Материал: Основы конструирования цифрового вычислительного устройства

Внимание! Если размещение файла нарушает Ваши авторские права, то обязательно сообщите нам

Основы конструирования цифрового вычислительного устройства

1. Исходные данные

Передаточная функция объекта управления:

 

Параметры объекта управления:

Т, с

Т1, с

kоу

0.0005

0.02

0,2

5,0


Входной сигнал:

 

Параметры сигнала:

А0

А1, 1/с

, рад/с

,рад/с2

0.1

0.05

0.5

0.01

0.01


Метод синтеза: Логарифмических псевдочастотных характеристик.

Метод программирования: Параллельное.


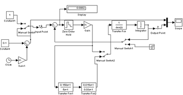
Структурная схема системы



Расчетная структурная схема с учётом экстраполятора нулевого порядка:(p)-передаточная функция экстраполятора нулевого порядка.

 

Wоу - передатоная функция объекта управления.


Приведённая непрерывна часть системы имеет вид:

 

2. Определение Z-передаточной функции системы

=0, кратность m=2.

,m=1.

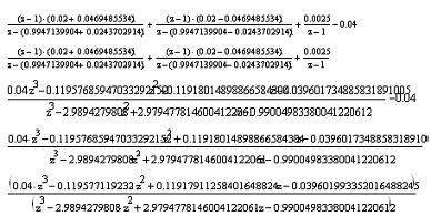
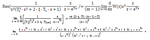
Вычет в полюсе S1=0:


Вычет в полюсе


Общее выражение для Z-передаточной функции приведенной части имеет вид:

 

Подставляя численные значения получим:

     

Введем обозначение:

 

  

 

Подставляя полеченные выражения в общее выражение 1. получим:

 

Преобразуем Z-передаточную функцию:


Окончательное выражение для приведенной Z-передаточной функции имеет вид:


Проверим правильность расчета в Matlab:

Создадим tf- модель объекта управления:

Расчёт Z- передаточной функции в Matlab

w1=tf(1, [1 0])=tf(5, [0.0004 0.008 1])=w1*w2=c2d(w3,0.0005,'zoh')function:

function:

-----------------------

.0004 s^2 + 0.008 s + 1function:

-------------------------

.0004 s^3 + 0.008 s^2 + sfunction:

.598e-007 z^2 + 1.036e-006 z + 2.585e-007

-----------------------------------------^3 - 2.989 z^2 + 2.979 z - 0.99time: 0.0005

Передаточные функции совпали следовательно расчет проведен правильно.


Передаточная функция замкнутой системы по управляющему воздействию с единичной обратной связью определяется ворожением:


Где W(z)-передаточная функция прямой цепи.

Где  

 

  

  

Определение Z-передаточной функции по ошибки:


4. Определения выражения для расчёта Логарифмических псеводочастотных характеристик Оу

Передаточная функция разомкнутой цепи имеет вид:


Билинейное преобразование имеет вид:


разделим числитель и знаменатель на


После раскрытия скобок и упрощения получим:


Разложим числитель и знаменатель на множители:


Переход к псевдочастоте:


Постоянные времени:

Построение располагаемой ЛАФПЧХ:

 

 

   

   




Посторенние ЛАФХ (MATLAB).


5. Анализ точности отработки типовых сигналов.


Ошибка при прохождении линейно нарастающего сигнала составляет 0,01-что удовлетворяет требованиям задания.

Переходный процесс системы при воздействии еденично-ступенчатого воздействия.


Время регулирования tр=0,81с

Перерегулирование 0%.

6. Синтезирование системы

Точность отработки сигнала A(t)=0.1+0.005t не более 0,001

Запас по амплитуде не менее 10Дб.

Запас по фазе не менее 300

Перерегулирование не более 20%.

Расчет запретной области ЛАФПЧХ:


 ;

 

Исходная псевдочастотная передаточная функция системы:


Желаемая псевдочастотная передаточная функция системы:


Передаточная функция фильтра:

.

Переход к Z-передаточной функции осуществляется в результате выполнения подстановки в найденную псевдочастотную передаточную функцию дискретного корректирующего устройства.


разделим числитель и знаменатель на (z+1) после раскрытия скобок получим:

Где,    

Структурная схема скорректированной системы:


Передаточная функция исходной системы:


Передаточная функция дискретно корректирующего устройства:


Передаточная функция замкнутой скорректированной системы по ошибке имеет вид:


Входной сигнал:

преобразование входного сигнала:


Установившееся значение сигнала ошибки найдем по теореме о предельном значении решетчатой функции:


Получим следующие ворожение:


Установившаяся ошибка: 0.0002131395538930085109522416.

Проверка правильности расчета в (MatLab):


Входной и выходной сигнал системы:



7. Переход к конечно-разностным уравнениям, реализующим функцию корректирующего алгоритма во временной области одним из методов программирования в соответствии с заданием

Способ прямого программирования

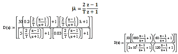
Передаточная функция корректирующего устройства:


Разделим числитель и знаменатель D(z) на z2 получим:


По определению передаточной функции:


Введем новую переменную e(z):

- соответствует смещению оригинала на 1 такт, z-2- соответствует смещению оригинала на 2 такта.

Gain1=1,0094732 Gain7=1,0094732= 1,96471624 Gain8=1,0094732

Gain3= 1,98337108 Gain4=1=0,9647981=0,98337273

Уравнение состояния системы имеет вид:

 

Y[kT]=0.00943473x1[kT]+3.9667 x2[kT]+1.009437U[kT]

Матрицы A,B,C,D, определяются выражением:

 

 

 

 

Способ параллельного программирования

Передаточная функция корректирующего устройства:


Разобьем дробь на сумму элементарных звеньев:

Представим D(z) виде:


Найдем коэффициенты А1, А2, В из уравнения:


Раскрывая скобки получим:


Откуда получаем:

  

Дискретная передаточная функция корректирующего устройства примет вид:


Разделим числитель и знаменатель D(z) на z получим:


По определению передаточной функции:


Введем новые переменные:

 

Переменные состояния определяются выражением:

 

Где:


Уравнение состояния системы имеет вид:

 

Y[kT]=0.0140156x1[kT]+2.009x2[kT]+2*1.0094743U[kT]

Матрицы A,B,C,D, определяются выражением: