РАСЧЕТНО-ГРАФИЧЕСКАЯ РАБОТА №1
«Определение
силы гидростатического давления на плоские поверхности»
КРАТКИЕ ТЕОР. СВЕДЕНИЯ ДЛЯ РЕШЕНИЯ
,
где
- суммарный удерживающий момент
стенки относительно ребра “О”;
- суммарный опрокидывающий момент.
,
где
- силы избыточного гидростатического
давления воды;
- глубины погружения центров
тяжести соответствующих участков стенки (от свободной поверхности);
- площади соприкосновения участков
стенки с водой;
- плечи сил давления относительно
ребра опрокидывания “О”.
При
рекомендуется силы
раскладывать
на горизонтальные и вертикальные составляющие и вычислять необходимый момент,
как разницу моментов составляющих.
ЗАДАНИЕ
Определить коэффициент устойчивости водоудерживающей стенки относительно ребра “О” при следующих данных:
;
;
;
;
;
;
;
.
Основание стенки принять водонепроницаемым.
Расчет выполнить на 1 п.м. стенки
аналитическим и графоаналитическим способами.
РЕШЕНИЕ АНАЛИТИЧЕСКИМ СПОСОБОМ.
. Вычисляем силы на участки стенки.
![]()
(для всех вариантов);
;
;
.
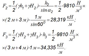
;
;
;
;
2. Находим точки приложения сил.
;
;
;
.
;
;

.
;
;
;
.
3. Определяем опрокидывающие
моменты.
Плечо силы
:
.
Опрокидывающий момент
находим,
раскладывая силу
на
горизонтальную составляющую
и вертикальную
(момент
против часовой стрелки − со знаком «минус»):
;
;
;
;
;
Плечо силы
:
;
. Определяем удерживающие моменты.
,
где
- веса верхней, средней и нижней
частей стенки, равные
,
- объемы рассматриваемых частей стенки
длиной 1 п.м.
(1 и 3 объемы - параллелепипеды, 2-й
объем - трапецеидальная призма).
;
;
Для трапецеидальных сечений их центр
тяжести находим по формуле:
;
;
;
;
.
РЕШЕНИЕ ГРАФО-АНАЛИТИЧЕСКИМ СПОСОБОМ
Он используется только в случаях действия жидкости на плоскости прямоугольного очертания. В основу способа положено понятие эпюры гидростатического давления.
1. Вычерчиваем стенку в линейном масштабе 1:50.
. Находим площади эпюр:
ила гидростатическое давление
4. Силы давления (сравнить с началом
аналитического способа):
. Находим точки приложения сил.
Положение центра тяжести эпюры в виде
треугольника определяем как
(в случае
− как
) от
основания эпюры. Значение
откладываем
в выбранном масштабе 1:50 от основания эпюры в виде треугольника и получаем
центр давления Д1.
Центр тяжести эпюры в виде трапеции
находится графически (рис. ниже). Для этого трапецию необходимо достроить до
параллелограмма и получить его диагональ. Для этого к верхнему параллельному
основанию трапеции добавим влево нижнее параллельное основание. К нижнему
основанию добавим вправо верхнее основание. Строим диагональ параллелограмма.
Центр тяжести трапеции находится на пересечении этой диагонали с медианой
трапеции - линии, соединяющей середины параллельных оснований.
Плечи сил определяются по рисунку с
учетом линейного масштаба
.
Суммарный опрокидывающий момент
Ошибка относительно аналитического
способа