|
Тип рельса
|
Диаметр ходового колеса, мм
|
|
200 и 300
|
400 и 500
|
600 и 700
|
800
|
900 и 1000
|
|
Плоский С выпуклой головкой
|
m для стальных колес, см
0,03 0,05 0,06 0,06 0,07 0,04 0,06 0,08 0,10 0,12
|
|
Плоский С выпуклой головкой
|
m для чугунных колес, см
0,04 0,06 0,08 0,08 0,09 0,05 0,07 0,09 0,12 0,14
|
Сопротивление от уклона подкрановых путей:
Расчетные уклоны подкрановых путей α принимают:
Для путей с железобетонным фундаментом на металлических
балках 0,001
Для путей с щебеночным основанием и деревянными шпалами. 0,002
Для подтележечных путей на мосту крана.................................... 0,002
Так как наш кран-штабелер работает в помещении, то Wв = 0
Найдем полное сопротивление передвижению крана:
Расчет сопротивлений передвижению тележки крана-штабелера без
груза.
Сопротивление трения определяется по формуле:
Сопротивление от уклона подкрановых путей:
Так как кран-штабелер работает в помещении, то Wв = 0
Полное сопротивление передвижению крана без груза:
Выбор мотор-редуктора.
Выбор мотор-редуктора для механизма передвижения крановых
тележек производят по максимально допустимому пусковому моменту двигателя, при
котором обеспечивается надлежащий запас сцепления ходового колеса с рельсом,
исключающий возможность буксования при передвижении тележки без груза в
процессе пуска.
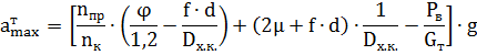
Допустимое значение ускорения тележки:
φ = 0,2 - коэффициент сцепления
ходового колеса с рельсом;
Рв= 0 - ветровая нагрузка на кран в рабочем
состоянии;- ускорение силы тяжести;
nпр - число приводных ходовых колес;
nк - общее число ходовых колес.
Определим мощность двигателя по статическому сопротивлению
при перемещении тележки с номинальным грузом:
vт = 2,5 м/с = 150 м/мин - скорость передвижения
тележки;
η0 = 0,9 - К.П.Д. передачи
при установке ходовых колес на подшипниках качения.
Число оборотов ходовых колес:
Основные параметры электродвигателя
Тип: DHE09XA4C-TF-S
Номинальная мощность (PN): 2,2 кВт
Номинальная частота вращения вала ротора (n): 1440 об/мин
Номинальный вращающий момент вала ротора (MN): 14,5 Нм
Момент инерции массы ротора (Jrot): 0,0053 кгм2
Режим работы: продолжительный S1
Основные параметры мотор-редуктора
Тип редуктора: BK2(конический редуктор)
Скорость ведущего вала: 240 об/мин
Крутящий момент (Mк): 80 Нм
Передаточное число (i): 6,02
Масса мотор-редуктора (m): 55,6 кг
Основные параметры тормоза
Тип тормоза: ESX027A9 (однодисковый тормоз с пружинами)
Момент инерции масс тормозного диска: 0,000172 кгм2
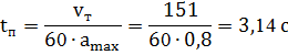
Фактическая скорость передвижения тележки:
Требуемая при этом мощность двигателя:
что соответствует мощности выбранного двигателя.
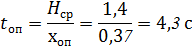
Время пуска при максимально допустимом ускорении:
Что находиться в допустимых пределах от 0,5 сек. до 5 сек.
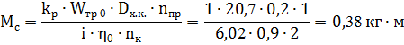
Момент сопротивления при передвижении тележки без груза:
Маховой момент двигателя
Маховой момент диска тормоза

Маховой момент вращающихся движущихся масс
Маховой момент поступательно движущихся масс
Общий маховой момент
Необходимый пусковой момент:
Номинальный момент двигателя
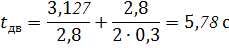
Фактическое время пуска
Тормозной момент механизма передвижения определяют при
обеспечении надлежащего сцепления ходового колеса с рельсом, которое исключило
бы возможность юза при торможении тележки, движущейся с номинальной скоростью
без груза.
Максимально допустимое замедление, при котором обеспечивается
заданный запас сцепления ходовых колес с рельсом:
Pв = 0
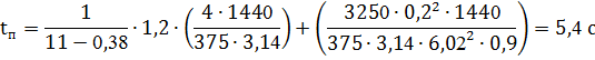
Время торможения
Уравнение моментов при торможении
Мтсо - момент сопротивления
передвижению тележки без груза при торможении
Сопротивление передвижению при торможении
Момент сопротивления, приведенный к валу тормоза:
Инерционный момент при торможении вращающихся и поступательно
движущихся масс:
Тогда тормозной момент:
При снижении скорости перед остановкой крана-штабелера для
увеличения его точности относительно ячейки устанавливаем преобразователь на
число оборотов двигателя в доводовом режиме 350 об/мин.
То инерционный момент при торможении вращающихся и
поступательно движущихся масс:
Тормозной момент:
Т.к. тормоз ESX027A9 имеет номинальный тормозной момент 22 Нм, то найдем
скорость передвижения тележки с номинальным тормозным моментом.
Применим уравнение моментов при торможении
То инерционный момент торможения будет равен:
Определим время торможения через инерционный момент при
торможении
Определим максимальное замедление тележки при tт = 2,95 с
Номинальный тормозной момент механизма передвижения не
исключает возможность юза при максимальном замедлении тележки. Для исключения
возможности юза требуется уменьшить скорость передвижения тележки.
Расчет механизма подъема
Для расчета механизма подъема, кроме его основных параметров
(грузоподъемности Q, скорости v подъема груза, высоты подъема груза), должны быть заданы
режим работы механизма и его кинематическая и конструктивная схемы.
Определение усилий в канате
Натяжение каната при подъеме каретки с грузом:
Qкар = 558 - вес каретки, кг;
Qгр = 1000 - вес груза, кг;
m = 1 - число полиспастов;
ηбл - К.П.Д. блока
полиспаста, учитывающий потери в опорах блока, а также потери, вызываемые
жесткостью каната.
ηбл = 0,98
ηкар = 0,9 - К.П.Д. каретки;
Z = 3 - число направляющих блоков.
Натяжение каната при подъеме каретки без груза:
Расчет каната
Расчет каната по Правилам Госгортехнадзора проводим по
формуле:
k - запас прочности, принимаемый по Правилам Госгортехнадзора
в зависимости от назначения каната и режима работы механизма; для грузовых
канатов при тяжелом режиме работы k=6;
Рраз - разрывное усилие каната в целом,
принимаемое по таблицам ГОСТа.
При выборе каната нужно соблюдать условие:
Pст - разрывное усилие по стандарту
По таблицам на канаты ГОСТа 2688-69 выбираем канат типа ЛК-Р
6×19 = 114 диаметром 15 мм, имеющий при расчетном пределе прочности
проволоки при растяжении, равном 160 кг/мм2, разрывное усилие Рст
= 11700 кг.
После выбора каната проверяют фактический запас его прочности
Фактический запас прочности:
Определение основных размеров и числа оборотов
барабана
Минимально допустимый диаметр барабана, измеренный по дну
канавки для каната, определяется по формуле:

e - коэффициент, принимаемый по Правилам Госгортехнадзора в
зависимости от типа грузоподъемной машины и режима ее работы. Для нашего случая
e = 30;
dк = 15 - диаметр каната, мм.
Так как увеличение диаметра барабана приводит к повышению
долговечности каната, то примем диаметр барабана Dб = 560 мм.
Число витков нарезки на барабан:
H = 12 - высота подъема груза, м;
Uп= 2 - кратность полиспаста.
Длина нарезки на барабан:
tб - шаг нарезки
Оставляем на закрепление каната с одной стороны барабана
расстояние s,
равное длине не менее четырех шагов нарезки. При tб = 17 мм примем s = 68 мм.
Тогда общая длина барабана:

Скорость каната, навиваемого на барабан, при скорости груза
120 м/мин
Число оборотов барабана в минуту:
Определяем статическую мощность двигателя при подъеме
номинального груза:
η = 0,9 - общее значение
К.П.Д.
Проверка барабана на прочность
В барабанах при соотношении параметров
напряжения изгиба и
кручения незначительны.
В этих условиях проверке подлежат лишь напряжения сжатия:
d - толщина оболочки
стального барабана.
- для стали 35Л
- для стали Ст.3
Расчет механизма передвижения вил
по двум параметрам: рабочему давлению и расходу рабочего
тела, раздельно. Привод телескопического захвата крана-штабелера осуществляется
от нерегулируемого насоса (1), имеющего постоянную частоту вращения рабочего
вала. В результате оптимизации показателя необходимо добиться выполнения
условия наиболее полной загрузки электродвигателя насосной станции по мощности.
Здесь необходимо сделать следующие предпосылки:
1. Установочная мощность приводной станции минимальна
при минимуме рабочего давления и расхода рабочего тела, т.е. p→ min и Q→ min;
2. Энергозатраты минимальны при постоянстве минимальных
значений давления и расхода в течение цикла, т.е. при pmin= const, Qmin= const.
Выбор гидроцилиндра.
Установлено, что устойчивость движения горизонтально
расположенных гидроцилиндров может быть обеспечена лишь при соотношении:
ц - диаметр цилиндра;
S - ход штока цилиндра.
L - перемещение вил;
U = 2 - передаточное число.
Перемещение вил складывается из длины поддона и зазора между
концом вил и стеллажом.
Рекомендуемая скорость поршня должна быть не более 0,5 м/с,
поэтому время выполнения операции имеет ограничение:
Принимаем Dц = 32 мм. При данном захвате зазор между концом
вил и стеллажом 0,06 м.
Сопротивление при выдвижении вил и нагнетании в штоковую
полость без прогиба:
Q = 1000 - вес номинального груза, кг;
Gз = 25 - собственный вес захвата, кг;
dр= 4 - диаметр роликов, см;
μ = 0,03 - коэффициент трения
качения.
Сопротивление при возврате вил с учетом уклона и с
нагнетанием в поршневую полость:
α = 30 - уклон вил.
Давление страгивания и холостого хода при максимальном
сопротивлении передвижению вил:
Площадь поршня:
Площадь поршня со стороны штоковой полости:
φ = 1,65 - коэффициент отношения
площадей со стороны поршневой и штоковой плоскостей.
Диаметр штока:
Площадь штока:

Расход рабочего тела при параллельной работе цилиндров:
V - объем рабочего тела, потребляемый в течение времени Т,
находим как произведение площади поршня на ход поршня:
Рабочий объем штоковой полости:
Максимальный расход штока:
Давление в штоковой полости:
Давление в поршневой полости:
В каталоге выберем гидроцилиндр типа ЦРГ32*16*s:
- номинальное давлением 16 МПа;
- максимальное давление 20 МПа;
- давление страгивания 1 МПа;
- ход поршня 630 мм.
Выбор насоса.
Номинальная мощность на валу насоса:
Из каталога по номинальной подаче и мощности выберем насос
типа НПл 40/6,3:
- рабочий объем 40 см3;
- номинальная подача 35,7 л/мин;
- номинальное давление на выходе 6,3 МПа;
- номинальная частота вращения 950 об/мин;
- максимальная частота вращения 1500 об/мин;
- минимальная частота вращения 600 об/мин;
- номинальная мощность 4,3 кВт;
- полный К.П.Д. 0,85
Выбор электродвигателя.
Мощность электродвигателя в зависимости от подачи насоса
определяется по формуле:
Q - подача насоса, л/мин;
P - давление в напорной линии, МПа;
ηп - полный КПД насоса.
N = 1,46*35,7 / 60*0,85 = 1,02 кВт
По каталогу на электродвигатели выберем электродвигатель
типа 4А80А4 с номинальной мощностью 1,1 кВт.
Выбор гидрораспределителя.
Из каталога выберем (Р1) гидрораспределитель В6:
- диаметр условного прохода 6 мм;
- номинальное давление 6 МПа;
- максимальное усилие управления на рукоятке
45 Н.
Из каталога выберем (Р2) гидрораспределитель ВЕ6 схема
574.В220.УХЛ.4
Выбор фильтра.
Для пластинчатого нерегулируемого насоса с давлением
до 6,3МПа выберем приемный (сетчатый) фильтр с номинальной
тонкостью фильтрации 40 мкм.
Выбор клапана давления.
Выберем гадроклапан давления Г54-32М:
- номинальный расход масла 32 л/мин;
- номинальный перепад давлений 0,2 МПа;
максимальное давление на входе 20 МПа.
Выбор трубопровода.
Т.к. система передвижения вил - это система низкого давления
(до 2,5 МПа), то используем аллюминивые трубы по ГОСТ 18475-82, длинной 3м.
Выбор бака.
Исходя из расхода гидроцилиндров и рабочего объема насоса
выберем бак вместимостью 200 л.
Расчет гидравлического буфера
Буферное устройство предназначено для ограничения перемещения
крана-штабелера вдоль стеллажей, путем поглощения кинетической энергии
крана-штабелера.
Задачей расчета является определение необходимого количества
отверстий, их диаметра и координат по длине цилиндра, обеспечивающих постоянное
заданное значение среднего замедления 4 м/с2 в процессе торможения
при амплитуде пульсаций тормозного усилия не более 20%.
Рассмотрим наиболее неблагоприятный случай: кран-штабелер с
номинальным грузом движется на полной скорости, двигатель привода передвижения
при заезде крана-штабелера на конечный упор продолжает работать.
Определение расчетного количества отверстий вдоль образующей
цилиндра
с учетом обозначений
v = 2,5 м/с - расчетная скорость движения крана-штабелера;
m = 4250 кг - масса крана-штабелера номинальная с
грузомноминальным;
ω = 4 м/с2 -
расчетное замедление;
R = 342 Н - сопротивление передвижениюкрана-штабелера;
с = 2 Н/м - жесткость возвратной пружины;
λ = 0,012 м - предварительное
поджатие пружины;
r = 0,85 кг/м3
- плотность рабочей жидкости;
μ = 0,6 - коэффициент расхода; для
конусообразного диффузора с углом при вершине 90°;
D = 0,08 м - диаметр поршня;
d = 0,004 м- диаметр отверстия;
z = 1 - количество одновременно работающих буферов;
P = 325 Н - усилие привода передвижения;
k - коэффициент сцепления
Дробная часть n1 числа n реализуется как отверстие диаметром:
которое располагается вблизи днища цилиндра.
Координату центра i-го отверстия, отсчитываемую от торца поршня в
его начальном положении, вычисляют по формуле:
i - порядковый номер отверстия.
Определение скорости поршня при прохождении i-го отверстия
vi-1 - скорость поршня при прохождении
предыдущего отверстия;
Si - координата центра i-го отверстия,
Si-1 - координата центра предыдущего отверстия
(S0 = 0);
li = Si - Si-1 - расстояние между соседними отверстиями;
Определение усилия на штоке непосредственно перед i-м отверстием
Определение усилия на штоке сразу же после прохождения i-го отверстия
Определение среднего значения усилия на штоке
Определение коэффициента пульсации усилия на i-ом отверстии
Определение допускаемого усилия на штоке из условия прочности
цилиндра
D1 = 0,093 м - наружный диаметр цилиндра;
ψ - коэффициент, учитывающий
концентрацию напряжений у отверстий; рекомендуемое значение равно 0,8;
σт = 360106 Па - предел текучести материала цилиндра;
φ - коэффициент запаса
прочности; рекомендуемое значение равно 1,5.
Для отверстий, отстоящих от днища цилиндра более чем на
величину диаметра поршня, должно выполняться условие:
Сравнив, усилие на штоке сразу же после прохождения отверстия
(max) и допускаемое усилие
1302 < 144820 мы видим, что условие выполняется.
6. Организация работ
.1 Условия работы складов на железнодорожном транспорте
По причине высокой производительности высотный стеллажный
склад (особенно с автоматизированным управлением) требует очень четкой
организации. В таком складе каждая операция, каждое прохождение груза пли
документа, работа каждой машины и каждое рабочее место человека должны быть
тщательно описаны, проанализированы и учтены в общем балансе работы системы.
Многие функции склада, особенно периферийных его частей (в отличие от
стеллажной складской части), являются спонтанными, например подвоз грузов по
железной дороге. Поэтому к проекту организации работ предъявляются необычайно
высокие требования.
Основной задачей при проектировании организации работ в
складе является обеспечение стабилизации стеллажной структуры - самого
дорогостоящего элемента в системе склада - и обеспечение непрерывной работы
этой структуры с максимальной производительностью на протяжении смены или
суток. Такой принцип позволяет ограничить до минимума расходы на стеллажную
часть склада и обеспечивают быструю амортизацию.
Приведенные требования к проекту организации работ вызывают
радикальное изменение прежнего понятия «проекта организации работ», который на
практике обычно складывался из описания операций, определения количества
рабочей силы и схемы зависимостей между отдельными звеньями управления складом.
Проект организации работ высотного стеллажного склада должен
на основе количественного анализа складского процесса давать инструкции по
обслуживанию прохождения грузов и информации (документов) в любой момент
прохождения (пиковый или средний) в тесной связи с окружением («вход» и
«выход») и расчетом необходимых для обеспечения заданной производительности
средств (люди и машины). В этом проекте на основе анализа различных случает,
должны быть также приведены инструкции по осуществлению операций и необходимые
средства на случай аварии отдельных элементов этой сложной системы.
В традиционном проекте организация работ в высотном
стеллажном складе разрабатывается на заключительной стадии проектирования, но в
получаемом результате содержатся все прежние технические и технологические
решения.
В современных складских системах, ориентированных на функции
и связи, организационные проблемы в одинаковой степени влияют как на
технические, так и на технологические решения. По этой причине проект
организации работ следует начинать уже на стадии разработки концепции и
продолжать вместе со всеми последующими стадиями проектирования. Установление
четкой границы между организацией и так называемой технологией складирования
является весьма затруднительным. Здесь отсутствуют какие-либо нормативные
указания. Поэтому в настоящей работе принят следующий ход рассуждений.
Для установленного процесса складирования, обусловленного
функцией склада, подбираются технические средства и проектируется организация,
обеспечивающая осуществление этого процесса с определенной производительностью.
Складские процессы вместе с техническими средствами определяют ту или иную
технологию складирования. Проект организации работ рассматривает эту технологию
в количественных категориях с учетом производительности людей и машин, а также
определяет способ управления прохождением грузов и информации во всей системе.
Достигнутое в проекте организации соответствие заданной и найденной
производительности замыкает цикл проектирования склада, в то время как в случае
несоответствия этих показателей требуется либо вносить изменения в технологию,
либо возвращаться к предшествующим стадиям проектирования.
6.2 Организация работ
Определим количество средств механизации
погрузочно-разгрузочных работ требуемых для перерабатывания однотипного
пакетного груза на складе МЧ железной дороги.
Исходные данные:
· Вид груза - пакет
· Масса груза (пакета)
- 1 т
· Емкость склада
- 1200 т
· Срок хранения
- 10 сут.
· Груз расположен на стандартном поддоне, мм
-
· Высота груза с поддоном - 1350 мм
Расчет:
. Определим суточный грузооборот склада:
- коэффициент неравномерности прибытия
отправления груза
. Определим суточный грузооборот в пакетах:
. Определим среднюю загрузку вагона:

Vв - внутренний объем крытого вагона, м3
kу = 0,85-0,9 - коэффициент учитывающий плотность
укладки
Vп - объем одного пакета, м3
Объем всех пакетов
Внутренний объем крытого вагона выбираем
Для перевозки тарно-штучных грузов принимаем крытый
четырехосный вагон грузоподъемностью 65 т.
. Определим число железнодорожных вагонов (суточный
вагонопоток), в которых поступает груз:
Т.к. в вагон вмещается 65 пакетов, следовательно, в два
вагона вмещается 130 пакетов, а оставшиеся 14 пакетов отправим автотранспортом.
. Определим число вагонов в одной подаче:
z - число подач вагонов на грузовой пункт за сутки (z = 2 … 5), z = 1
. Вычислим необходимое количество поддонов на складе:
- коэффициент, учитывающий время нахождения поддонов в ремонте,
= 1,03...1,04;
- время оборота поддонов (время перевозки и хранения груза на
складе).
7. Определим количество автотранспорта:
ц - продолжительность транспортного цикла
автомобиля
- дальность перевозки, км (для внутригородских
поставок
)
- среднетехническая скорость автомобиля
- коэффициент пробега автомашины
Tпр = 0,1 - время простоя под грузовыми операциями
qа = 5 т - фактическая загрузка автомобиля
T = 8 ч - количество рабочих часов автомобиля в сутки
kt = 0,7 - коэффициент использования автомобиля по
времени
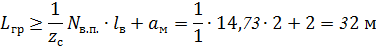
8. Длина фронта подачи вагонов:
lв - длина ж.д. вагона по автосцепке, l = 14,73 м
aм - удлинение фронта подачи вагонов для выполнения
маневровых работ, aм = (1,5…2)
. Длина фронта погрузки-выгрузки:
zс - число смен (перестановок) вагонов на грузовом
фронте (zс = 1…2)
При установке автомобиля к рампе склада торцом:
k - число погрузочно-разгрузочных постов, образующих фронт
погрузки выгрузки (равно числу дверных проемов со стороны автотранспорта); k =
2
bа = габаритная ширина автомобиля, м; bа
= 2,5 м
Sт - расстояние между смежными автомобилями,
обеспечивающее выезд автомобиля при торцевой расстановке, м; Sт = 1
м
. Вместимость склада с учетом хранения
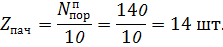
. Определим общее количество порожних поддонов.
На складе 1440 поддонов загружены, а 10% - порожние поддоны.
. Определим количество пачек.
В одной пачке сложено 10 поддонов, следовательно:
. Определим геометрические размеры элементарной
площадки под поддоны:
- длина элементарной площадки
- ширина элементарной площадки
- высота пачки
- площадь элементарной площадки
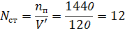
. Вместимость одного стеллажа
Zl, Zh - количество ячеек по длине и ширине (Zl = 15, Zh = 8)
. Определим количество стеллажей
. Определим размеры стеллажа
Т.к. максимальный размер пакета составляет 1200 мм, то длина
ячейки Az = 1500 мм, ширина ячейки Bz = 900 мм; высота пакета
с поддоном составляет 1350 мм, то высота ячейки Hz = 1500 мм.
Длина стеллажа:
Ширина стеллажа:
Высота стеллажа:
. Определим площадь площадки, занятой стеллажами
Ширина площадки:
= 1000 мм - ширина проезда между стеллажами
nпр = 6 - количество проездов между стеллажами
Длина площадки:
Параметры склада:
· Высота склада - 12,8 м
· Длина склада - 54 м
· Ширина склада - 32 м
· Высота рампы для ж.д. вагонов - 1,25 м
· Высота рампы для автомобилей - 1,25 м
· Ширина погрузочно-разгрузочной платформы
для обслуживания ж.д. подвижного состава и автомобилей - 4 м
· Расстояние от края платформы до оси ж.д.
пути - 1,65 м
· Расстояние от оси пути ж.д. пути до стены
склада - 5,66 м
· Размеры одного стеллажа, м (Д х Ш х В) -
22,5 х 0,9 х 12
· Расстояние между стеллажами - 1 м
· Количество стеллажей - 12 шт
Выбор типа и количества погрузочно-разгрузочных
машин
Электропогрузчик грузоподъемностью 1 т.
Технические характеристики электоропогрузчика:
· Грузоподъемность - 1 т
· Высота подъема груза - 2 м
· Скорость подъема вил:
o с грузом - 0,12 м/с
o без груза - 0,24 м/с
· Скорость опускания вил:
o с грузом - 0,37 м/с
o без груза - 0,13 м/с
· Наибольшая скорость передвижения:
o с грузом - 10 км/ч
o без груза - 12 км/ч
· Дорожный просвет - 100 мм
· Внешний радиус поворота - 1600 мм
· Наименьшая ширина проездов под углом 90° - 2950 мм
Техническая производительность машин, используемых при
переработке тарно-штучных грузов, находиться по формуле:
Gм - грузоподъемность машины, тц -
продолжительность времени цикла, с
Для погрузчика время цикла:
tдв, t’дв - время, затрачиваемое
погрузчиком на продольные и поперечные передвижения по складу с грузом и без
груза, с
tпод, t’под - время, затрачиваемое на
подъем каретки погрузчика с грузом и без груза, с
tоп, t'оп - время, затрачиваемое на
опускание каретки с грузом и без груза, спов - время, затрачиваемое
на повороты погрузчика, свсп - время, затрачиваемое на
вспомогательные операции
l - длина рабочего плеча, м- скорость движения погрузчика, м/с-
ускорение погрузчика, м/с2
Средняя высота подъема:
H - высота подъема груза погрузчиком
Определение эксплуатационной и сменной
производительности
Эксплуатационная производительность погрузчика:
kв = 0,8 - коэффициент использования по времени

Сменная производительность:
Объем механизированной переработки груза:
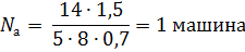
Количество машин:
mсм = 1 - количество смен
Tр - время нахождения машины в ремонте и смены
батареи в течение года
Принимаем Мм = 2 машину, с учетом одновременной
разгрузки-погрузки автомобиля и одной ж.д. подачи.
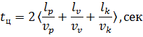
Определение производительности крана-штабелера на
складе базового варианта
Техническую производительность крана-штабелера в базовом
варианте определим по формуле:
Gгр = 1000 кг - вес пакета
C - число циклов, которое машина делает за 1 час
tц - время цикла, сек
lp = 11,85 м- средняя длина перемещения
крана-штабелера
lv = 1 м - длина выдвижения грузозахватного органаk = 5 м - средняя высота
подъема пакетаp = 1 м/с - скорость передвижения кранаv = 0,25 м/с - скорость
выдвижения грузозахватного органа
vk = 1 м/с - скорость подъема грузозахватного
органа
Эксплуатационная и сменная производительность:
kв = 0,9 - коэффициент использования крана по
времени
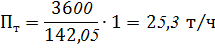
Определение производительности крана-штабелера на
складе нового варианта
Техническую производительность крана-штабелера в базовом
варианте определим по формуле:
Gгр = 1000 кг - вес пакета
C - число циклов, которое машина делает за 1 час
tц - время цикла, сек
lp = 11,85 м- средняя длина перемещения
крана-штабелера
lv = 1 м - длина выдвижения грузозахватного органаk = 5 м - средняя высота
подъема пакетаp = 2,5 м/с - скорость передвижения кранаv = 0,25 м/с - скорость
выдвижения грузозахватного органа
vk = 2 м/с - скорость подъема грузозахватного
органа
Эксплуатационная производительность:
kв = 0,9 - коэффициент использования крана по
времени
В результате анализируя полученные результаты можно сделать
вывод о том, что склад с новым вариантом крана-штабелера более предпочтителен с
точки зрения производительности перед складом с базовым вариантом
крана-штабелера, так как эксплуатационная производительность нового
крана-штабелера больше, чем у базового крана-штабелера.
Определение количество кранов-штабелеров на
складе
Т. к. на складе имеется 12 стеллажей: 2 стеллажа расположены
раздельно (по краям склада), а 10 стеллажей расположены по парно, т.е. пять пар
стеллажей, между стеллажами имеются проезды для кранов-штабелеров.
Для обслуживания 12 стеллажей требуется 6 кранов-штабелеров.
7. Технологическая часть
.1 Разработка технологического процесса штока гидробуфера
кран штабелер гидробуфер склад
В конструкторском разделе диплома выполнен основной расчет
параметров гидробуфера.
Рассчитаны на прочность его основные детали, в том числе и
шток как наиболее ответственный элемент.
По заданию в технологической части необходимо разработать
технологический процесс изготовления штока, а именно выбрать заготовку,
составить маршрут изготовления, подробно разработать токарную и шлифовальную
операции, составить на них эскизы.
Анализ технологических требований изготовления детали
Шток является оригинальной деталью, что обосновывает
целесообразность составления технологической карты его изготовления.
Деталь изготавливается в условиях единичного производства из
стали 45 ГОСТ 1050-88 твердостью НВ 190 - 230, термообработка - нормализация.
Она представляет собой 6-ти ступенчатый вал длиной 390 мм. Относится к группе
цилиндрических изделий. Внутри - сплошной.
Первая ступень диаметром 20 мм и длиной
30 мм служит для нарезания резьбы, обрабатывается с допуском h9, шероховатостью Rа = 0,8 мкм.
Вторая ступень диаметром 24 мм и длиной
15 мм служит для фрезерования на ней четырёхгранника, обрабатывается с допуском
h11, шероховатостью Rz40.
Третья ступень диаметром 45 мм и длиной
248 мм служит опорой для посадки уплотнения с допуском f9, шероховатостью Rа = 0,32 мкм.
Четвёртая ступень диаметром 61 мм и длиной
10 мм служит упорным буртиком, специально не обрабатывается.
Пятая ступень диаметром 45 мм и длиной
52 мм является переходной ступенью, специально не обрабатывается.
Шестая ступень диаметром 18 мм и длиной
38 мм служит для нарезания резьбы, обрабатывается с допуском h9, шероховатостью Rа = 0,8 мкм.
Для удобства монтажа делаем фаски на ступенях: 1, 2,3,5,6,
которые подрезаются на токарном станке при помощи проходного резца. Фаски не
являются рабочими, поэтому точность и шероховатость обеспечивается
инструментом.
На поверхностях 1 и 6 необходимо нарезать резьбу, после
черновой и чистовой обработки. Поверхность 2 необходимо фрезеровать под
четырёхгранник.
При изготовлении детали необходимо выдерживать допуски формы
и расположения.
Допуск цилиндричности (табл. 24.2 [1]);
для поверхностей 3 (Ø45 f9
)
Т/o/ = 0,5.62 = 31 мкм. Принимаем Т/o/ = 0,03 мм;
для поверхности 6 (Ø18 h9
)
Т/o/ = 0,5.52 = 26 мкм. Принимаем Т/o/=0,03 мм;
для поверхности 1 (Ø20 h9
)
Т/o/ = 0,5.52= 26 мкм. Принимаем Т/o/=0,03 мм;
Допуск перпендикулярности упорного буртика под
поршень.
- степень точности допуска 7 (табл. 22.4 [9]);
Т┴ = 0,016 мм (табл. 22.8 [9]); Принимаем Т┴
= 0,01мм
Выбор вида финишной обработки конструктивных элементов
детали
Для обрезки заготовки в размер, сверления центровых отверстий
и формирования профиля вала применим токарный станок 16К20.
Для поверхности 2 (Æ24h12), 4 (Æ61h14), 5 (Æ45h14) с шероховатостью Rz 80, назначаем только
черновое точение.
Для поверхности 2 (Æ24h11), с шероховатостью Rz 40, назначаем
получистовое точение.
Для поверхностей 1(Æ20h9), 6 (Æ18h9), с шероховатостью Ra 0,8 назначаем
окончательное шлифование.
Для поверхностей 3 (Æ45f9) для участка под
манжетное уплотнение с Ra 0,32 назначаем полирование.
Фаски, галтели, и центровые отверстия получаем на токарном
станке при закреплении заготовки в патрон.
Для получения резьбы используем резьбовой резец.
Выбор способа установки заготовки для её обработки.
Рассчитаем средний диаметр заготовки как:
где: n - число конструктивных элементов;
- диаметр и длина конструктивного элемента;
L - длина детали
Определим коэффициент жесткости:
Т.к. Кж>12, то применяем установку в центрах с
люнетом.
Для условий единичного или мелкосерийного производства и при
несущественном перепаде диаметров, для детали типа вал применяется в качестве
заготовки круглый горячекатаный сортовой прокат.
При максимальном диаметре детали 61 мм и при К =
рекомендуемый диаметр
заготовки 65
мм.
Из номенклатуры круглого сортового проката выбираем сталь
горячекатаную круглую ГОСТ 2590 - 88 обычной степени точности (В) Æ65 мм с предельными
отклонениями +0,5; -1,1 допуск на заготовку составляет 1,6мм (Т = 1,6мм), что
соответствует 16 квалитету.
Определим длину заготовки:
где Zто - припуск на торцевую обработку. При номинальном
диаметре проката свыше 50 до 50 мм Zто = 3мм(по табл. П7 [10])
Центровые отверстия для токарной и шлифовальной обработки
выбираем согласно ГОСТ 14034-74. Для детали Æ65 мм рекомендовано
центровое отверстие В 6,3.
Выбираем: отверстие центровое В 6,3. ГОСТ 14034-74.
Составление укрупнённого маршрута изготовления детали.
005 Заготовительная
Отрезать заготовку от проката круглого сечения обычной
степени точности Æ65
мм длиной 396мм.
010 Термическая
Заготовку подвергнуть термообработке - нормализации до НВ
280.
015 Токарная
Выполнить обработку торцов в размер 390 h14 и сверлить два
центровых отверстия В 6,3. ГОСТ 14034-74.. За несколько технологических
переходов выполнить обработку по формированию контура детали. Точить фаски,
канавки.
020 Кругло-шлифовальная
Выполнить предварительную и окончательную обработку шеек
детали.
025 Фрезерная
Фрезеровать многогранник.
030 Токарная
Нарезать резьбу.
035 Термическая 2
Подвергнуть ТВЧ шейку вала Æ45f9под манжету.
040 Моечная
Очистить детали от загрязнений;
045 Контрольная
Выполнить контроль детали по условиям чертежа;
.2 Разработка операций по формированию контура детали
Расчёт числа стадий обработки по каждому
конструктивному элементу
Ужесточение точности:
- Ø20
h9
- Ø24
h11
- Ø45
f9
- Ø61
h14
- Ø45
h14
- Ø18
h9
Число стадий обработки:
Принимаем:
n1 =
n4= n5=1
n2 =2
Расчёт точности промежуточных размеров заготовки
по стадиям обработки
Определим точность заготовки по каждой стадии механической
обработки для каждой поверхности. При расчете шаг уменьшения квалитетов по
стадиям механической обработки должен изменяться по закону убывающей
арифметической прогрессии. Расчет ведём в табличной форме.
Таблица 1. Расчет точности промежуточных размеров 1 - ой Ø 20h9 и 6 - ой Ø 18h9
|
№
|
Стадия обработки
|
КВ
|
∆КВ
|
|
0
|
Заготовка
|
16
|
8
|
|
1
|
Обтачивание черновое
|
12
|
4
|
|
2
|
Обтачивание чистовое
|
10
|
2
|
|
3
|
Шлифование окончательное
|
9
|
1
|
Таблица 2. Расчет точности промежуточных размеров 2 - ой Ø 24h11
|
№
|
Стадия обработки
|
КВ
|
∆КВ
|
|
0
|
Заготовка
|
16
|
8
|
|
1
|
Обтачивание черновое
|
12
|
4
|
|
2
|
Обтачивание чистовое
|
11
|
1
|
Таблица 3. Расчет точности промежуточных размеров 3 - ей
поверхности вала: Ø 45f9
|
№Стадия обработкиКВ∆КВ
|
|
|
|
|
0
|
Заготовка
|
16
|
5
|
|
1
|
Обтачивание черновое
|
12
|
4
|
|
2
|
10
|
2
|
|
3
|
Шлифование окончательное
|
9
|
1
|
Для получения размера 2,4 и 5-ой поверхности с Ø 45h14, Ø 61h14 и Ø24h12, используем только обтачивание черновое.
Определение промежуточных размеров по стадии
механической обработки
Расчет ведем в табличной форме, используя следующие формулы:
где:
- припуск на обработку поверхности принимается
из
;
d
- текущий диаметр;
d(
) - диаметр предшествующей обработки;
-
исходный размер ступени вала;
- максимальный размер ступени вала.
Таблица 4. Расчет припусков на промежуточные размеры 3 - ей
ступени вала Ø45f9
|
№
|
Содержание перехода
|
Расчёт промежуточных размеров
|
Характеристика размера
|
|
|
Исх. размер
|
2Zi*
|
Предельные отклонения
|
Величина
|
Rz(Ra)
|
|
3
|
Шлифование окончательное
|
44,975
|
0,06
|
f9
|
45
|
0,8
|
|
2
|
Точение получистовое
|
45,035
|
0,5
|
h10
|
45,03
|
Rz40
|
|
1
|
Точение черновое
|
45,535
|
2,2
|
h12
|
45,53
|
Rz80
|
|
0
|
Заготовка
|
47,735
|
-
|
|
47,73
|
Rz125
|
Таблица 5. Расчет припусков на промежуточные размеры 1 - oй ступени вала Ø20h9
|
№
|
Содержание перехода
|
Расчёт промежуточных размеров
|
Характеристика размера
|
|
|
Исх. размер
|
2Zi*
|
Предельные отклонения
|
Величина
|
Rz(Ra)
|
|
3
|
Шлифование окончательное
|
20
|
0,06
|
h9
|
20
|
0,8
|
|
2
|
Точение получистовое
|
20,06
|
0,5
|
h10
|
20,06
|
Rz40
|
|
1
|
Точение черновое
|
20,56
|
1,7
|
h12
|
20,56
|
Rz80
|
|
0
|
Заготовка
|
22,26
|
-
|
|
22,26
|
Rz125
|
Таблица6. Расчет припусков на промежуточные размеры 6 - oй ступени вала Ø18h9
|
№
|
Содержание перехода
|
Расчёт промежуточных размеров
|
Характеристика размера
|
|
|
Исх. размер
|
2Zi*
|
Предельные отклонения
|
Величина
|
Rz(Ra)
|
|
3
|
Шлифование окончательное
|
18
|
0,06
|
h9
|
18
|
0,8
|
|
2
|
Точение получистовое
|
18,06
|
0,5
|
h10
|
18,06
|
Rz40
|
|
1
|
Точение черновое
|
18,56
|
1,7
|
h12
|
18,56
|
Rz80
|
|
0
|
Заготовка
|
20,26
|
-
|
|
20,26
|
Rz125
|
Таблица 7. Расчет припусков на промежуточные размер 2-ой
ступени вала Ø24h11
|
№
|
Содержание перехода
|
Расчёт промежуточных размеров
|
Характеристика размера
|
|
|
Исх. размер
|
2Zi*
|
Предельные отклонения
|
Величина
|
Rz(Ra)
|
|
2
|
Точение получистовое
|
24
|
0,5
|
h11
|
24
|
Rz40
|
|
1
|
Точение черновое
|
24,5
|
1,7
|
h12
|
24,5
|
Rz80
|
|
0
|
Заготовка
|
26,2
|
-
|
|
26,2
|
Rz125
|
Таблица 8. Расчет припусков на промежуточные размер 4-ой
ступени вала Ø61h14
|
№
|
Содержание перехода
|
Расчёт промежуточных размеров
|
Характеристика размера
|
|
|
Исх. размер
|
2Zi*
|
Предельные отклонения
|
Величина
|
Rz(Ra)
|
|
1
|
Точение черновое
|
61
|
2,1
|
61 Rz80
|
|
|
|
0
|
Заготовка
|
63,1
|
-
|
|
63,1
|
Rz125
|
Таблица 9. Расчет припусков на промежуточные размер 5-ой
ступени вала Ø45h14
|
№
|
Содержание перехода
|
Расчёт промежуточных размеров
|
Характеристика размера
|
|
|
Исх. размер
|
2Zi*
|
Предельные отклонения
|
Величина
|
Rz(Ra)
|
|
1
|
Точение черновое
|
45
|
2,2
|
45 Rz80
|
|
|
|
0
|
Заготовка
|
47,2
|
-
|
|
47,2
|
Rz125
|
Проверка:
Окончательно выбираем из сортамента прокат Æ65
мм
7.3 Составление плана токарной и шлифовальной
обработок детали
Расчёт выполняем из условия применения станка 16К20, имеющего
следующие характеристики:
допустимая мощность резания N = 7,5 кВт;
максимальный диаметр заготовки до 400 мм;
максимальная длина заготовки 1400 мм;
частота вращения шпинделя 12,5…1600 об/мин (регулирование
ступенчатое);
продольная подача суппорта 0,05…2,8 мм/об (регулирование
ступенчатое).
Расчет предельно-допустимых глубин резания при
черновом обтачивании
Глубину резания для технологического перехода рассчитываем по
формуле:
,
и сравниваем полученное значение с предельно допустимым для
данного диаметра:
если
обработка осуществляется за один переход,
если
обработка осуществляется за несколько
технологических переходов.
Применим формулу с коэффициентом «0,05», т.к. Кж =
9,8>12.
При этом назначаем подачу инструмента и сравниваем мощность
резания с допустимой мощностью на шпинделе (7,5 кВт).
Установ В
Третья ступень: Æ45,53
следовательно, обработка по диаметрам возможна
за 2 прохода.
Выполняем анализ по мощности:
При подаче инструмента S = 0,3 мм/об и глубине
резания t
= 4,87 мм мощность N = 7,2 кВт, что меньше 7,5кВт (по табл. П13 [10]).
Вторая ступень: Ø24,5
следовательно, обработка по диаметрам возможна
за 5 проходов.
Выполняем анализ по мощности:
При подаче инструмента S = 0,6 мм/об и глубине
резания t
= 2,1 мм мощность N = 7,1 кВт, что меньше 7,5кВт (по табл. П13 [10]).
Первая ступень: Ø 20,56
следовательно, обработка по диаметрам возможна
за 1 проход.
Выполняем анализ по мощности:
При подаче инструмента S = 0,6 мм/об и глубине
резания t
= 1,97 мм мощность N = 7,1 кВт, что меньше 7,5кВт (по табл. П13 [10]).
Установ Г
Четвёртая ступень: Æ 61
следовательно, обработка по диаметрам возможна
за 1 проход.
Выполняем анализ по мощности:
При подаче инструмента S = 0,6 мм/об и глубине
резания t
= 2 мм мощность N = 7,2 кВт, что меньше 7,5кВт (по табл. П13 [10]).
Пятая ступень: Ø 45
следовательно, обработка по диаметрам возможна
за 2 прохода.
Выполняем анализ по мощности:
При подаче инструмента S = 0,4 мм/об и глубине
резания t
= 4 мм мощность N = 7,1 кВт, что меньше 7,5кВт (по табл. П13 [10]).
Шестая ступень: Ø 18,56
следовательно, обработка по диаметрам возможна
за 8 проходов.
Выполняем анализ по мощности:
При подаче инструмента S = 0,6 мм/об и глубине
резания t
= 1,65 мм мощность N = 7,1 кВт, что меньше 7,5кВт (по табл. П13 [10]).
.4 Выбор и расчёт режимов резания
Токарная обработка
При черновом обтачивании применяем проходной резец с главным
углом в плане φ = 450, стойкостью Т = 60 мин
из материала Т15К6.
Скорость резания:
Частота вращения:
[об/мин]
где
S -
подача;
для чернового обтачивания принимаем значение подачи из пункта 7.1.
для получистового обтачивания:
. SТАБЛ = 0,87 при Rz = 40. (по табл. П11 [10])
,
где К3 = 0,45 (по табл. П11 [10])
Из нормального ряда продольных подач суппорта станка принимаем
значение S = 0,4 мм/об.
Cv - коэффициент скорости,
зависящий от значения величины подачи.
Принимаем согласно (по табл. П14 [10]);
x, y, m - показатели степени. Принимаем
согласно(по табл. П13 [10]);
Т - расчётная стойкость резца в минуту. Принимаем
согласно (по табл. П13 [10]);
t - глубина резания;
Коэффициент корректировки.
где
КMV - коэффициент учёта влияния материала заготовки на
скорость резания; КПV -
коэффициент учёта влияния состояния поверхности на скорость резания (по табл.
П18 [10]);
КИV - коэффициент учёта влияния инструментального
материала на скорость резания, для материала Т15К6 (по табл. П19 [10]);
КφV - коэффициент учёта влияния главного угла
в плане резца на скорость резания (по табл. П20 [10]).
,
где
КГ - коэффициент, характеризующий группу стали по обрабатываемости.
Принимаем согласно (по табл. П17 [10]);
- предел выносливости. Принимаем согласно [4, табл.2]
=600 МПа
nv - показатель степени. Принимаем согласно
(по табл. П16 [10]).
Результаты вычислений сведены в таблицу 9.
Расчёт режимов шлифования
Шлифование выполняем на шлифовальном станке 3Б151, который
имеет следующие характеристики:
- наибольший диаметр и длина шлифуемой заготовки: 180 х
630(800) мм;
- диаметр и ширина шлифовального круга: 600 х 63 мм;
частота вращения детали: 63…400 об/мин
(бесступенчатое регулирование);
скорость продольного перемещения рабочего стола:
0,1…0,6 м/мин (бесступенчатое регулирование);
поперечная подача шлифовального круга (глубина
шлифования): 0,0025…0,05 мм на один ход рабочего стола с шагом 0,0025
мм;
непрерывная подача шлифовального круга при врезном
шлифовании: 0,1…2 мм/мин;
мощность электродвигателя привода шлифовального
круга: 7 кВт.
Расчёт режимов предварительного шлифования
Согласно [3,2] с. 302 для предварительного шлифования
принимаем:
- скорость вращения шлифовального круга: vШЛ.КР. = 30 м/с;
- скорость вращения заготовки: vЗАГ. = 20 м/мин;
продольная подача шлифовального круга: S = (0,3…0,7)·ВШЛ.КР.
= 18,9…44,1 мм/об. Принимаем S = 30 мм/об;
глубина шлифования tШЛИФ = 0,01 мм;
количество проходов шлифовального круга:

Частота вращения шлифовального круга:
Частота вращения заготовки:
Результаты вычислений сведены в таблицу 10.
Расчёт режимов окончательного шлифования
Согласно [3,2] с. 302 для окончательного шлифования
принимаем:
- скорость вращения шлифовального круга: vШЛ.КР. = 35 м/с;
- скорость вращения заготовки: vЗАГ. = 35 м/мин;
продольная подача шлифовального круга: S=(0,2…0,4)·ВШЛ.КР.=12,6…25,6
м/об. Принимаем S = 20 мм/об;
глубина шлифования tШЛИФ = 0,005 мм;
количество проходов шлифовального круга:
Частота вращения шлифовального круга:
Частота вращения заготовки:
Результаты вычислений сведены в таблицу 10.
Таблица
9. Режимы токарной обработки вала
|
Диаметр поверхности, мм
|
Cv
|
Показатели степени
|
Т, мин
|
t, мм
|
i
|
S, мм/об
|
КГ
|
nv
|
σв, мПа
|
Кмv
|
Kпv
|
KИv
|
Kφv
|
Kv
|
V м/мин
|
Расчётное значение n, мин-1
|
Принятое значение n, мин-1
|
y
|
m
|
|
|
|
|
|
|
|
|
|
|
|
|
|
|
|
|
- Установ В (черновое обтачивание)
|
|
45,53
|
420
|
0,15
|
0,2
|
0,2
|
60
|
4,78
|
2
|
0,3
|
1
|
1
|
600
|
1,3
|
0,9
|
1
|
1
|
1,125
|
209
|
1461
|
1250
|
|
24,5
|
350
|
0,15
|
0,35
|
0,2
|
60
|
2,1
|
5
|
0,6
|
1
|
1
|
600
|
1,3
|
1
|
1
|
1
|
1,25
|
206
|
2677
|
1600
|
|
20,56
|
350
|
0,15
|
0,35
|
0,2
|
60
|
1,72
|
1
|
0,6
|
1
|
1
|
600
|
1,3
|
1
|
1
|
1
|
1,25
|
213
|
3299
|
1600
|
|
- Установ Г (черновое обтачивание)
|
|
61
|
350
|
0,15
|
0,35
|
0,2
|
60
|
2
|
1
|
0,6
|
1
|
1
|
600
|
1,3
|
0,9
|
1
|
1
|
1,125
|
187
|
976
|
860
|
|
45
|
350
|
0,15
|
0,35
|
0,2
|
60
|
4
|
2
|
0,4
|
1
|
1
|
600
|
1,3
|
1
|
1
|
1
|
1,25
|
215
|
1521
|
1250
|
|
18,56
|
350
|
0,15
|
0,35
|
0,2
|
60
|
1,65
|
8
|
0,6
|
1
|
1
|
600
|
1,3
|
1
|
1
|
1
|
1,25
|
214
|
3672
|
1600
|
|
- Установ Г (получистовое обтачивание)
|
|
18,06
|
350
|
0,15
|
0,35
|
0,2
|
60
|
0,25
|
1
|
0,4
|
1
|
1
|
600
|
1,3
|
1
|
1
|
0,7
|
0,875
|
228
|
4020
|
1600
|
|
- Установ Д (получистовое обтачивание)
|
|
20,06
|
350
|
0,15
|
0,35
|
0,2
|
60
|
0,25
|
1
|
0,4
|
1
|
1
|
600
|
1,3
|
1
|
1
|
0,7
|
0,875
|
228
|
3619
|
1600
|
|
24
|
350
|
0,15
|
0,35
|
0,2
|
60
|
0,25
|
1
|
0,4
|
1
|
1
|
600
|
1,3
|
1
|
1
|
0,7
|
0,875
|
228
|
3025
|
1600
|
|
45,03
|
350
|
0,15
|
0,35
|
0,2
|
60
|
0,25
|
1
|
0,4
|
1
|
1
|
600
|
1,3
|
1
|
1
|
0,7
|
0,875
|
228
|
1612
|
1600
|
Таблица 10. Режимы шлифовальной обработки вала
|
Диаметр поверхности, мм
|
Vшл.кр, м/с
|
Vзаг, м/мин
|
S, мм/об
|
t, мм
|
I
|
nзаг, мин-1
|
nшл.кр., мин-1
|
CN
|
Показатели степени
|
Расчётная мощность N, кВт
|
[N], кВт
|
|
|
|
|
|
|
|
|
|
r
|
x
|
y
|
q
|
|
|
|
- Установ А (шлифование окончательное)
|
|
18
|
30
|
20
|
30
|
0,01
|
5
|
353
|
637
|
1,3
|
0,75
|
0,85
|
0,7
|
0
|
2,65
|
7
|
|
- Установ Б (шлифование окончательное)
|
|
20
|
35
|
35
|
20
|
0,005
|
6
|
557
|
1115
|
1,3
|
0,75
|
0,85
|
0,7
|
0
|
1,69
|
7
|
|
44,975
|
35
|
35
|
20
|
0,005
|
6
|
247
|
1115
|
1,3
|
0,75
|
0,85
|
0,7
|
0
|
1,69
|
|
Заключение
В ходе расчетно-пояснительной записки был разработан
технологический процесс на изготовление детали - шток для единичного условия
производства. В работе были применены технологические оборудования и
инструменты: токарный станок 16К20, шлифовальный станок 3Б151 и резец Т15К6.
Оформлена технологическая документация на операции и
переходы, применяемые в ходе получения детали. Установлены и применены в ходе
разработки техпроцесса основные принципы и приемы, используемые при обработке
металлов резанием.
Заключение
В данном дипломном проекте был выполнен анализ существующих
конструкций стеллажных кранов-штабелеров. Были отмечены их недостатки и были
предложены варианты усовершенствования их конструкции.
Была разработана конструкция одноколонного стеллажного
крана-штабелера с гидравлическим приводом телескопического захвата. Произведена
разработка отдельных узлов с соответствующими расчетами.
Выполнена разработка организации работ с применением
стеллажного крана-штабелера.
Так же был разработан технологический процесс изготовления
штока гидравлического буфера. Были применены в ходе разработки технологического
процесса основные принципы и приемы изготовления штока.
Внедрение и использование в стеллажном кране-штабелере гидравлического
привода захвата, а также были заменены приводы передвижения и подъема, которые
позволяют получить экономический эффект, что и было доказано в экономической
части.
Также были рассмотрены вопросы техники безопасности при
использовании стеллажных кранов-штабелеров. Затронута тема пожарной
безопасности.
Список используемой литературы
1. Зерцалов
А.И., Певзнер Б.И., Бененсон И.И. Краны-штабелеры. - М.: Машиностроение, 1986.
- 320 с., ил.
2. Анурьев
В.И. Справочник конструктора- машиностроителя - М.: Машиностроение, 1988. - 557
с.
. Свешников
В.К., Усов А.А. Станочные гидроприводы - М.: Машиностроение, 1988. - 510 с.
. Жуков
В.И., Федосов В.Д., Пономарев В.М. Автоматические средства пожарной
безопасности на железнодорожном транспорте: Методические указания. - М: МИИТ.
2010. - 186 с
. Юдин
Е.Я. Охрана труда в машиностроении - М.: Машиностроение, 1983. - 423 с.
. Руденко
Н.Ф., Александров М.П., Лысяков А.Г. Курсовое проектирование грузоподъемных
машин - М.: Машиностроение, 1971. - 457 с.
. Маликов
О.Б. Проектирование автоматизированных складов штучных грузов. Л.:
Машиностроение, 1981. - 240 с.
. Смехов
А.А. Автоматизированные склады. 3-е изд. М.: Машиностроение, 1979. - 288 с.
9. Аверкин
В.А., Зиновен Н.А., Задание и методические указания к курсовой работе по
дисциплине «Экономика производства», М., МИИТ, 2000г.
10. Дунаев
П.Ф., Леликов О.П., Конструирование узлов и деталей машин, М., “Высшая
школа”,1985г.
. Справочник
технолога-машиностроителя: 4-е издание в 2-х т. под ред. Косиловой А.Г.,
Мещерякова Р.К., -М. “Машиностроение” 1985.