Материал: Основы эконометрики

Внимание! Если размещение файла нарушает Ваши авторские права, то обязательно сообщите нам

Основы эконометрики

Негосударственное образовательное учреждение

высшего профессионального образования

Центросоюза Российской Федерации

СИБИРСКИЙ УНИВЕРСИТЕТ ПОТРЕБИТЕЛЬСКОЙ КООПЕРАЦИИ ЗАБАЙКАЛЬСКИЙ ИНСТИТУТ ПРЕДПРИНИМАТЕЛЬСТВА






КОНТРОЛЬНАЯ РАБОТА

по дисциплине: Эконометрика


Выполнила: студентка 2-го курса

Шифр ЭБ-ЗС-14-12-015

Максакова Екатерина Валерьевна

Направление: "Экономика"





Чита

ЗАДАНИЕ № 1

Зависимость курса акций У от эффективности рынка ценных бумаг Х:

Хi

10

9

9

10

10

11

12

10

9

10

Уi

25

24

24

25

26

26

26

25

24

25


а) По имеющимся статистическим данным составить уравнение модельной линии регрессии у = кх + в, зависимости величины У от параметра Х. Коэффициенты уравнения определить по методу наименьших квадратов.

б) Оценить тесноту связи между переменными Х и У по выборочному коэффициенту корреляции.

в) Построить график экспериментальных данных и модельной прямой.

г) Оценить величину погрешности модельного уравнения.

д) Провести оценку значимости параметров уравнения и составить для них доверительные интервалы с доверительной вероятностью g =0,95.

Решение:

а) Параметры уравнения у = кх + b найдем методом наименьших квадратов.

Составим систему нормальных уравнений:


Вычислим все необходимые суммы с помощью таблицы:

Таблица 1.

N

Хi

Уi

xi^2

xiyi

yi^2

yp

ei

ei^2

1

9

24

81

216

576

24,25

0,25

0,0625

2

9

24

81

216

576

24,25

0,25

0,0625

3

9

24

81

216

576

24,25

0,25

0,0625

4

10

25

100

250

625

25

0

0

5

10

25

100

250

625

25

0

0

6

10

25

100

250

625

25

0

0

7

10

25

100

250

625

25

0

0

8

10

26

100

260

676

25

-1

1

9

11

26

121

286

676

25,75

-0,25

0,0625

10

12

26

144

312

676

26,5

0,5

0,25

Ср

10,00

25,00

100,80

250,60

625,60

25,00

0,00

0,15

Ʃ

100

250

1008

2506

6256

250

0

1,5


Получим систему уравнений:


Решая эту систему, найдем значения параметров : к = 0,75 и b = 17,5.

Следовательно, уравнение у = 0,75х + 17,5 является модельным уравнением.

б) Оценим тесноту связи между переменными Х и У по выборочному коэффициенту корреляции. Выборочный коэффициент корреляции:

, где (1)

k - коэффициент уравнения регрессии, найденный в предыдущем пункте задачи,  - средние квадратичные отклонения x и y соответственно. Найдем их. σ=; существует две формулы для расчета дисперсии признака:

1), (2)

), (3)

Найдем дисперсии по первой формуле, так как она удобнее для расчета

(x)==0,8(y)==0,6

Теперь можем рассчитать средние квадратичные отклонения, необходимые для расчета выборочного коэффициента корреляции:

σx==

σy==

Подставив полученные значения, рассчитаем выборочный коэффициент корреляции:


Для нашей задачи r =0,72. Так как выборочный коэффициент r близок к единице, то между переменными X (эффективность рынка ценных бумаг) и Y (курс акций) существует тесная связь.

в) Построим график экспериментальных данных и модельной прямой.

Используя модельное уравнение (у = 0,75х + 17,5), найдем расчетные значения у и построим график:


Одна линия на графике (yi) отражает фактические значения у, а другая (yр) построена с помощью уравнения регрессии и отражает тенденцию изменения производительности труда в зависимости от механизации производства.

г) Оценим величину погрешности модельного уравнения.

Рассмотрим характеристики, по значениям которых можно определить качество модели и возможность осуществлять прогнозирование результативного признака.

Обозначим разность между фактическим значением результативного признака и его расчетным значением как ei:

, (4)

В качестве суммарной погрешности выберем величину

, (5)

2 =0,125 Стандартная ошибка уравнения, выполняющая роль абсолютной ошибки, находится по формуле:

, (6)

в нашем случае

Найдем относительную погрешность модельного уравнения , где  - среднее значение результативного признака, получим q =0,0141

По величине относительной погрешности можно судить о наличии прогнозных качеств у модельного уравнения. Если величина относительной погрешности меньше 10 % уровня, то оцененное регрессионное уравнение обладает достаточно высокими прогнозными качествами.

д) Провести оценку значимости параметров уравнения и составить для них доверительные интервалы с доверительной вероятностью g =0,95.

Стандартная ошибка углового коэффициента k вычисляется по формуле

, (7)

Sk = 0,0042.

Для вычисления стандартной ошибки коэффициента b используем формулу

 (8)

Получим, что Sb= 0,3472

Коэффициенты считаются значимыми, если


 и

 и

Оба коэффициента являются значимыми, так как каждый из них меньше чем 0,5.

Используем стандартные ошибки параметров уравнения для оценки статистической значимости коэффициентов при помощи t-критерия Стьюдента.

Найдем доверительные интервалы параметров уравнения по формулам:

- = k - tст*Sk            и b- = b - tст* Sb, (9)

k+ = k+ tст* Sk и b+ = b + tст*Sb, (10)

Значения t-критерия Cтьюдента содержатся в справочниках по математической статистике. Для нашего примера по таблице определяем tст = 2,78.

Получим интервалы для коэффициента k:

 - = 0,75-2,78*0,0042 = 0,7343

k + = 0,75 + 2,78*0,0042 = 0,7656

интервал (k-, k+) достаточно мал и не содержит ноль, поэтому коэффициент k является статистически значимым на 95 % доверительном уровне.

Получим интервалы для параметра b:

b- = 17,5 - 2,78* 0,0198=17,44

b+ = 17,5 + 2,78* 0,0198=17,55

интервал (b-, b+) также достаточно мал и не содержит ноль, поэтому коэффициент b тоже является статистически значимым на 95 % доверительном уровне.

По нашему исследованию можно сделать следующий вывод: полученные результаты являются значимыми и данное модельное уравнение можно использовать для анализа и прогноза данных величин.

ЗАДАНИЕ № 2

погрешность доверительный интервал переменная

По полученным в предыдущем задании уравнениям модельных прямых составить 95% доверительный интервал для среднего и индивидуального значений зависимой переменной У, при заданном значении объясняющей переменной Х. При Х=20,1.

Решение:

Построим доверительные интервалы для средних и индивидуальных значений зависимой переменной при Х=20,1.. Для этого найдем значения стандартных погрешностей.

Вычислим все необходимые суммы с помощью таблицы:

Таблица 2.

n

Хi

Уi

x-xср

(x-xср)^2

yp

1

9

24

-1

1

24,25

2

9

24

-1

1

24,25

3

9

24

-1

1

24,25

4

10

25

0

0

25

5

10

25

0

0

25

6

10

25

0

0

25

7

10

25

0

0

25

8

10

26

0

0

25

9

11

26

1

1

25,75

10

12

26

2

4

26,5

среднее

10

25

0

0,8

25

сумма

100

250

0

8

250


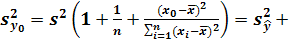
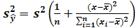
Сначала рассчитаем дисперсию групповой средней:

, где (11)

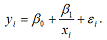
x=20,1 по условию,2 - суммарная погрешность уравнения, оценка дисперсии модельного уравнения, была найдена в предыдущей задаче. S2=0,125

это значение можно найти и в таблице в конце второго столбца.

 сумма квадратов отклонения величины x от своего среднего, сумма стобца - 5 таблицы. Подставим эти значения в формулу:

 

= 1,27;

.

=1,31.

yp=y(20,1)=0,75*20,1+17,5=32,575

Построим доверительный интервал для прогноза индивидуального значения (прогноза y при x=20,1):

 

32,575-2,78*1,3132,575+2,78*1,31, или36,2

Итак, среднее значение надежностью 0,95 находится в пределах от 28,9 до 36,2 . Это означает, что при эффективности рынка равной 20,1 цена акции (её возможные экспериментальные значения) может варьироваться от  до 36,2 у.е. Нетрудно заметить, что доверительный интервал индивидуальных значений шире интервала функции регрессии.

ЗАДАНИЕ № 3

.        По имеющимся статистическим данным построить нелинейные модели:

а) радикальную

б) гиперболическую

в) степенную

г) показательную.

. Рассчитать относительную погрешность, коэффициент детерминации для каждой модели.

. Проверить значимость модельных уравнений по критерию Фишера.

. Найти средний коэффициент эластичности.

. По значениям найденных характеристик определить, какая модель лучше всего подходит для описания данной зависимости.

Дана зависимость среднего размера назначенных пенсий Y (тыс. руб.) от прожиточного минимума X (тыс. руб.) в среднем на одного пенсионера в месяц

X

1,78

2,02

1,97

2,01

1,89

3,02

2,15

1,66

1,99

1,8

Y

2,4

2,26

2,21

2,26

2,2

2,5

2,37

2,32

2,2


1. По имеющимся статистическим данным построим нелинейные модели

а) радикальная модель:

Обычно используются полиномы второй степени, модель выглядит следующим образом:

 (12)

Построим её график, и найдем уравнение, добавив тренд с подписями уравнения и коэффициента детерминации R2.

 = 0,2908x2 - 1,209x + 3,5058

б) гиперболическую функцию регрессии вида:

 (13)

получим, произведя замену переменной: с=1/x, тогда уравнение примет вид: yi0+ β1*ci.i Найдем его коэффициенты при помощи МНК. Для этого решим систему:


Расчет всех необходимых сумм приведен в таблице:

Таблица 3.

n

X

Y

С

С^2

Y^2

CY

Yрасч

1

1,66

2,32

0,6024

0,3629

5,3824

1,3976

2,212316

2

1,78

2,4

0,5618

0,3156

5,7600

1,3483

2,243383

3

1,8

2,2

0,5556

0,3086

4,8400

1,2222

2,248158

4

1,89

2,2

0,5291

0,2799

4,8400

1,1640

2,268395

5

1,97

2,21

0,5076

0,2577

4,8841

1,1218

2,284831

6

1,99

2,15

0,5025

0,2525

4,6225

1,0804

2,288734

7

2,01

2,26

0,4975

0,2475

5,1076

1,1244

2,292559

8

2,02

2,26

0,4950

0,2451

5,1076

1,1188

2,294443

9

2,15

2,37

0,4651

0,2163

5,6169

1,1023

2,317341

10

3,02

2,5

0,3311

0,1096

6,2500

0,8278

2,41984

сумма

20,29

22,87

5,0478

2,5959

52,4111

11,5077

22,87

среднее

2,029

2,287

0,50

0,2596

5,2411

1,1508

2,2870


Подставим найденные суммы в систему, получим её в виде:

 

Решив систему получим коэффициенты, уравнение примет вид:

yi= 2,67-0,76*ci

Произведем обратную замену переменной, C=1/X, получим уравнение:

 


в) Степенная модель выглядит следующим образом:

 (14)

Построим её график, и найдем уравнение, добавив степенной тренд с подписями уравнения и коэффициента детерминации R2.

Получим следующее уравнение: y = 2,04539x0,1594


г) Показательная функция регрессии выглядит следующим образом:

 (15)

Линеаризация данной функции происходит методом замен переменнs[, путем логарифмирования:

lnYi=lnβ01 lnXi + lnεi.

Произведем следующие замены переменных:

=Yi;

ln β0=A;=Xi;

lnεi=E.

В результате произведённых замен получим окончательный вид показательной функции, приведённой к линейной форме:

Yi=A+β1Xi+E.

Найдем коэффициенты A и β1 при помощи МНК. Для этого решим систему:


Расчет необходимых сумм произведен в таблице:

Таблица 4.

n

X

Y

LN(X)

LN(Y)

LN(X)2

LN(Y)2

LN(X)*LN(Y)

1

1,66

2,32

0,506818

0,841567

0,2568641

0,708235

0,42652106

2

1,78

2,4

0,576613

0,875469

0,332483

0,766446

0,50480697

3

1,8

2,2

0,587787

0,788457

0,3454932

0,621665

0,46344472

4

1,89

2,2

0,636577

0,788457

0,4052301

0,621665

0,50191369

5

1,97

2,21

0,678034

0,792993

0,4597295

0,628837

0,53767552

6

1,99

2,15

0,688135

0,765468

0,4735293

0,585941

0,52674494

7

2,01

2,26

0,698135

0,815365

0,4873921

0,66482

0,56923449

8

2,02

2,26

0,703098

0,815365

0,4943461

0,66482

0,57328097

9

2,15

2,37

0,765468

0,86289

0,585941

0,744579

0,66051451

10

3,02

2,5

1,105257

0,916291

1,2215927

0,839589

1,01273659

сумма

20,29

22,87

6,94592

8,262321

5,0626009

6,846596

5,77687347

среднее

2,029

2,287

0,695

0,826

0,506

0,685

0,578


Подставив найденные суммы в систему, получим:

 

Получим коэффициенты, решив его, и составим уравнение:

Yi= 0,72+0,16 Xi+E.,

следовательно, сделав обратную замену переменных, имеем:

lnYi=0,72+0,16 lnXi + lnεi.


. Рассчитаем относительную погрешность и коэффициент детерминации для каждой модели.

Относительная погрешность рассчитывается по формуле:


, где (16)

(стандартная ошибка уравнения), а , n-2=8

Для расчета относительной погрешности нужно рассчитать сумму квадрата ошибок по каждому уравнению: )^2.

Расчет приведен в таблице:

Таблица 5.

N

X

Y

Yp (а)

Yp (б)

Yр(в)

Yр(г)

ei^2(а)

ei^2(б)

ei^2(в)

ei^2(г)

1

1,66

2,32

2,3002

2,2123

2,2743

2,2173

0,0004

0,0116

0,0021

0,0105

2

1,78

2,4

2,2752

2,2434

2,2750

2,2421

0,0156

0,0245

0,0156

0,0249

3

1,8

2,2

2,2718

2,2482

2,2751

2,2461

0,0052

0,0023

0,0056

0,0021

4

1,89

2,2

2,2596

2,2684

2,2757

2,2637

0,0035

0,0047

0,0057

0,0041

5

1,97

2,21

2,2526

2,2848

2,2761

2,2787

0,0018

0,0056

0,0044

0,0047

6

1,99

2,15

2,2515

2,2887

2,2762

2,2823

0,0103

0,0192

0,0159

0,0175

7

2,01

2,26

2,2506

2,2926

2,2763

2,2860

0,0001

0,0011

0,0003

0,0007

2,02

2,26

2,2502

2,2944

2,2764

2,2878

0,0001

0,0012

0,0003

0,0008

9

2,15

2,37

2,2507

2,3173

2,2770

2,3106

0,0142

0,0028

0,0086

0,0035

10

3,02

2,5

2,5068

2,4198

2,2806

2,4392

0,0000

0,0064

0,0482

0,0037

сумма

20,29

22,87

22,87

22,87

22,76

22,85

0,05

0,08

0,11

0,07

средняя

2,03

2,29

2,29

2,29

2,28

2,29

0,01

0,01

0,01

0,01


Находим отсюда относительную погрешность:

Таблица 6.

 

а)

б)

в)

г)

S2

0,0064

0,0099

0,0133

0,0091

σ

0,0801

0,0996

0,1155

0,0952

θ

0,0350

0,0436

0,0505

0,0416


Коэффициент детерминации находится по формуле:

 (17)

Расчет необходимых сумм приведен в таблице:

Таблица 7.


Получим следующие значения коэффициента детерминации для каждой из моделей:

 

а)

б)

в)

г)

R^2

0,5227

0,2606

0,0066

0,3247


. Проверим значимость модельных уравнений по критерию Фишера.

Для проверки значимости найдем F-статистику каждой модели -

находим по формуле:

(18)

 

а)

б)

в)

г)

F

8,7603

2,8203

0,0530

3,8460



Критическое значение при уровне значимости 99% составляет 5,32. По полиномиальному распределению фактическое значение больше критического, следовательно все полученные уравнения значимы.

. Найдем средний коэффициент эластичности.

yx=Y’(x)*(x/Y(x))

a) E=2-

б) E=27, 6094X/(8,5797-27,6094/x)

в)E=1,0039

г)Е=1,37*e0,146x

5. По значениям найденных характеристик определить, какая модель лучше всего подходит для описания данной зависимости.

Представим все рассчитанные характеристики для всех моделей в виде одной таблицы, удобной для анализа:

Таблица 8.

 

а)

б)

в)

г)

S2

0,0064

0,0099

0,0133

0,0091

σ

0,0801

0,0996

0,1155

0,0952

θ

0,0350

0,0436

0,0505

0,0416

R^2

0,5227

0,2606

0,0066

0,3247

F

8,7603

2,8203

0,0530

3,8460


Лучше всего подходит полиномиальная (радикальная) модель, так как она по всем параметрам лучше остальных: у неё коэффициент детерминации ближе всех к единице, значит доля объясненной регрессии выше всего, самая низкая относительная погрешность, значит её прогнозные качества самые лучшие и F-статистика самая большая, дальше всего от критического значения, означающего не значимость уравнения.

ЗАДАНИЕ 4

.Проверить наличие трендовой составляющей у временного ряда приближенными и статистическими методами (визуальный, метод знаков, метод проверки разностей средних уровней, метод Фостера - Стюарта, метод Ноймана).

.        Рассчитать значения коэффициентов автокорреляции уровней временного ряда r(τ) при τ = 1, 2, 3, 4. Сделать вывод о структуре ряда.

.        Произвести сглаживание временного ряда методом простой скользящей средней, с интервалом сглаживания m=3.

.        Построить графики основного и сглаженного временного ряда.

.        В зависимости от структуры ряда составить линейную

( y=kx +b ) или нелинейную (y = a) модели временного ряда.

.        Проверить автокорреляцию остатков временного ряда методом Дарбина-Уотсона. Сделать вывод о достаточности модели.

Приводятся данные об уровне среднегодовых цен на рис из Таиланда на мировых рынках (амер. доллары за метрическую тонну):

T

1

2

3

4

5

6

7

8

9

10

11

12

14,3

13,0

15,0

29,6

25,4

25,2

21,7

22,9

30,2

32,0

30,3

33,8


Решение:

. Проверить наличие трендовой составляющей у временного ряда приближенными и статистическими методами (визуальный, метод знаков, метод проверки разностей средних уровней, метод Фостера - Стюарта, метод Ноймана).

А) Визуальный метод:


Мы видим повышательный тренд: значения колеблются циклически, при этом вершина каждого нового цикла выше вершины предыдущего, а спад до более высокого значения чем предыдущий происходит.

Б) Метод знаков

Составим таблицу для определения знаков:

 первая половина ряда

вторая половина ряда

разности

с

Y

t

Y

di

1

14,3

7

20,3

6

2

13

8

25,7

12,7

3

15

9

24,9

9,5

4

29,6

10

33,3

9,7

5

25,4

11

34,1

9,7

6

25,2

12

34,2

9


Ряд разделен на 2 равные по количеству уровней ряда части. di -разности соответствующих значений первой половины и второй. Мы видим, что все разности di имеют знак "+", следовательно, можно говорить о восходящей тенденции тренда.

В) Метод проверки разностей средних уровней

Суть этого метода заключается в проверке равенства (однородности) дисперсии обеих частей ряда с помощью F-критерия Фишера, который основан на сравнении расчетного значения этого критерия с табличным (критическим) значением критерия Фишера.

Для определения наличия тренда в исходном временном ряду методом проверки разных сумм, нужно рассчитать значение F-критерия Фишера:

,

 - дисперсия первой части ряда,  - второй части (временной ряд разбивается на две равные по количеству членов - уровней ряда -части)

Разбиваем ряд на две равные части и считаем суммы первых 6 уровней ряда и соответственно последующих и рассчитываем средние по формулам:

; ; (19)

следовательно, ;

Рассчитаем теперь так же дисперсию: для первых 6 членов ряда и для последних 6, по формулам:

; (20)

 (21)

 

Теперь можно рассчитать значение F-критерия Фишера: так как

 то F==2,2

Рассчитаем теперь критическое значение критери Фишера Fa с заданным уровнем значимости (уровнем ошибки) a. В качестве a чаще всего берут значения 0,1 (10%-ная ошибка), 0,05 (5%-ная ошибка), 0,01 (1%-ная ошибка). Величина γ = 1 - a называется доверительной вероятностью. Так как в условии задаче не указано, на каком уровне значимости проверять гипотезу о наличии тренда, проверим её на уровне 0,05 (5%-ная ошибка). Fa,= 5,05

Так как расчётное значение F меньше табличного Fa, то гипотеза о равенстве дисперсии принимается, и можно перейти к этапу проверки гипотезы от отсутствиии тренда у временного ряда с использованием t-критерия Стьюдента. Для этого определяется расчётное значение критерия Стьюдента по формуле:

, (22)

где s - среднеквадратическое отклонение разности средних:

 (23)

σ=5,914437, следовательно, t=2,27. Найдем теперь табличное значение t-критерия Стьюдента: t(0,95;10)=6,14. Так как расчетное значение меньше табличного, то это значит, что гипотеза отвергается, следовательно, у временного ряда тренд есть.

Г) Метод Фостера-Стюарта.

На первом этапе производим сравнение каждого уровня исходного временного ряда, начиная со второго уровня, со всеми предыдущими, при этом определяются числовые последовательности:

t =2,3,…,n.

Получим такую таблицу:

Таблица 9.

t

y

kt

lt

S

d

1

14,3

1

1

2

0

2

13

0

1

1

-1

3

15

1

0

1

1

4

29,6

1

0

1

1

5

25,4

0

0

0

0

6

25,2

0

0

0

0

7

21,7

0

0

0

0

8

22,9

0

0

0

0

9

30,2

1

0

1

1

10

32

1

0

1

1

11

30,3

0

0

0

0

12

33,8

1

0

1

1

сумма

293,4

 

 

6

4


На втором этапе вычисляются величины s и d:

  (24)=6, d=5

Третий этап заключается в проверке гипотез: можно ли считать случайными:

отклонение величины s от величины m - математического ожидания величины s для ряда, в котором уровни расположены случайным образом,

отклонение величины d от нуля.

Эта проверка проводится с использованием расчётных значений t-критерия Стьюдента (для средней и для дисперсии):

, (25)

;

, (26)

,

где m - математическое ожидание величины s, определенной для ряда, в котором уровни расположены случайным образом;

s1 - среднеквадратическое отклонение для величины s;

Получим следующие числа, подставив наши данные в формулы:

ts=

4,3158

σ1=

1,2428

td=

4,0000

σ1=

2,0308


tтабл=2,23 при уровне значимости 5%.

Если расчётное значение t меньше табличного значения статистики Стьюдента ta с заданным уровнем значимости a, гипотеза принимается, т.е. тренда нет, в противном случае тренд есть. Заметим, что в данном случае расчетные значения t-критерия превышают табличное, значит гипотеза не принимается, и тренд есть.

Д) Метод Ноймана.

При этом в качестве нуль-гипотезы проверяем, зависимы ли последовательные уровни ряда друг от друга, т.е. есть ли дрейф во времени. С этой целью рассчитаем величину:

, (27)

и сравнив со значениями D(P,n) таблицы критических значений Ноймана.

Получаем следующую расчетную таблицу:

Таблица 10.

T

y

(Yi-Yi-1)^2

1

14,3

 

2

13

1,69

3

15

4

4

29,6

213,16

5

25,4

17,64

6

25,2

0,04

7

21,7

12,25

8

22,9

1,44

9

30,2

53,29

10

32

3,24

11

30,3

2,89

12

33,8

12,25

Сумма

293,4

321,89

=0,929

Нуль-гипотеза отклоняется, если D лежит ниже табличного значения для заданного уровня значимости. Отклонение нуль-гипотезы подтверждает наличие тренда во временном ряду.табл=1,13. Следовательно, так как расчетное значение меньше критического, гипотеза подтверждается, подтверждается наличие тренда во временном ряду.

.        Рассчитать значения коэффициентов автокорреляции уровней временного ряда r(τ) при τ = 1, 2, 3, 4. Сделать вывод о структуре ряда.

1) τ = 1

Рассчитаем параметры уравнения авторегрессии, в котором yt - принимается за x, y t-1 - это его значения с лагом в 1.

Расчетная таблица:

Таблица 11.

t

y

yt-1

x*y

x^2

y^2

1

14,3

7,26

103,818

204,49

52,7076

2

13

10,7

139,1

169

114,49

3

15

23,4

351

225

547,56

4

29,6

21,5

636,4

876,16

462,25

5

25,4

14,8

375,92

645,16

219,04

6

25,2

20,3

511,56

635,04

412,09

7

21,7

25,7

557,69

470,89

660,49

8

22,9

24,9

570,21

524,41

620,01

9

30,2

33,3

1005,66

912,04

1108,89

10

32

34,1

1091,2

1024

1162,81

11

30,3

34,2

1036,26

918,09

1169,64

сумма

259,6

250,16

6378,818

6604,28

6529,978

среднее

23,6

22,74182

579,8925

600,3891

593,6343

S^2(x)

43,42909

 

S^2(y)

76,44403

 

S^(x)

6,590075

 

S^(y)

8,743228

 



 

r=

0,74951

 



 


Выборочные средние:

 

 

 

S^2(x)

43,42909

S^2(y)

76,44403


Выборочные дисперсии:

Среднеквадратическое отклонение

S^(x)

6,590075

S^(y)

8,743228


Коэффициент автокорреляции.

Линейный коэффициент автокорреляции rt,t-1:

r=

0,74951


Линейный коэффициент корреляции принимает значения от -1 до +1.

Связи между признаками могут быть слабыми и сильными (тесными). Их критерии оцениваются по шкале Чеддока:

.1 < rt,t-1 < 0.3: слабая;

.3 < rt,t-1 < 0.5: умеренная;

.5 < rt,t-1 < 0.7: заметная;

.7 < rt,t-1 < 0.9: высокая;

.9 < rt,t-1 < 1: весьма высокая;

В нашем примере связь между рядами - высокая и прямая.

2) τ = 2

Рассчитаем параметры уравнения авторегрессии, в котором yt - принимается за x, y t-2 - это его значения с лагом в 2.

Расчетная таблица:

Таблица 12.

T

y

yt-2

x*y

x^2

y^2

1

14,3

10,7

153,01

204,49

114,49

2

13

23,4

304,2

169

547,56

3

15

21,5

322,5

225

462,25

4

29,6

14,8

438,08

876,16

219,04

5

25,4

20,3

515,62

645,16

412,09

6

25,2

25,7

647,64

635,04

660,49

7

21,7

24,9

540,33

470,89

620,01

8

22,9

33,3

762,57

524,41

1108,89

9

30,2

34,1

1029,82

912,04

1162,81

10

32

34,2

1094,4

1024

1169,64

Сумма

229,3

242,9

5808,17

5686,19

6477,27

среднее

22,93

24,29

580,817

568,619

647,727


Расчет коэффициента автокорреляции.

Параметры уравнения авторегрессии:

xср

24,29

y ср

22,93

S^2(x)

42,8341

S^2(y)

57,7229

S^(x)

6,544777

S^(y)

7,597559


Коэффициент автокорреляции:

Линейный коэффициент корреляции: r= 0,47959

Связь между рядами - умеренная

3) τ = 3 Рассчитаем параметры уравнения авторегрессии, в котором yt - принимается за x, y t-3 - это его значения с лагом в 3.

Расчетная таблица:

Таблица 13.

T

y

yt-2

x*y

x^2

y^2

1

14,3

23,4

334,62

204,49

547,56

2

13

21,5

279,5

169

462,25

3

15

14,8

222

225

219,04

4

29,6

20,3

600,88

876,16

412,09

5

25,4

25,7

652,78

645,16

660,49

6

25,2

24,9

627,48

635,04

620,01

7

21,7

33,3

722,61

470,89

1108,89

8

22,9

34,1

780,89

524,41

1162,81

9

30,2

34,2

1032,84

912,04

1169,64

Сумма

197,3

5253,6

4662,19

6362,78

среднее

21,92222

25,8

583,7333

518,0211

706,9756


Расчет коэффициента автокорреляции.

Параметры уравнения авторегрессии:

xср

21,92222

y ср

25,8

S^2(x)

37,43728

S^2(y)

41,33556

S^(x)

6,118601

S^(y)

6,429273


Коэффициент автокорреляции

Линейный коэффициент корреляции:

r=

0,46113


Связь между рядами - умеренная

4) τ = 4

Рассчитаем параметры уравнения авторегрессии, в котором yt - принимается за x, y t-4 - это его значения с лагом в 4.

Расчетная таблица:

Таблица 14.

T

y

yt-2

x*y

x^2

y^2

1

14,3

21,5

307,45

204,49

462,25

2

13

14,8

192,4

169

219,04

3

15

20,3

304,5

225

412,09

4

29,6

25,7

760,72

876,16

660,49

5

25,4

24,9

632,46

645,16

620,01

6

25,2

33,3

839,16

635,04

1108,89

7

21,7

34,1

739,97

470,89

1162,81

8

22,9

34,2

783,18

524,41

1169,64

Сумма

167,1

208,8

4559,84

3750,15

5815,22

среднее

20,8875

26,1

569,98

468,7688

726,9025


Расчет коэффициента автокорреляции.

Параметры уравнения авторегрессии:

xср

20,8875

y ср

26,1

S^2(x)

32,48109

S^2(y)

45,6925

S^(x)

5,699219

S^(y)

6,759623


Коэффициент автокорреляции

Линейный коэффициент корреляции:

r=

0,644167


Связь между рядами - умеренная

Вывод: Автокорреляция максимальная на лаге -1, затем убывает.

.        Произведем сглаживание временного ряда методом простой скользящей средней, с интервалом сглаживания m=3.

Сглаживание происходит за счет расчета среднего значения из трех уровней ряда, каждая следующая в столбце сумма содержит ещё одно новое значение (следующее по времени) и исключает то, которое было первым в предыдущей сумме.

Проведя сглаживание получим следующий ряд y':

T

y

y'

1

14,3

 

2

13

14,1000

3

15

19,2000

4

29,6

23,3333

5

25,4

26,7333

6

25,2

24,1000

7

21,7

23,2667

8

22,9

24,9333

9

30,2

28,3667

10

32

30,8333

11

30,3

32,0333

12

33,8

 

Сумма

293,4

 


.        Построим графики основного и сглаженного временного ряда.


5.      В зависимости от структуры ряда составим линейную

( y=kx +b ) или нелинейную (y = a) модели временного ряда.

Как показал весь предыдущий анализ, зависимость уровней ряда Y(t) близка к линейной, поэтому построим линейную модель:

Параметры уравнения у = кх + b найдем методом наименьших квадратов.

Составим систему нормальных уравнений:


Вычислим все необходимые суммы с помощью таблицы:

Таблица 14.

T

y

t*y

t^2

1

14,3

14,3

1

2

13

26

4

3

15

45

9

4

29,6

118,4

16

5

25,4

127

25

6

25,2

151,2

36

7

21,7

151,9

49

8

22,9

183,2

64

9

30,2

271,8

81

10

32

320

100

11

30,3

333,3

121

12

33,8

405,6

144

сумма

293,4

2147,7

650

среднее

24,45

178,975

54,16666667


Получим систему уравнений:

 

Решая эту систему, найдем значения параметров : к = 1,68 и b = 13,61.

Следовательно, уравнение у = 1,68 t + 13,61 является модельным уравнением.

.        Проверим автокорреляцию остатков временного ряда методом Дарбина-Уотсона. Сделаем вывод о достаточности модели.

у = 1,68 t + 13,61, построим расчетную таблицу для нахождения критерия:

Таблица 15.

t

Ei

ei^2

Δei

Δei^2

t

1

15,19615385

-0,89615385

0,803092

 

 

1

2

16,87867133

-3,87867133

15,04409

-2,98252

8,895411

2

3

18,56118881

-3,56118881

12,68207

0,317483

0,100795

3

4

20,24370629

9,35629371

87,54023

12,91748

166,8614

4

5

21,92622378

3,47377622

12,06712

-5,88252

34,60401

5

6

23,60874126

1,59125874

2,532104

-1,88252

3,543872

6

7

25,29125874

-3,59125874

12,89714

-5,18252

26,85849

7

8

26,97377622

-4,07377622

16,59565

-0,48252

0,232823

8

9

28,65629371

1,54370629

2,383029

5,617483

31,55611

9

10

30,33881119

1,66118881

2,759548

0,117483

0,013802

10

11

32,02132867

-1,72132867

2,962972

-3,38252

11,44142

11

12

33,70384615

0,09615385

0,009246

1,817483

3,303243

12

сумма

293,4

0,00000000

168,2763

0,992308

287,4113

сумма

среднее

24,45

0,00000

14,02302

0,09021

26,1283

среднее


Произведем расчет сумм, необходимых для определения статистики Дарбина-Уотсона, с помощью таблицы. Фактическое значение критерия Дарбина-Уотсона для этой модели составляет:

D = 26,12 / 14,02 = 1,86;

Сформулируем гипотезы:- в остатках нет автокорреляции;- в остатках есть положительная автокорреляция;*1 - в остатках есть отрицательная автокорреляция;

По таблицам значений критерия Дарбина-Уотсона определим для числа наблюдений n = 12 и числа независимых переменных модели k = 1 критические значения dн = 0,97 и dв = 1,33.

Получим следующие промежутки внутри интервала [0;4]:


Фактическое значение D = 1,86 попадает в зону действия гипотезы H0, следовательно, гипотеза об отсутствии автокорреляции в остатках принимается.

Список использованной литературы

1.      Канторович, Г. Г. Эконометрика. / Методические материалы по экономическим дисциплинам для преподавателей средних школ и вузов. Экономическая статистика. Эконометрика. Программы, тесты, задачи, решения./ Под ред. Гребнева Л. С. - М. : ГУ - ВШЭ,2000, − 210с.

2.       Кремер, Н. Ш., Эконометрика : учеб. пособие / Н. Ш. Кремер, Б. А. Путко. - М.: ЮНИТИ, 2009. - 311с.

3.      Магнус, Я. Р., Эконометрика: Начальный курс./ Я. Р. Магнус, Л. К. Катышев, А. А. Пересецкий − М. :Дело, 2000, − 280 с.

.        Новиков, А.И., Эконометрика. / учебное пособие А. И. Новиков. − М. : ИНФРА-М, 2007, − 144 с.

.        Практикум по эконометрике. / под ред. Елисеевой И. И. - М. : Финансы и статистика, 2006, −120 с.

.        Тихомиров, Н. П. Эконометрика : учебник / Н. П. Тихомиров, Е. Ю. Дорохин − М.:Экзамен, 2010.−512 с.