Материал: Основные фонды. Рациональное планирование в организации

Внимание! Если размещение файла нарушает Ваши авторские права, то обязательно сообщите нам

. Коэффициент выбытия ОПФ (Квыб):  

где Фнач - стоимость ОПФ на начало того же периода.

. Коэффициент прироста ОПФ (Кприр):  

. Соотношение ОПФ и непроизводственных фондов (Соф), %:


где Фопф - стоимость основных производственных фондов; Фонф - стоимость непроизводственных фондов; Ф - общая стоимость основных фондов.

. Удельный вес отдельных групп ОПФ в общей их стоимости (отраслевая структура ОПФ) (Угр.опф), %:


где Фз - стоимость зданий; Фс - стоимость сооружений; Фоб - стоимость оборудования; Фпу - стоимость передаточных устройств; Фт - стоимость транспорта; Фпроч - стоимость прочих основных производственных фондов.

. Соотношение производственного и вспомогательного оборудования в общей его стоимости (функциональная структура) (Соб), %:


где Фоб.пр - стоимость производственного оборудования; Фоб.в - стоимость вспомогательного оборудования; Фоб.общ - общая стоимость оборудования.

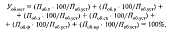
. Удельный вес отдельных видов металлорежущего оборудования в его общем количестве (технологическая структура) (Уоб.мет), %:


где Поб.уст - количество установленного оборудования; Поб.т - количество токарных станков; Поб.р - количество револьверных станков; Поб.а - количество автоматов и полуавтоматов; Побсв - количество сверлильных станков; Яобф - количество фрезерных станков; Яоб.пр - количество прочего оборудования.

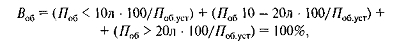
. Возрастной состав оборудования (возрастная структура)


где Поб < 10л - количество единиц оборудования до 10 лет; Поб 10 - 20л - от 10 до 20 лет; Поб > 20л - более 20 лет.

. Соотношение площадей производственного и вспомогательного назначения в общей площади (Спл), %:


где ПЛпр - производственная площадь, м2; ПЛв - вспомогательная площадь, м2; ПЛобщ - общая площадь, м2.

II. Организационно-технический уровень активной части ОПФ:

. Средний возраст смежного оборудования, входящего в систему машин или в данную технологическую схему (Вср):

где n - количество единиц установленного оборудования и неустановленного, относящегося к данной системе машин; В - возраст i-и единицы оборудования.

. Удельный вес прогрессивного смежного оборудования (Уоб.прог), %:


где Ппрог - количество единиц установленного прогрессивного оборудования. Перечень прогрессивного оборудования определяется отраслевыми нормативами.

. Показатель пропорциональности оборудования по производительности (ПКпрц):


где ПРmin - часовая паспортная производительность оборудования, входящего в данную систему машин, имеющего наименьшую из всех машин системы производительность; ПРmax - часовая паспортная производительность оборудования, входящего в данную систему машин

.Период использования в технологическом процессе, в котором работает оборудование (количество лет).

.Уровень автоматизации и механизации труда рабочих (УРав.тр)


где ТР - общая трудоемкость работ, выполняемых с использованием данного оборудования; ТРруч - трудоемкость ручных работ, выполняемых с использованием данного оборудования.

. Показатель соблюдения технологической дисциплины (ПКтхн.д):


где Пнар - количество нарушений (несоблюдений) технологических процессов, карт, режимов за период; Чр - численность рабочих данной установки (системы машин), где функционирует анализируемое оборудование.

. Уровень централизации обслуживания рабочих мест (УРц.обс):


где Пц.обс - количество операций по техническому и организационному обслуживанию рабочих мест, выполняемых центральными (заводскими) службами (доставка и заточка инструмента, техническое обслуживание оборудования, доставка документации, приспособлений, выходной контроль и др.); Поб.обс - общее количество операций по техническому и организационному обслуживанию рабочих мест за тот же период.

. Квалификационный уровень рабочих, обслуживающих данное оборудование (Укв.р):


где РЗработ - средневзвешенный разряд работ; РЗрабочего - средневзвешенный разряд рабочих, выполняющих эти работы.

. Уровень дисциплины труда работников данной системы машин (Удсц.тр):


где ФВ - месячный (квартальный, годовой) фонд времени всех работников данной системы машин, ч; РВпот - потери рабочего времени всех работников данной системы машин из-за нарушения трудовой дисциплины за тот же период.

. Показатель текучести кадров, обслуживающих данную систему машин (ПКтек):


где Чув - численность уволившихся в течение года работников, обслуживающих данную систему машин; Ч - среднегодовая численность работников, обслуживающих данную систему машин.

. Удельный вес премий за улучшение использования оборудования (Упр):


где Зпр - сумма премий, выплаченных в течение года всем работникам, обслуживающим данную систему машин, за улучшение использования оборудования системы; ФОТ - годовой фонд заработной платы работников, обслуживающих данную систему машин.

III. Использование основных фондов:

1.  а) Фондоотдача (ФО):

где Q - стоимость реализованной продукции; Фсрг - среднегодовая стоимость ОПФ; ВП - стоимость валовой продукции; ТП - стоимость товарной продукции; Фопф - стоимость основных производственных фондов.

б) Фондоемкость - величина, обратная фондоотдаче.



где Чср.р - среднесписочная численность рабочих в наибольшую смену.

2.  Напряженность использования оборудования (Ноб):


3.  Напряженность использования площадей (Нпл):

(39)

5. Коэффициент годности основных фондов (Кг.оф):

(40)

где Фпер - первоначальная стоимость всех или отдельных видов, групп основных фондов; И - стоимость износа тех же основных фондов.

. Коэффициент износа различных видов или групп основных фондов (Кизн):

7. Экономическая эффективность затрат на капитальный ремонт оборудования (Экр):


где Ц - цена новой машины данной конструкции (восстановительная стоимость); Зкр - затраты на капитальный ремонт; Зж - годовая разница в расходах (затратах) по эксплуатации отремонтированной и новой машины; Т - межремонтный период, лет.

. Коэффициент использования различных видов групп наличного оборудования (Коб.нал):

где Пфакт.раб или Мфакт.раб - количество (или мощность) фактически работавшего или предназначенного к работе по плану оборудования; Поб.нал (или Моб.нал) - количество (или мощность) всего наличного оборудования.

. Коэффициент использования годного оборудования (Коб.год):


где Поб.д - количество действующего оборудования; Поб.год - количество годного оборудования.

. Коэффициент использования оборудования (Коб.исп):


где Поб.уст - количество установленного оборудования.

11. Коэффициент экстенсивного использования оборудования (Кэкст):


где Тф - фактическое время работы оборудования, ч; Тпл - время работы оборудования по норме, ч.

. Коэффициент сменности работы оборудования (Ксм):


где Дст.см - общее количество отработанных оборудованием станкосмен; n - количество установленных станков.

. Коэффициент загрузки оборудования (Кзагр):

где Ксм - коэффициент сменности; Кпл - сменность работы оборудования.

. Коэффициент интегрального использования оборудования (Кинтегр):

 

где Кинт - коэффициент интенсивности; Кэкс - коэффициент экстенсивности.

. Рентабельность основных производственных фондов (Рф):


где Пб - балансовая прибыль; Фф - стоимость ОПФ.

Одна из важнейших задач в деятельности предприятия - выявление и реализация мероприятий по улучшению и повышению эффективности использования основных фондов. К основным из них относят: 1) повышение интенсивности использования и экстенсивности нагрузки основных фондов; 2) освобождение от излишних основных фондов и сдача их в аренду; 3) повышение уровня механизации и автоматизации, концентрации, специализации и комбинирования; 4) своевременное обновление основных фондов; 5) повышение уровня квалификации работников и др.

2. Планирование как основа рационального функционирования организации. Классификация планов по признакам

Прогнозирование и планирование - главное звено системы управления занимает ведущее место среди ее функций.

Прогнозирование и планирование определяют перспективу развития и будущее состояние системы производства как объекта так и субъекта управления, вместе взятое. Являясь активным управленческим процессом оказания воздействия на систему, они усиливают темпы развития производства, способствуют вскрытию дополнительных резервов, материальных источников, требуют применения передовых методов и форм воздействия на весь производственный организм для того чтобы снизить риск принятия неправильного решения из-за ошибочной или недостоверной информации, руководство принимает обоснованные и систематизированные перспективные плановые решения. Планирование на ближнюю перспективу помогает создать единство общей цели внутри организации.

В широком смысле слова планирование - это деятельность по выработке и принятию управленческого решения.

План как система взаимосвязанных решений, направленных на достижение желаемого результата, предусматривает следующее:

. Цели и задачи. На современном этапе экономического развития осуществляется стратегия рыночной экономики, высшая цель которой - неуклонный подъем материального и культурного уровня жизни народа, создание лучших условий для всестороннего развития личности на основе дальнейшего повышения эффективности всего общественного производства.

. Пути и средства. Достижение поставленных целей, которые составляет в выборе методов совокупности взаимосвязанных действий.

. Ресурсы, необходимые для выполнения поставленных задач. Цели и задачи, поставленные в плане, должны увязываться с материальны ми, финансовыми и трудовыми ресурсами.

. Пропорции. Поддержание пропорциональности между отдельными элементами производства - важнейшее условие его эффективности

. Организация выполнения плана и контроль. Устанавливается диалектическая связь плановой работы с конечной целью производства, удовлетворением потребностей общества.

Планомерность развития производства дает возможность реализовать последовательную схему общественного процесса труда: потребность - задача - функция - решение. Каждому уровню иерархии управления сопутствует планирование как его центральное звено. Большое внимание уделяется выполнению целевых программ: повышается концентрация ресурсов, улучшается система плановых показателей с тем, чтобы стимулировать борьбу трудовых коллективов за повышение производительности труда, максимальное использование основных фондов, экономию сырья и материалов.

Совершенствование планирования дает возможность теснее увязывать решение текущих и перспективных задач отраслевого и территориального развития производства. Существуют три способа планирования: от достигнутого уровня, оптимальное и адаптивное.

Наиболее простой - от достигнутого уровня. Он не нацеливает коллектив на изыскание резервов повышения эффективности производства. Консерватизм проявляется в том, что он не требует особых усилий и знаний для реализации принятых решений. При этом способе планирования не уделяется должного внимания научно-техническому прогрессу.

Более прогрессивный способ - оптимальное планирование. Оно строится на системе научно обоснованных нормативов, экономико-математических методах, совместном рассмотрении планов взаимосвязанных объектов. Цель его - достижение наиболее высоких конечных результатов. Такое планирование часто связано с коренными качественными преобразованиями в системе, концентрацией ресурсов, сил и средств. Его недостаток.- не всегда учитываются возникающие в ходе производства на местах возможности корректировки заданий.

Широко внедряется адаптивное планирование - это планирование, которое позволяет гибко реагировать на изменения во внешней среде, т.е. учитывать их в плане и эффективно к ним приспосабливаться. Центр тяжести здесь переносится на факторы и стимулы, обеспечивающие выполнение принятых решений. При этом используются местная инициатива, резервы, изыскиваются пути дальнейшего повышения эффективности производства. Большое внимание уделяется самому процессу составления плана, его увязке со смежниками.

На современном этапе экономического развития планирование должно быть комплексным. Сначала дается анализ состояния хозяйства, различных сторон его деятельности, а затем учитываются такие факторы, как общественная потребность, имеющиеся трудовые, материальные и финансовые ресурсы. Принимается во внимание также нормативная база, сбалансированность планов на основе натуральных и стоимостных балансов, балансов производственных мощностей и труда. Планирование как функция управления имеет следующую структуру (см. рис. 1).

Рис. 1. Этапы планирования