Материал: Основные направления улучшения использования основных фондов

Внимание! Если размещение файла нарушает Ваши авторские права, то обязательно сообщите нам

Известно, что от совершенства системы морального и материального стимулирования в значительной степени зависит уровень использования основных фондов, так у работников должен быть стимул работать на этом оборудовании и получить него как можно больше.

Любой комплекс мероприятий по улучшению использования основных фондов, разрабатываемый во всех звеньях управления, должен предусматривать обеспечение роста объемов производства продукции, прежде всего, за счет более полного и эффективного использования внутрихозяйственных резервов и путем более полного использования машин и оборудования, ликвидации простоев, сокращение сроков освоения вновь вводимых в действие мощностей, дальнейшей интенсификации производственных процессов, потому как в условиях рыночной экономики только сильное предприятие с мощной технической базой, современным оборудованием в состоянии выжить.

2. Расчетная часть

.1 Расчет производственной мощности предприятия

Производственной мощностью предприятия называется максимально возможный выпуск продукции в единицу времени при наиболее полном использовании ведущего технологического оборудования. Производственная мощность предприятия определяется по формуле:

, (1)

где: Nоб - количество единиц установленного оборудования, шт.;

Поб - техническая норма производительности данного оборудования, ед. продукции/час;

ФРВ - эффективный фонд рабочего времени, час.

Подставляем данные в формулу и получаем ответ:


Следует произвести анализ соотношения производственной мощности и производственной программы. Это удобно сделать в таблице 1.

Таблица 1 - Производственная мощность и производственная программа цехов (единиц продукции)

Производственная мощность

Прогнозируемый спрос

Избыток, недостаток

Производственная программа

1209080

1200000

+9080

1200000


Поскольку спрос меньше производственной мощности, можно сделать вывод, что приобретать дополнительное оборудование не следует.

2.2 Структура основных производственных фондов предприятия и смета капитальных затрат

Составляем таблицу структуры основных производственных фондов предприятия или цеха.

Определяем среднегодовую стоимость активной части основных производственных фондов (СсгОПФ):

 , (2)

Где: Снг - балансовая стоимость активной части основных производственных фондов на начало года, тыс. руб.;

Снов - первоначальная стоимость активной части вводимых основных производственных фондов в течение года, тыс. руб.;

Свыб - стоимость активной части ликвидируемых (выбывающих) основных производственных фондов в течение года, тыс. руб.;

Мнов - количество полных месяцев функционирования активной части вновь вводимых основных производственных фондов до конца года, мес.;

Мвыб - количество полных месяцев, в течение которых активная часть ликвидируемые основные производственные фонды не функционировали до конца года, мес.

Таблица 2 - Структура основных производственных фондов


Наименование

Стоимость на начало года (тыс.руб)

Стоимость вводимого оборудования (тыс.руб)

Стоимость выбывающего оборудования (тыс.руб)

Стоимость на конец года (тыс.руб)

Среднегодовая стоимость (тыс.руб)

Мощность потребляемая 1 ед. электрооборудования, КВт

Потребляемая мощность электрооборудования, КВт

Удельный вес основных фондов на начало года, %

Удельный вес основных фондов на конец года, %

1

2

3

4

5

6

7

8

9

10

11

2

Здания и сооружения

6650



6317,5




25

24,18

3

Оборудование, в том числе:

14630

2260

1203

15540,7

16188,15

110

3180

55

59,5

3.1

А) машины

5320

1130

601,5

5795,3


75

1500

20


3.2

Б) станки

9310

1130

601,5

9745,4


35

1680

35


4

Транспортные средства, в том числе:

2660



1995




10

7,6

4.1

А) автотранспортные средства

1197



897,75




4,5


4.2

Б) другое

1463



1097,25




5,5


5

Вычислительная техника

1862



1629,25



300

7

6,23

6

Прочие  4046,32

798



638,4



250

3

2,44

7

ИТОГО

26600

2260

1203

26120,85

16188,15



100

100



 

Необходимо так же определить коэффициент обновления и коэффициент выбытия.

Коэффициент обновления (Кобн) определяется по формуле:

Кобн = Сопф нов : Сопф кон год , (3)

Где: Сопф нов - первоначальная стоимость активной части вводимых основных производственных фондов в течение года, тыс. руб.;

Сопф кон год - стоимость активной части основных производственных фондов на конец года, тыс. руб.

 

Коэффициент выбытия (Квыб) определяется по формуле:

Квыб = Сопф выб : Сопф нач год, (4)

Где: Сопф выб - стоимость активной части ликвидируемых (выбывающих) основных производственных фондов в течение года, тыс. руб.;

Сопф нач год - балансовая стоимость активной части основных производственных фондов на начало года, тыс. руб.

 

2.3 Расчет затрат по труду

.3.1 Расчет годового фонда рабочего времени

Расчет численности рабочих начинается с разработки проектного баланса рабочего времени на год. При этом учитывается режим работы предприятия, непрерывность производства, сменность, продолжительность рабочей недели, календарное число дней в году, количество выходных и праздничных дней, плановые невыходы на работу, предусмотренные законодательством о труде. Эффективный фонд рабочего времени (ФРВ) определяется в днях и часах (годовое нормативное время на 1-го работника). Численность вспомогательных рабочих, руководителей, специалистов и служащих определяется на основе норм обслуживания.

ФРВ рассчитывается по формуле (в час):

 

где:

Дк - дни календарного года (365 дней);

Двых - выходные дни (118 дней);

Дпразд - праздничные дни (12 дней);

Дотп - дни отпуска (24 дня);

Ддоп отп - дни дополнительного отпуска (1,5 дней);

Дув - дни невыхода на работу по уважительной причине (0 дней);

Тсм - продолжительность смены (8 часов);

Тсокр - сокращенное время работы в предпраздничные дни (6 часов).

Подставляем данные в формулу и получаем ответ:

 часов

2.3.2 Расчет численности рабочих по категориям

По категориям персонал подразделяется на группы:

рабочие (основные и вспомогательные), занятые в производстве продукции или его обслуживанием;

специалисты и руководители, осуществляющие организацию производственного процесса и руководство им;

служащие, выполняющие сбытовые, снабженческие, финансовые, расчетные и учетные функции.

Численность основных рабочих рассчитывается по формуле:

 , (6)

где:

Чяв осн р - количество основных рабочих, человек;

Тр - годовая трудоемкость работ согласно производственной программе (300 тысяч чел -час);

ФРВ - фонд рабочего времени, (1670 час);вн - коэффициент выполнения норм выработки (1,1).

Подставляем данные в формулу и получаем ответ:


Расчет численности руководителей, специалистов и служащих производится по формуле:

 , (7)

где: ЧРСС - численность РСС, чел;

Чяв осн р - количество основных рабочих, чел.

Подставляем данные в формулу и получаем ответ:

Расчет явочной численности вспомогательных рабочих производится по формуле:

 , (8)

где:

Чвсп - явочная численность вспомогательных рабочих, чел;

Чосн - явочная численность основных рабочих, чел.

Подставляем данные в формулу и получаем ответ:


В данном разделе необходимо составить таблицу 2.

Таблица 2 - Структура кадров предприятия

Категории рабочих

Количество человек

Разряд работ

Форма оплаты труда, размер тыс. руб.

1. Рабочие




- основные, в т. ч.: а) токарь б) фрезеровщик в) расточник

197 50 70 77

 4 3 2

 39,44 ЧТС 53,36  77,72

- вспомогательные. В т.ч.: а)слесарь-ремонтник б) наладчик в) крановщик

78 40 20 18

 3 3 3

 47,84 ЧТС 47,84 47,84

2.Руководители, специалисты и служащие: а) ген. директор б) зам. директора по производству в) зам. директора по маркетингу г) зам.директора по безопасности д) главный бухгалтер е) бухгалтер цеха ж) бухгалтер

49  1 4 5 16 4 16 3

      Оклад

  5000 4500 4500 4500 4500 3500 3500

Итого

324


30000



Для расчета списочного контингента используется коэффициент замещения, величина которого учитывает как находящихся в отпуске, так и отсутствующих на работе по болезни работников.

 , (9)

где:

Чсп - списочная численность работников;

Чяв.осн р - явочная численность основных рабочих;

Чяв.всм р - явочная численность вспомогательных рабочих;

Кзам - коэффициент замещения, %.

Коэффициент замещения принимаем за 0,12. Подставляем данные в формулу, получаем ответ:

.3.3 Разработка внутрипроизводственной тарифной сетки

Системы оплаты труда будут базироваться на внутрипроизводственной тарифной сетке. Для расчета заработной платы работников предприятия необходимо разработать тарифную сетку для основных и вспомогательных рабочих. Часовые тарифные ставки соответствующего разряда определяются путем умножения тарифной ставки первого разряда на соответствующий тарифный коэффициент. Результаты расчета оформляем в виде тарифной сетки.

Таблица 3 - Внутрипроизводственная тарифная сетка

Разряды

1

2

3

4

5

Тарифные коэффициенты

1,0

1,36

1,84

2,68

3,62

Ставка первого разряда основных рабочих

29

ЧТС основных рабочих

29

39,44

53,36

77,72

104,98

Ставка первого разряда вспомогательных рабочих

26

ЧТС вспомогательных рабочих

26

35,36

47,84

69,68

94,12


.3.4 Расчет фондов заработной платы (ФЗП) рабочих по категориям

Рассчитываем среднюю тарифную ставку основных рабочих: средняя тарифная ставка определяется путем деления суммы тарифных ставок соответствующих разрядов основных рабочих на их численность.

Теперь найдем тарифную часть заработной платы, которая рассчитывается по формуле:

, (10)

где:

С тч ср - средняя тарифная ставка, руб/час;

Тр - годовая трудоемкость, чел-час (строка 1 Приложения В).

Подставляем данные в формулу, получаем ответ:

Рассчитываем величину доплаты за вредные условия труда. Доплата за вредные условия труда начисляются основным рабочим, которые выполняют работы, предусмотренные отраслевым перечнем работ с тяжелыми и вредными, особо тяжелыми и особо вредными условиями труда, в процентах к тарифной ставке (окладу) в размерах, установленных по предприятию "Положением о труде и заработной плате":

 , (11)

где:

% Допл вредн - процент к тарифной ставке (в десятичных дробях) в размерах, установленных на предприятие "Положением о труде и заработной плате" за вредные и тяжелые условия труда (4 процента).

Подставляем данные в формулу и получаем ответ:


Рассчитаем величину премии, которая рассчитывается по формуле:

 , (12)

где:

% премии - размер премии (в десятичных дробях), %

Подставив данные в формулу, получим ответ:

Рассчитаем основную заработную плату основных рабочих. Основная заработная плата основных рабочих рассчитывается по формуле:

 , (13)

где:

Премия - премия, руб;

Допл.вред -доплата за вредные условия труда, руб.

Подставив данные в формулу, получим результат:

 

Определим трудоемкость работ вспомогательных рабочих. Трудоемкость вспомогательных работ рассчитывается по формуле:

Тр вспом. = Тр · 0,4 (чел-час) (14)

где Тр - объем работ по заданию (производственная программа), чел-час ;

Подставим данные в формулу:

Тр вспом. = 300000*0,4=120000

Определяется среднюю тарифную ставку. Средняя тарифная ставка определяется путем деления суммы тарифных ставок соответствующих разрядов вспомогательных рабочих на их численность; 3 - определяется тарифная часть заработной платы:

Стч ср=

Тарифная часть заработной платы рассчитывается по формуле:

Тариф. часть зар/пл вспом работн = Стч ср · Тр вспом (руб.) (15)

где Стч ср - средняя тарифная ставка вспомогательных рабочих, руб/час;

Тр вспом - трудоемкость вспомогательных работ, чел-час.

Подставим данные в формулу

 

Определим величину премии. Премия рассчитывается по формуле:

Премия = % премии · Тариф.часть зар.пл вспом рабоч (руб) (16)

где % премии - размер премии (в десятичных дробях), % (строка 10 Приложения В)

 

Определим основную заработную плату. Основная заработная плата вспомогательных рабочих рассчитывается по формуле:

ОЗП = Тариф.часть зар.пл + Премия (руб)

 

Для расчета основной заработной платы РСС применяется формула:

 , (17)

 

Подставляем данные в формулу и получаем ответ:



Премия рассчитывается по формуле:

, (18)

% премии - размер премии (в десятичных дробях), % (строка 10 Приложения В)

Подставляем данные в формулу, получаем ответ:

 

.3.5 Расчет дополнительной заработной платы

В фонд дополнительной заработной платы включаются:

-       оплата очередных, дополнительных и учебных отпусков;

-       оплата времени исполнения государственных обязанностей;

-       прочие доплаты (доплата за выслугу лет).

Дополнительная заработная плата основных рабочих рассчитывается по формуле:

ДЗП осн рабоч = % ДЗП · Тариф.часть зар.пл осн рабоч (руб) (18)

где % ДЗП - процент дополнительной заработной платы основных рабочих в десятичных дробях, принять за 10 %


Дополнительная заработная плата вспомогательных рабочих рассчитывается по формуле:

ДЗП вспом рабоч =%ДЗП·Тариф.часть зар.пл вспом рабоч (руб) (20)

где % ДЗП - процент дополнительной заработной платы вспомогательных рабочих в десятичных дробях, принять за 10 %


Дополнительная заработная плата руководителей, специалистов и служащих рассчитывается по формуле:

ДЗП РСС = %ДЗП · ОЗПРСС (21)

где % ДЗП - процент дополнительной заработной платы в десятичных дробях, принять за 10 %;

ОЗПРСС - основная заработная плата РСС (руб).


2.3.6 Расчет фонда заработной платы

Фонд заработной платы основных рабочих рассчитывается по формуле:

ФЗП осн рабоч = ОЗП осн рабоч + ДЗП осн рабоч (руб)


Фонд заработной платы вспомогательных рабочих рассчитывается по формуле:

ФЗП вспом рабоч = ОЗП вспом рабоч + ДЗП вспом рабоч (22)

=7750080+57408=7807488

Фонд заработной платы руководителей, специалистов и служащих рассчитывается по формуле:

ФЗП рсс = ОЗП рсс + ДЗП рсс (23)


.3.7 Расчет среднемесячной заработной платы

Среднемесячную заработную плату основных рабочих можно рассчитать по формуле:

 (23)

где ЗП ср.мес - среднемесячная заработная плата основного рабочего, руб.;

Чосн р - количество основных рабочих, чел.

- число месяцев в году.


2.3.8 Расчет единого социального страхового взноса

Отчисления во внебюджетные фонды, относимые на себестоимость работ, представлены в таблице 5. Ставки отчислений принять по действующим ставкам на момент выполнения курсовой работы.

Таблица 5 - Расчет социального страхового вноса

Наименование внебюджетных фондов

% Отчислений от ФЗП

Сумма отчислений



Основные рабочие

Вспомогательные рабочие

РСС

Пенсионный фонд России

22

4303134

1705017.6

98010

Фонд социального страхования

2,9

567231,3

224752,32

12919,5

Фонд обязательного медицинского страхования

5,1

997544,7

395254,08

22720,5

Итого

30

5868000

2325024

133650


.3.9 Расчет фонда заработной платы с отчислениями во внебюджетные фонды

Расчет фонда заработной платы основных рабочих с отчислениями во внебюджетные фонды можно произвести по формуле:

ФЗП отч есн осн рабоч = ФЗП осн рабоч + ССВ осн рабоч (24)

Где:

ФЗП отч.есн осн рабоч - фонд заработной платы основных рабочих с отчислениями во внебюджетные фонды, руб.;

ФЗП осн рабоч - фонд заработной платы основных рабочих, руб.;

ССВ осн рабоч - взнос в социальные страховые фонды от ФЗП основных рабочих, руб.

 5868000=25590000

Расчет фонда заработной платы вспомогательных рабочих с отчислениями во внебюджетные фонды можно произвести по формуле:

ФЗП отч есн всп рабоч = ФЗП всп рабоч + ССВ всп рабоч (25)

ФЗП отч.есн всп рабоч - фонд заработной платы вспомогательных рабочих с отчислениями во внебюджетные фонды, руб.;

ФЗП всп рабоч - фонд заработной платы вспомогательных рабочих, руб.;

ССВ всп рабоч - взнос в социальные страховые фонды от ФЗП вспомогательных рабочих, руб.


Расчет фонда заработной платы руководителей, специалистов и служащих с отчислениями во внебюджетные фонды можно произвести по формуле:

ФЗП рсс= ФЗП рсс + ССВ рсс (26)

ФЗП рсс- фонд заработной платы руководителей, специалистов и служащих с отчислениями во внебюджетные фонды, руб.;

ФЗП рсс - фонд заработной платы руководителей, специалистов и служащих, руб.;

ССВрсс - взнос в социальные страховые фонды от ФЗП руководителей, специалистов и служащих, руб.


.4 Расчет затрат на основные и вспомогательные материалы

.4.1 Расчет затрат на основные материалы

Расчет затрат на основные материалы выполняется укрупнено относительно основной заработной платы основных рабочих:

Мосн = 0,6 · ОЗПосн (27)

Мосн - сумма затрат на основные материалы, руб.;

,5% - отчисления от ОЗП на материалы, %.;

ОЗПосн - основная заработная плата основных рабочих, руб.

 19559700=11735820

.4.2 Расчет затрат на вспомогательные материалы

Затраты на вспомогательные расходы можно произвести по формуле:

Мвсп = 0,1 · Мосн (28)

Мвсп - сумма затрат на вспомогательные материалы, руб.;

% - доля затрат стоимости основных материалов, приходящаяся на вспомогательные, %.;

Мосн - сумма затрат на основные материалы, руб.


.4.3 Расчет суммы затрат на материалы

Сумму необходимую на материалы можно рассчитать по формуле:

Мобщ=Моснвспом (29)

где Мобщ - общая сумма затрат на материалы, руб;

Мосн - сумма затрат на основные материалы, руб;

Мвспом - сумма затрат на вспомогательные материалы, руб.


.5 Расчет затрат на электроэнергию, водоснабжение и теплоснабжение

.5.1 Расчет действительного фонда времени работы оборудования

Для расчета этой группы затрат необходимо выполнить расчет действительного фонда времени работы оборудования определяется формуле:

 (30)

где Дк - календарная продолжительность периода, дн.

Двых - выходные дни;

Дпразд - праздничные дни;

Кисп - коэффициент использования времени, (0,95);

Тсм - продолжительность рабочей смены, час;

Среж- сменный режим работы предприятия.


.5.2 Расчет затрат на электроэнергию

Определение потребности электроэнергии предприятия для выполнения производственной программы.

Потребность предприятия в электрической энергии можно рассчитать по формуле:

 (31)

где Gдв -энергия на технологические цели, КВт-ч;хб - потребность в электрической энергии на хозяйственно-бытовые (освещение) нужды, Квт-ч.;

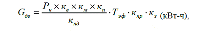
Потребность в энергии на технологические цели (Gдв) определяется по формуле:

 (32)

Рн - номинальная мощность электродвигателя технологического оборудования, кВт;

кв - коэффициент использования двигателя по времени (0,7);

км - коэффициент использования двигателя по мощности (0,8);

кп - коэффициент, учитывающий потери в сетях (1,15);

кпд - коэффициент полезного действия электродвигателя (0,8).

Тэф - действительный (эффективный) фонд времени работы оборудования в плановом периоде, ч;

кпр - коэффициент применяемости данного вида оборудования на предприятии, (0,2);

кз - коэффициент загрузки данного вида оборудования по времени (0,75).


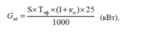
Хозяйственно-бытовая энергия расходуется на освещение, вентиляцию, отопление и другие бытовые цели. Годовую потребность электроэнергии для освещения рабочих мест рассчитывают по формуле укрупнено:

 (33)

S - площадь производственно-бытовых помещений, м2;

ко - средний коэффициент одновременной работы потребителей электроэнергии (при двусменной работе ко=0,6, при трехсменной работе ко=0,8, при четырехсменной работе ко=1).


Расчет затрат на электроэнергию

Затраты на электроэнергию рассчитаем по формуле:

 (34)

Сэл - стоимость затрат на электроэнергию, руб.;дв - расход технологической электроэнергии, кВт-ч.;х.б. - расход электроэнергии на освещение помещения, кВт-ч.;

Ц1 кВт · ч, руб.


.5.3 Расчет затрат на водоснабжение

Расчет расхода воды на бытовые и прочие нужды

Расход воды на бытовые и прочие нужды рассчитывается по формуле:

 (35)

Нвб - расход воды на бытовые и прочие нужды норма расхода воды на одного работающего в смену, м3. Она определяется из расчета: 25 литров для хозяйственно-питьевых нужд; 40 литров для душевых в производствах связанных с загрязнением;

Чяв - явочная численность рабочих;

ФРВдн - фонд рабочего времени, дн.;

,3 - коэффициент, учитывающий расход воды на прочие нужды для групповых умывальников (в чистых и загрязненных производствах).


Расчет расхода воды на оборудование

Расход воды на оборудование (технологические нужды) рассчитывается по формуле:

 (36)

Нв.об - расход воды на единицу оборудования (в учебных расчетах примем 15 литров в час), л/час.

Тэф - действительный фонд времени работы оборудования;об - количество единиц оборудования, для которых необходима вода (50 %); Кз - коэффициент загрузки оборудования (0,75).


Расчет затрат на водоснабжение

Затраты на водоснабжение можно рассчитать по формуле:

 (37)

Св - стоимость затрат на водоснабжение, руб;вб - расход воды на бытовые и прочие нужды, м3;в об - расход воды на оборудование, м3;

Ц1м3 - цена 1 м3 воды для предприятий (включая стоки), руб.


.5.4 Расчет затрат на теплоснабжение

Затраты на пар для отопления, которые определяются, исходя из расхода пара на 1 м3 здания по формуле:

 (38)

Qвб - расход тепла на 1 м3 здания (в учебных расчетах 05), Гкал/час;- объем здания, м3;

Тоm - продолжительность отопительного сезона, час.;

Ц1Гкал- цена 1 Гкал пара, руб.;

,0540 - теплота испарения, Гкал / м3.


Продолжительность отопительного сезона рассчитаем, применив формулу:

 (39)

Мот - количество месяцев отопительного сезона в регионе (7 месяцев), мес.


Таблица 6 - Смета затрат на производство

Статьи затрат на производство

Сумма затрат (руб)

Прямые затраты ФЗП отч производственных рабочих Затраты на основные и вспомогательные материалы

 35722512 12909402

Общецеховые расходы на производственные нужды (косвенные) Затраты на электроэнергию Затраты на водоснабжение Затраты на теплоснабжение

 1346289,93 1764358,95 894250

Итого затрат на производство

∑52636812.9


.6 Расчет общехозяйственных и общепроизводственных расходов

Общехозяйственные и общепроизводственные расходы - это расходы, связанные с управлением, организацией и обслуживанием производства в масштабе цеха и предприятия.

К этим расходам относятся:

ФЗП с отчислениями во внебюджетные фонды вспомогательных рабочих вспомогательных производств;

ФЗП с отчислениями во внебюджетные фонды руководителей, специалистов и служащих (РСС);

затраты на содержание и ремонт зданий и сооружений;

затраты на содержание и ремонт оборудования;

амортизация основных фондов;

износ малоценного хозяйственного инвентаря и приспособлений;

затраты на организацию противопожарных мероприятий и технику безопасности;

прочие накладные расходы.

.6.1 Расчет затрат на текущий ремонт зданий и сооружений

Затраты на текущий ремонт зданий и сооружений рассчитаем по формуле:

ТРзд = Сзд · 0,02 (руб.) (40)

ТРзд - затраты на текущий ремонт зданий и сооружений, руб.;

Сзд - стоимость зданий и сооружений, руб.


.6.2 Расчет затрат на содержание зданий и сооружений

Затраты на содержание зданий и сооружений можно рассчитать по формуле:

Ссод.зд = Сзд · 0,04 (руб.) (41)

Ссод.зд - затраты на содержание зданий и сооружений, руб;

Сзд - стоимость зданий и сооружений, руб.


.6.3 Текущий ремонт производственного оборудования, транспортных средств и ценных инструментов

Затраты на текущий ремонт производственного оборудования, транспортных средств и ценных инструментов можно рассчитать по формуле:

ТРобор = Соб · 0,05 (руб.) (42)

где ТРобор - затраты на текущий ремонт оборудования, руб.;

Соб - стоимость оборудования, руб.


.6.4 Расчет амортизации основных фондов

Нормы амортизационных отчислений (%) по группам ОПФ представлены в таблице 7.

Таблица 7 - Нормы амортизационных отчислений по группам ОПФ




Расчет амортизационных отчислений на здания и сооружения. Отчисления на амортизацию зданий и сооружений определяются по усредненным нормативам от стоимости зданий и сооружений.

 (44)

Азд - амортизационные отчисления на здания и сооружения, руб.а.зд - норма амортизационных отчислений от стоимости зданий и сооружений, %;

Сзд - стоимость зданий и сооружений, руб.


Расчет амортизационных отчислений на оборудование. Амортизационные отчисления на оборудование можно рассчитать по формуле:

 (45)

Аоб - амортизационные отчисления на оборудование, руб.;а.об - норма амортизационных отчислений от стоимости оборудования, %;

Соб - стоимость оборудования, руб.


Расчет амортизационных отчислений на транспортные средства Амортизационные отчисления на транспортные средства можно рассчитать по формуле:

 (46)

Атс - амортизационные отчисления на транспортные средства, руб.а.тс - норма амортизационных отчислений от стоимости транспортных средств, %.

Стс - стоимость транспортных средств, руб;


Расчет амортизационных отчислений на вычислительную

Технику. Амортизационные отчисления на вычислительную технику можно рассчитать по формуле:

 (47)

Авт - амортизационные отчисления на вычислительную технику, руб.;а.вт - норма амортизационных отчислений от стоимости вычислительной техники, %;

Свт - стоимость вычислительной техники, руб.


Расчет амортизационных отчислений на прочие фонды. Амортизационные отчисления на прочие фонды можно рассчитать по формуле:

 (48)

Апр - амортизационные прочие фонды, руб.;а.пр - усредненная норма амортизационных отчислений от

стоимости прочих фондов, %;

Спр - стоимость прочих фондов, руб.


2.6.5 Затраты на организацию техники безопасности и охрану труда

Затраты на организацию техники безопасности и охрану труда составляют 3% от суммы основной заработной платы всех рабочих:

ТБиОТ = ΣОЗП · 0,03 (руб.) (49)

ΣОЗП - основная заработная плата всех рабочих, руб.



2.6.6 Затраты на противопожарные мероприятия

Затраты на противопожарные мероприятия составляют 1% от суммы основной заработной платы рабочих.

ППМ = ΣОЗП · 0,01 (руб.) (50)


.6.7 Затраты на хозяйственный инвентарь и приспособления

Затраты на приобретение хозяйственного инвентаря и приспособлений составляют 10% от стоимости оборудования.

МИП = Соб · 0,1 (руб.) (51)


.6.8 Расчет прочих накладных расходов


ПНР = 0,02 x (52)


Таблица 8 - Смета общехозяйственных и общепроизводственных расходов

Наименование статей затрат

Сумма (руб)

ФЗП РСС с отчислениями ЕСН

583550

ФЗП вспомогательных рабочих с отчислениями ЕСН

10132512

Текущий ремонт зданий и сооружений

133000

Содержание зданий и сооружений

266000

Текущий ремонт оборудования

731500

Амортизация основных фондов

28522850

Затраты на ТБ и ОТ

819293,4

Противопожарные мероприятия

273097,8

Стоимость хозяйственного инвентаря и приспособлений

1463000

Прочие накладные расходы

858496,064

Итого

∑43783299,3


Таблица 9 - Смета производственной себестоимости продукции (работ)

Наименование статей затрат

Сумма (руб)

Прямые затраты

48631914

Общехозяйственные и общепроизводственные затраты

43783299,3

Итого производственная себестоимость продукции (работ)

∑92415213,3


.7 Смета полных затрат на производство годового объема продукции (работ). Коммерческая себестоимость

Смета полных затрат представлена в таблице 10.

Расчет коммерческих (внепроизводственных) расходов

Расходы на тару, упаковку, транспортировку, комиссионные сборы и отчисления сбытовым организациям, затраты на рекламу и прочие расходы по сбыту продукции. Допускается расчет калькуляционной статьи "Коммерческие расходы" по следующей формуле:

С ком = С/С произв · 0,07 (руб.) (53)

С/С произв - производственная себестоимость (Руб) (итог таблицы 9).

 

Все проведенные выше расчеты по статьям калькуляции сводим в таблицу 10.

Таблица 10 - Смета полных затрат (коммерческая себестоимость)

Наименование статей затрат

Сумма (руб)

Прямые затраты

48631914

Общехозяйственные и общепроизводственные затраты

43783299,3

Итого производственная себестоимость продукции (работ)

92415213,3

Коммерческие расходы

6469064,93

Полная коммерческая себестоимость продукции (работ)

98884278,2


.8 Расчет отпускной цены продукции

Расчет отпускной цены выпущенной готовой продукции выполняется по формуле:

 (54)

- полная коммерческая себестоимость продукции, руб.;

Спн - планируемая величина прибыли, 12% от полной коммерческой себестоимости, руб;

НДС - налог на добавленную стоимость принимается по действующему законодательству (18% от суммы фондов заработной платы с отчислениями всех категорий работников предприятия, амортизационных отчислений и планируемой величины прибыли), руб.

 

2.9 Расчет прибыли от реализации продукции

Прибыль - финансовый результат деятельности предприятия. Прибыль от реализации продукции определяется по формуле:

Пр = Сгп -  (руб.) (55)

Сгп - стоимость выпущенной готовой продукции, тыс.руб.

- полная коммерческая себестоимость продукции, руб.

 

.10 Мероприятия по улучшению работы предприятия

.10.1 Расчет средней себестоимости единицы продукции

Среднюю себестоимость единицы продукции можно рассчитать по формуле:

Сс1 ед.прод = : Q (руб.) (56)

Сс1 ед.прод. - себестоимость 1 ед. продукции, руб

- полная коммерческая себестоимость по смете таблице 10, руб.- объем продукции согласно производственной программе (таблица 1), шт.

 

Часовая выработка одного основного рабочего (доля стоимости единицы продукции, приходящаяся на 1 час работы основных производственных рабочих) рассчитывается по формуле:

Сс1 чел-час = : Тр (руб.) (57)

Сс1 чел-час - себестоимость, руб/1 чел-час;

- полная коммерческая себестоимость по смете таблице 10, руб.

Тр - производственная программа предприятия, чел-час.

 

2.10.2 Расчет себестоимости продукции, полученной в результате проведенных организационно-технических мероприятий

Себестоимость продукции, полученной в результате проведенных организационно-технических мероприятий, можно рассчитать по формуле:

 (58)

где - плановая себестоимость единицы продукции после внедрения организационно-технических мероприятий по снижению затрат на производство, руб/ед;

% Сc.сниж. - процент планового cнижения себестоимости, %;

- средняя себестоимость единицы продукции базового периода до внедрения мероприятий, руб/ед..

 

.10.3 Расчет годового экономического эффекта, полученного в результате снижения себестоимости

Годовой экономический эффект, полученный в результате снижения себестоимости, можно рассчитать по формуле:

Э год = ( - ) · (59)

Эгод - годовая экономия, полученная за счет снижения себестоимости, руб.;

- плановая себестоимость единицы продукции после внедрения организационно-технических мероприятий по снижению затрат на производство, руб/ед;

- средняя себестоимость единицы продукции базового периода до внедрения мероприятий, руб/ед..

Q - объем продукции согласно производственной программе (таблица 1), шт.

 

.10.4 Расчет срока окупаемости капитальных вложений

Срок окупаемости капитальных вложений можно рассчитать по формуле:

 (60)

где Ток - срок окупаемости, год;

ΔК - дополнительные капиталовложения, предполагающие принципиальное изменение технологии, руб. (принять за 900 млн. руб);

Эгод - годовая экономия, руб.

 

.10.5 Расчет рентабельности проекта

Рентабельность - это отношение величины чистой прибыли (сметная прибыль) к общей сумме капитальных затрат.

R = ((Спн + Эг) : ΔК) · 100 % (61)

Спн - сметная прибыль, руб; Эгод - годовая экономия, руб;

ΔК - дополнительные капиталовложения, предполагающие принципиальное изменение технологии, руб.

 

.11 Расчет технико-экономических показателей работы предприятия

Эффективность проекта оценивается с помощью системы показателей. В международной практике используется статистический метод обоснования проектов, который включает использование ряда показателей, расчет которых приведен ниже.

2.11.1 Фондоотдача

Фондоотдача может быть рассчитана по формуле:

 (62)

С - стоимость выпущенной готовой продукции, руб;

Сопф - среднегодовая стоимость активной части основных фондов, руб.

Среднегодовая стоимость активной части основных фондов определялась в разделе 3.2

 

.11.2 Фондоемкость

Фондоемкость можно рассчитать по формуле:

 (63)

 

.11.3 Фондовооруженность труда

Фондовооруженность труда можно рассчитать по формуле:

 (64)

Сопф - среднегодовая стоимость активной части основных фондов, руб (расчет представлен в разделе 3.2) .

Ч - численность основных рабочих, чел.


.11.4 Энерговооруженность труда

Энерговооруженность труда можно рассчитать по формуле:

 (65)

Руст - установленная мощность производственного оборудования, кВт.


.11.5 Электровооруженность труда

Электровооруженность труда можно рассчитать по формуле:

 (66)

Gдв - расход электроэнергии на технологические цели, кВт-час.



2.11.6 Производительность труда на одного основного рабочего

Производительность труда на одного основного рабочего можно рассчитать по формуле:

ПТ = Q : Ч основ.рабоч.(ед. прод.) (67)

Q - объем товарной продукции в натуральном выражении

ПТ= 1200000/197=6091,37

2.11.7 Производительность труда на одного работающего

Производительность труда на одного работающего можно рассчитать по формуле:

ПТ = Q : (Ч основ.рабоч. + Ч вспом. рабоч.)(ед. прод.) (68)

Q - объем товарной продукции в натуральном выражении

ПТ=1200000/197+78=4363,64

2.11.8 Расчет рентабельности труда

Рентабельность труда определяется по формуле:

Rтр = Спн : (ФЗП осн рабоч + ФЗП вспом рабоч + ФЗП рсс) (руб), (69)

Спн -планируемая величина прибыли (руб).

 

2.11.9 Рентабельность основного капитала

Рентабельность основного капитала определяется по формуле:

Rок = Пр : СсгОПФ (руб) (70)

Пр - прибыль от продаж (руб);

СсгОПФ - среднегодовая стоимость активной части основных фондов (Руб).

 

.12 Сводная таблица технико-экономических показателей работы предприятия

Технико-экономические показатели работы предприятия необходимо заполнить в виде таблицы 11.

Таблица 11 - Технико-экономические показатели работы предприятия

Наименование показателей

Единица измерения

Значение

Объем выпуска продукции (объем выполненных работ)

Тыс.ед/(чел.час)

1200

Стоимость основных фондов на конец года

Тыс. руб

26120,85

Стоимость оборудования на конец года

Тыс. руб

15540,7

Стоимость зданий и сооружений на конец года

Тыс. руб

6317,5

Коэффициент обновления


0,145

Коэффициент выбытия


Численность основных рабочих

Чел.

197

Численность вспомогательных рабочих

Чел

78

Численность РСС

Чел

49

Общая себестоимость работ

Руб.

98842278,2

Средняя себестоимость единицы продукции

Руб.

82,4

Часовая выработка одного основного рабочего

Руб.

329,6

Годовой экономический эффект, полученный в результате снижения себестоимости

Руб

11865600

Фондоотдача

Руб/ Руб

20,6

Фондоемкость

Руб /Руб

0,049

Фондоворуженность труда

Руб./чел.

99173

Энерговооруженность труда

КВт/чел.

16,14

Электровооруженность труда

КВт'ч/чел

240,84

Производительность труда на одного основного рабочего

Единиц продукции

6091,37

Производительность труда на одного работающего

Единиц продукции

4363,64

Среднемесячная заработная плата основного рабочего

Руб./чел.

1,586

Себестоимость единицы продукции после внедрения мероприятия

Руб./чел.

72,512

Срок окупаемости

 год

7,585

Прибыль от реализации продукции

Руб.

25671217,8

Рентабельность проекта

%

Рентабельность труда

Руб.

0,42

Рентабельность основного капитала

Руб.

1,586



Заключение

В ходе проделанной работы поставленные цели и задачи были достигнуты. А именно:

)Рассмотрены основные направлени улучшени основных фондов. Выяснено на сколько важно рационально использовать основные фонды, поскольку от этого зависит эффективность данного предприятия.

) В расчетной части данной курсовой работы были проведены расчеты различных показателей деятельности предприятия. Исходя из них, можно сказать, что предприятие имеет необходимые мощности для удовлетворения спроса.

)Сформирована система показателей, характеризующая деятельность предприятия: производственная программа, объем товарной продукции, себестоимость, расчет финансовых результатов и эффективности.

)Изучены методики расчета основных показателей функционирования предприятия и влияния на величину внутренних и внешних факторов;

)Приобретены практические навыки по расчету важнейших показателей деятельности предприятия.

Список литературы

 

Экономическая учебная и специальная литература:

.        Ахмадеева. М. Экономика производства на предприятиях лесного хозяйства и лесной промышленности: учебник - Марийский государственный технический университет, 2010. - 364 с

2.      Экономика предприятия (организации): Учебник/Под ред.: Баскакова О.В., Сейко Л.Ф. - Дашков и К, 2012 г. - 370 страниц

Электронные ресурсы:

.        http://www.aup.ru/

.        http://bibliotekar.ru/

.        http://chem21.info/

.        http://www.consultant.ru/

.        http://www.consensus-audit.ru/

.        http://engineeringsystems.ru/

.        www.gks.ru

.        http://www.grosseconomic.ru/

.        http://kremlin.ru/

.        http://manager.by/

.        http://moscow.gks.ru/

.        http://www.srinest.com/

.        http://www.vedomosti.ru/