательный трубопровод. За период 3-4 в цилиндре снижается давление до давления во всасывающем трубопроводе (р1). Период всасывания (4-1) характеризуется постоянным давлением Р1 и температурой газа Т1, в цилиндр поступает объем газа, равный V1. Работа сжатия газа от давления всасывания р1 до давления нагнетания р2 в цилиндре компрессора за время одного цикла характеризуется площадью индикаторной диаграммы, ограниченной линиями, которые соединяют точки 1-2-3-4.

В случае идеального процесса, когда исключены все непроизводительные потери энергии, затрачиваемая энергия равна полезной. Таким образом, индикаторная диаграмма в этом случае дает величину затрачиваемой и полезной работы. При изотермическом процессе газ сжимается без нагрева и выходит с меньшей температурой, чем при адиабатическом или политропическом процессах. Поскольку компрессор предназначен только для сжатия и перемещения газа, то повышение его температуры не является полезной для нас частью работы. Поэтому изотермический процесс (без нагрева газа) более выгоден.

При этом процессе на сжатие газа от давления р1 до давления р2 затрачивается меньше энергии (рис. 1, площадь 1-2"'-3-4 наименьшая). Однако изотермический процесс трудно осуществить на практике, и компрессоры работают при политропическом или адиабатическом процессе. В реальном компрессоре в силу сопротивления нагнетательного клапана и трубопровода давление р2* (точка m на рис.2) в конце сжатия и при нагнетании выше давления р2 среды, куда происходит нагнетания. Поэтому нагнетание изобразится линией 2-m-3. Выступ m в начале нагнетания обусловлен инерцией нагнетательного клапана. От точки 3 рабочее тело, оставшееся во вредном пространстве, расширяется – линия 3-4 (рис.2), и реальная индикаторная диаграмма компрессора замыкается.

Рис. 2. Реальная индикаторная диаграмма поршневого компрессора

При поступлении в цилиндр рабочее тело получает тепло от стенок цилиндра, так как температура его при всасывании ниже температуры стенок. Кроме того, оно получает тепло от смешения с газом или паром, оставшимся во вредном пространстве от предыдущего цикла работы и расширившимся до давления всасывания р1*. В результате температура рабочего тела t1* оказывается больше температуры

· тело получает тепло от стенок цилиндра, так как температура его при всасывании ниже температуры стенок. Кроме того, оно получает тепло от смешения с газом или паром, оставшимся во вредном пространстве от предыдущего цикла работы и расширившимся до давления всасывания р1*. В результате температура рабочего тела t1* оказывается больше температуры

· среды t1, из которой происходит всасывание. Поэтому объем рабочего тела, действительно всасываемого в цилиндр за один ход поршня, т.е. всасываемый

· объем при параметрах р1* и t1*, изображается на индикаторной диаграмме отрезком Vд. Рабочий объем цилиндра – объем между крайними положениями поршня – обозначен Vт.

Отношение

λ =  (1)

определяет уменьшение производительности компрессора, обусловленное наличием вредного пространства, понижением давления и повышением температуры при всасывании, и называется объемным коэффициентом,( коэффициентом подачи компрессора, коэффициентом производительности). Можно принимать λ = 0,8 ÷ 0,85. На форму индикаторной диаграммы, помимо других факторов, влияет величина объёма между днищем поршня в крайнем левом положении и крышкой. Перед всасыванием всегда сначала происходит расширение сжатых газов, которые содержатся в указанном объёме ( кривая 3 – 0 ), затем начинается всасывание непосредственно ( кривая 0 – 1) при давление ниже атмосферного.

1.2 По какому закону термодинамики протекают процессы цикла?

Второй закон термодинамики, в отличие от первого закона термодинамики, изучает все процессы, которые протекают в природе, и эти процессы можно классифицировать следующим образом.

Процессы бывают самопроизвольные, несамопроизвольные, равновесные, неравновесные.

Самопроизвольные процессы делятся на обратимые и необратимые. Второй закон термодинамики называют законом направленности процесса в изолированной системе (закон роста S). Слово «энтропия» создано в 1865 г. Р. Ю. Э. Клаузиусом – «тропе» с греческого означает превращение. В 1909 г. профессор П. Ауербах назвал царицей всех функций внутреннюю энергию, а S – тенью этой царицы. Энтропия – мера неупорядоченности системы.

Обратимые и необратимые процессы

Необратимые процессы идут без затраты работы, протекают самопроизвольно лишь в одном направлении, это такие изменения состояния в изолированной системе, когда при обращении процессов свойства всей системы меняются. К ним относятся:

1) теплопроводность при конечной разности температур;

2) расширение газа при конечной разности давлений;

3) диффузия при конечной разности концентраций.

Обратимыми процессами в изолированной системе называются такие процессы, которые можно обратить без каких-либо изменений в свойствах этой системы.

Обратимые: механические процессы в системе, где отсутствует трение (идеальная жидкость, ее движение, незатухающие колебания маятника в вакууме, незатухающие электромагнитные колебания и распространение электромагнитных волн там, где нет поглощения), которые могут возвратиться в начальное состояние.

Самопроизвольные – процессы, которые идут сами собой, на них не затрачивается работа, они сами могут производить ее (движение камней в горах, Na с большой скоростью движется по поверхности, так как идет выделение водорода проверить.).

Несамопроизвольные – процессы, которые не могут идти сами собой, на них затрачивается работа.

Равновесие делится на устойчивое, неустойчивое и безразличное.

Постулаты второго закона термодинамики.

1. Постулат Клаузиуса – не может быть перехода тепла от менее нагретого к более нагретому телу.

2. Постулат Томсона – теплота наиболее холодного тела не может служить источником работы.

Теорема Карно – Клаузиуса: все обратимые машины, совершающие цикл Карно с участием одного и того же нагревателя и одного и того же холодильника, имеют одинаковый коэффициент полезного действия, независимо от рода рабочего тела.

Аналитические выражения второго закона термодинамики.

1. Классическое уравнение второго закона термодинамики

Q11приведенное тепло нагревателя;

Q2 / T2приведенное тепло холодильника;

Q11= Q22равенство приведенных теплот нагревателя и холодильника. Это второе уравнение термодинамики.

Если делим адиабатами на множество циклов Карно, то получим

Это третье уравнение второго закона термодинамики для бесконечно малого цикла Карно.

Если процесс является конечным, то

Это четвертое уравнение второго закона термодинамики Если процесс является замкнутым, то

Это пятое уравнение второго закона термодинамики для обратимого процесса.

Интеграл по замкнутому контуру – интеграл Клаузиуса.

Это шестое уравнение второго закона термодинамики, или уравнение Клаузиуса, для обратимого процесса равно нулю, для необратимого процесса оно меньше 0, но иногда может быть больше 0.

это седьмое уравнение второго закона термодинамики. Второй закон термодинамики – закон роста S.

S = klnW.

Действие, обратное логарифму – потенцирование:







2. Основы теории двигателей внутреннего сгорания

2.1 Поясните зависимость крутящего момента от числа оборотов (Мкр от n)

Внешняя скоростная характеристика двигателя, то есть зависимость его мощности и крутящего момента от числа оборотов коленчатого вала (или, как сейчас говорят, от частоты его вращения), графически показана на рис. 3.

Рис. 3 . График зависимости мощности (N, л. с.) и крутящего момента (Мкр, кГм) от частоты вращения коленчатого вала (п. об/мин) при полностью открытом дросселе (скоростная характеристика): Nрасп — располагаемая мощность: Мкр.раск — располагаемый крутящий момент; nMмакс — обороты максимального момента; nNмакс — обороты максимальной мощности.

Мы видим, что мощность растет лишь при повышении оборотов до определенной величины nNмакс (режим максимальной мощности), а затем падает. Это объясняется тем, что при очень большой скорости вращения чрезмерно возрастают механические потери в двигателе, ухудшается работа его систем, наполнение цилиндров свежей смесью и т. д. Крутящий момент двигателя МКр (кГм) и его мощность N (л. с.) связаны зависимостью МКр = 716,2 N/n (n — частота вращения двигателя в об/мин).




2.2 Физический смысл коэффициента приспособляемости ДВС

Коэффициент приспособляемости Е оценивает устойчивость режима работы двигателя и является очень важным динамическим показателем транспортного двигателя. 

Коэффициент приспособляемости характеризует способность дви-г-ателя преодолевать возросшее сопротивление без перехода на низшую передачу и является показателем динамических качеств двигателя. 

Коэффициент приспособляемости ( или перегрузочная способность) - это отношение ku Mmax / MH, где Mmax и Мн - наибольший и номинальный крутящие моменты. 

Коэффициентом приспособляемости или перегрузки & п называется отношение Мт / Мн, где Л1Шах и AfH - наибольший и номинальный крутящие моменты. 

Коэффициентом приспособляемости или перегрузки ka называется отношение Mmax / AfH, где Мтах и Мн - наибольший и номинальный крутящие моменты. 

Чем больше коэффициент приспособляемости, тем устойчивее работает двигатель при изменении нагрузки. Это особенно важно для двигателей буровых установок, работающих на привод лебедки с изменением нагрузки от нулевой до максимальной. 

Что называется коэффициентом приспособляемости двигателя. Как он влияет на ра ( оту двигателя. 

По скоростной характеристике определяют коэффициент приспособляемости К. 

В практике хорошо известны способы повышения коэффициента приспособляемости дизелей. Дополнительным источником увеличения коэффициента приспособляемости комбинированных двигателей является применение регулируемых турбомашин в системе воздухоснабжения их. Регулируемая система воздухоснабженпя, позволяя управлять характеристикой двигателя, как бы берет на себя часть функций передачи.

Если в силовой привод входят и средства искусственной приспособляемости, то его коэффициент приспособляемости ku Au. 

Исследовательские работы, ведущиеся в направлении улучшения характеристик тепловозных дизелей ( увеличение коэффициента приспособляемости путем применения систем наддува с регулируемой величиной давления наддувочного воздуха), в случае успешного их завершения позволят применять тяговые передачи, более простые по схемам и конструктивному выполнению. 

Корректором подачи топлива называется устройство, автоматически изменяющее максимальную подачу топлива при изменении скоростного режима с целью увеличения максимального крутящего момента и повышения коэффициента приспособляемости дизеля

Ме и Мер - текущее и расчетное значения крутящего момента двигателя; t л; 1 5 сек - период включения муфты сцепления; К2 Мем / МеК - коэффициент приспособляемости двигателя; Мех и MeN - крутящие моменты двигателя при максимальных моменте и мощности; ( 3 2 - 3 - коэффициент запаса муфты сцепления; / п - приведенный момент инерции всех движущихся частей двигателя; / п - момент инерции ведомой части агрегата, приведенный к коленчатому валу.

3. Основы конструкции двигателей внутреннего сгорания

3.1 Конструкция форсунки (инжектора)

Форсунка или инжектор (от англ. inject — впрыскивать) – распылитель, используемый на современных автомобилях для распыления топлива во впускной трубопровод или непосредственно в цилиндры двигателя. Хорошо работающая форсунка дает конусообразную форму распыления топлива. В двигателях внутреннего сгорания распыление топлива происходит за счет создаваемого высокого давления на входе в форсунку. Конструкция и принцип действия форсунок Топливная форсунка содержит корпус клапана с обмоткой и электрическим соединением, седло клапана с диском, снабженным одним или несколькими распылительными отверстиями, и подвижную иглу клапана с якорем соленоида.