Материал: Оптимальный режим управления двухсекторной моделью экономики

Внимание! Если размещение файла нарушает Ваши авторские права, то обязательно сообщите нам

Оптимальный режим управления двухсекторной моделью экономики

Содержание

Введение

. Постановка задачи

. Задача оптимального управления. Достаточные условия

.1 Постановка задачи оптимального управления

.2 Принцип максимума Понтрягина

.3 Достаточное условие Эрроу

. Численное решение задачи

.1 Метод Эйлера

.2 Методы Рунге-Кутта III, IV порядков

.3 Метод Адамса-Башфорта

. Результат решения задачи оптимального управления

Список используемой литературы

Приложение А(обязательное). Текст программы

Введение

Концепция двухсекторной экономики - модель переходной экономики, в которой сосуществуют два автономных, параллельно развивающихся сектора: государственный и частный. Первый - государственный - сектор базируется на централизованном распределений ресурсов и использовании командно-административных методов управления, свойственных планово-распределительной системе. Второй сектор - частнопредпринимательский, рыночный - функционирует на основе децентрализованного распределения ресурсов и управления, конкурентно-рыночных принципах.

В чистом виде модель двухсекторной экономики не использовалась ни в одной стране при переходе к рыночной экономике. В известной мере ее элементы присутствовали в экономике Китая на начальном периоде экономических реформ в конце 1970-х гг. При полном отказе от государственного вмешательства в деятельность крестьянских хозяйств в стране сохранялся жесткий контроль над государственным несельскохозяйственным сектором. На том этапе в результате беспрецедентного роста производительности труда в сельском хозяйстве «двухсекторный» подход дал импульс быстрому экономическому подъему Китая. В дальнейшем рост числа частных предприятий, производивших в 1990-е гг. уже значительную часть валового национального продукта (ВНП), происходил и в других отраслях на фоне по-прежнему низкой эффективности государственного сектора.

Математическому моделированию двухсекторной экономической модели посвящено немного работ. В основном только рассматривается аналитическое решение. В качестве примера можно привести работу такого исследователя как Andrea Calogero.

При моделировании двухсекторной модели экономики широко используются системы линейных дифференциальных уравнений. Необходимость исследования таких моделей обоснована многими прикладными задачами и недостаточностью практической разработанности, поэтому разработка и реализация эффективных численных методов решения системы линейных дифференциальных уравнений для задач динамики и управления является актуальной научной проблемой.

Объект исследования - двухсекторная экономическая модель (в чистом виде).

Предмет исследования - аналитическое и численное решение с привлечением аппарата теории оптимального управления.

Цель исследования - изучение двухсекторной экономической модели, а также реализация численных методов и алгоритмов для решения задачи оптимального управления.

Для достижения поставленной цели необходимо решить следующие задачи:

1)      Применить принцип максимума Понтрягина для решения задачи оптимального режима управления двухсекторной модели в экономике;

)        Применить достаточное условие для проверки полученной экстремали на оптимальность в задачи оптимального режима управления двухсекторной модели в экономике;

)        Представить непрерывную задачу оптимального режима управления двухсекторной модели в экономике в дискретном виде: Эйлера, Рунге-Кутта III, Рунге-Кутта IV, Адамса-Башфорта;

)        Разработать программное средство для численного решения задачи оптимального режима управления двухсекторной модели в экономике.

. Постановка задачи

Рассмотрим двухсекторную экономическую модель, где сектор 1-производит инвестиционные товары, основные фонды, или капитал, фондообразующего сектора, осуществляющего инвестиции в собственное развитие и в развитие потребительского сектора (фазовая координата, заданная в начале свободная в конце, где она должна быть выбрана из соображений оптимальности);

сектор 2- производит потребительские товары, основные фонды потребительского сектора, производящего товары

потребления (фазовая координата, отсчитываемая от достигнутого предпланового уровня);

 - доля инвестиций, направляемых в потребительский сектор (управление);

Т - заданная протяженность интервала планирования, отсчитываемого от нуля.

Изменение производства в инвестиционном и потребительском секторах с течением времени может быть описано следующей системой дифференциальных уравнений

(1.1)

с начальными условиями

,                  (1.2)

Где

 - коэффициент степени воздействия на рост производства;

 - объем производства в начальный момент времени инвестиционных товаров;

 - объем производства в начальный момент времени потребительских товаров;

 - производство в 1-ом секторе;

- производство во 2-ом секторе.

Таким образом, увеличение производства в единицу времени в инвестиционном секторе, будет пропорционально увеличению производства в потребительском секторе.

На управление наложено ограничение , и если плановый период начинается при , и  изначально даны, то в этой ситуации задача оптимального управления может быть исследована.

В частном случае, рассмотрим задачу максимизации объема потребления в данный плановый период [0, Т], при  , тогда получим систему (1.3):

        (1.3)

. Задача оптимального управления. Достаточные условия

.1 Постановка задачи оптимального управления

Требуется найти максимум функционала:

        (2.1)

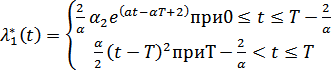
при динамических ограничениях:

 (2.2)

   (2.3)

начальных условиях:

 ,         (2.4)

ограничениях на управление:

                             (2.5)

2.2 Принцип максимума Понтрягина

Составим Гамильтониан для задачи (2.1)-(2.5) (рассмотрим регулярный случай, то есть при ):

                                  (2.6)

Так как на управление наложено ограничение, применим принцип максимума Понтрягина по теореме:

Рассмотрим  и  и пусть u* - оптимальным управлением задачи (2.1)-(2.5), х*- соответствующая ему оптимальная траектория. Тогда существуют множители, где  - константа,  непрерывные координаты,  и выполняются условия:

) принцип максимума Понтрягина (РМР)

Для  управление в этой точке принадлежит , то есть Гамильтониан найдется в точке

(2.7)

) сопряженнее уравнение

     (2.8)

) условие трансверсальности

                                      (2.9)


Тогда РМР для задачи (2.1)-(2.5) имеет вид:

         (2.10)

.3 Краевая задача принципа максимума

  (2.11)

   (2.12)

Так как задача (2.1)-(2.5) со свободным правым концом, условия трансверсальности необходимы

                                       (2.13)

                                      (2.14)

Найдем максимальное положение управления  в гамильтониане Н из (2.6) во всей области значений переменных x1, x2 , . Рассмотрим зависимость Н по , зависимость линейна, следовательно, максимум достигается на концах отрезка.

Проинтегрируем (2.12), и, используя условие трансверсальности (2.13) найдем константу, тогда . Кроме того (2.13) и (2.14) в уравнение (2.11) дают . Заметим, что . Из непрерывности множителей  следует, что существует  такое, что

                      (2.15)

    (2.16)

Для устранения неоднозначности оптимального управления аналитического решения необходимо рассмотреть все случаи решения .

Найдем  и

 

Проинтегрируем  по t и получим следующее:

                                        (2.17)

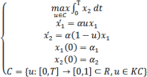
Вычисление показывает, что предположение (2.15) справедливо для . Поэтому давайте предположим, что существует точка  такая, что

                             (2.18)

В силу (2.16) на интервале  мы получаем, что . Теперь (2.11) дает, с учетом непрерывности  в точке :

(2.19)

Легко проверить, что  поскольку и , из выпуклости функции и  следует, что предположение (2.18) выполняется с τ’= 0.

В результате управление удалось построить как функцию времени:

         (2.20)

Полученную функцию  подставим в дифференциальные уравнения (2.11),(2.12) и проинтегрируем их с заданными начальными условиями по участкам непрерывности функции , соблюдая непрерывность фазовых координат на границе соседних участков.

Сначала решим первое дифференциальное уравнение, поскольку оно не содержит , разделим переменные, проинтегрируем и выделим :

                                           (2.21)

                                        (2.22)

Подставив исходное уравнение и используя начальные условия, получим, что

                                          (2.23)

                                       (2.24)

Решая второе дифференциальное уравнение, проинтегрируем и выделим , подставив вместо  полученное значение:

                                                 (2.25)

                            (2.26)

Используя динамику и начальное условие на траектории, получим решения подозрительные на оптимальность:

                        (2.27)

    (2.28)

         (2.29)

       (2.30)

.3 Достаточное условие Эрроу

Так как экстремальные решения являются лишь подозрительными на максимум, то необходимо проверить достаточные условия.

Для того, чтобы гарантировать некоторые достаточные условия, воспользуемся теоремой Эрроу:

Рассмотрим задачу на максимум (2.1)-(2.5) с и  ,  - должно быть нормально оптимальным управлением, х* - соответствующая траектория и множители. Рассмотрим развернутую функцию Гамильтониана Н0: