МЧС РОССИИ
ФГБОУ ВПО ВОРОНЕЖСКИЙ ИНСТИТУТ
ГОСУДАРСТВЕННОЙ ПРОТИВОПОЖАРНОЙ СЛУЖБЫ МЧС РОССИИ
КАФЕДРА
ПОЖАРНОЙ БЕЗОПАСНОСТИ В СТРОИТЕЛЬСТВЕ
КУРСОВАЯ РАБОТА
по дисциплине
«Здания, сооружения и их устойчивость при пожаре»
тема: «Определение пожарно-технических характеристик здания»
Вариант
Воронеж
2014
Введение
Ещё с древнейших времен человечество сталкивалось с различными природными опасностями, в том числе и с пожарами. В современном мире их появление обусловлено умыслом людей или неумелым обращением с огнем. Постепенно появилась необходимость изучения методов борьбы с огнем, предотвращения возникновения причин пожаров в зданиях, а для этого нам необходимо знать их пожарно-технические характеристики. Кроме того, согласно статье 78 федерального закона № 123 ФЗ «Технический регламент о требованиях пожарной безопасности» характеристики должны быть указаны в проектной документации на здания, сооружения, строительные конструкции.
Цель нашего проекта заключается в изучении пожарно-технических характеристик здания и последующей классификации этих зданий по пожарной опасности, которая, согласно статье 26 ФЗ № 123, применяется для установления требований пожарной безопасности, направленных на предотвращение возникновения пожара и обеспечение противопожарной защиты людей и имущества.
Для достижения поставленной цели в работе решались задачи:
определение степени огнестойкости здания, расчет пределов огнестойкости строительных конструкций;
нахождение класса конструктивной пожарной опасности здания;
установление класса функциональной пожарной опасности здания;
определение допустимости применения покрытий полов в зальных помещениях, установление группы распространения пламени, класса пожарной опасности материала.
В современных условиях существования нам необходимо
изучать показатели пожарной опасности строительных материалов, конструкций, а
также их параметры огнестойкости. Благодаря их определению, в дальнейшем их
могут использовать при построении новых зданий, различных сооружений, а также
при реконструкции старых.
1.1
Расчет предела огнестойкости железобетонных конструкций
1.1.1 Расчет предела огнестойкости
железобетонной многопустотной плиты перекрытия
Вид бетона - легкий бетон плотностью ρ
= 1600 кг/м3
с крупным заполнителем из керамзита; плиты многопустотные, с круглыми
пустотами, количество пустот - 6 шт, опирание плит - по двум сторонам.

Рис. 1.1.1.1. а) поперечное сечение плиты; б)
расчетная схема определения предела огнестойкости плиты
) Определяем максимальный изгибающий момент M в
плите:
где
-
постоянные нагрузки на плиту, H/м2;
- временные
нагрузки на плиту, H/м2;
- ширина сечения и
длина рабочего пролета плиты, м.
) Определяем рабочую высоту сечения плиты h0:
где
-
высота сечения плиты, м;
- толщина
защитного слоя бетона, м;
d - диаметр рабочей растянутой арматуры, м.
) Площадь поперечного сечения всей растянутой
арматуры As определяется в зависимости от диаметра арматуры:
где
-
порядковый номер арматурного стержня;
- площадь
поперечного сечения j-го арматурного стержня.
) Согласно методическому указанию для курсовой
работы расчетные сопротивления растяжению арматуры Rsu и сжатию бетона Rbu
определяются делением соответствующих нормативных сопротивлений Rsn (П3.9
приложение 3) и Rbn (П3.8 приложение 3) на коэффициенты надежности
(для
арматуры) и
(для бетона). Для
арматуры класса A-VI нормативное сопротивление составляет 980 МПа, для бетона,
имеющего класс прочности B15, нормативное сопротивление составляет 11 МПа.
) Определяем коэффициент условий работы при
пожаре
растянутой
арматуры железобетонной плиты:
) По таблице 1.1.1.2 (табл. П3.3 приложение 3 МУ
для КР) в зависимости от коэффициента работы при пожаре
определяем
критическую температуру прогрева, при которой теряется прочность растянутой
арматуры плиты.
Заданная арматура A-VI, но так как в таблице нет
значений для этого класса, принимаем значения для арматуры класса Aт-VI.
Таблица 1.1.1.2
Значения коэффициента условий работы при пожаре
стержневой
арматуры различных классов в зависимости от температуры арматуры
Так как
,
то для определения критической температуры
применяется
метод линейной интерполяции:
) Определяем средний диаметр растянутой арматуры
ds:
где j - порядковый номер арматурного стержня, м;
соответственно
диаметр, м и площадь поперечного сечения, м2 j-го арматурного стержня.
) Решаем теплотехническую задачу для определения
предела огнестойкости сплошной железобетонной плиты:
где
-
приведенный коэффициент температуропроводности бетона, м2/ч, определяется по
табл. П3.4 приложения 3 МУ для КР в зависимости от плотности бетона и вида
заполнителя:
;
и
-
поправочные коэффициенты, определяются в зависимости от плотности бетона по
справочным данным, приведенным в табл. П3.5 приложения 3 МУ для КР.
Для бетона плотностью 1600 кг/м3:
= 0,58;
= 0,65;
-средняя толщина
защитного слоя бетона:
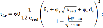
) Определяем предел огнестойкости по признаку
«R» (потеря несущей способности) многопустотных плит путем умножения предела
огнестойкости сплошных плит на понижающий коэффициент 0,9:
Предел огнестойкости многопустотной железобетонной плиты по потере несущей способности составляет R 240.
) Определим предел огнестойкости по признаку «I» (потеря теплоизолирующей способности) через приведенную толщину многопустотной плиты.
Приведенная толщина плиты
определяется
по формуле:
|
|
|
где
-
площадь сечения плиты, м2;
- площадь пустот в
плите, м2, определяется по формуле:
|
|
|
где
-
диаметр пустот, м;количество пустот, шт.
По таблице 1.1.1.3 (табл. П3.6 приложения 3 МУ
для КР определяется предел огнестойкости по потере теплоизолирующей способности
при условии отсутствия теплоотвода с необогреваемой поверхности плиты.
Таблица 1.1.1.3
Толщины сплошного бетонного сечения, необходимые для обеспечения соответствующего предела огнестойкости по потере
теплоизолирующей способности «I»
Приведенная толщина
м,
плотность бетона 1600 кг/м3, следовательно предел огнестойкости по потере
теплоизолирующей способности составляет I 180.
Предел огнестойкости по потере несущей способности 240 мин, а по теплоизолирующей 180 мин. Необходимо брать наименьший предел огнестойкости.
Вывод: предел огнестойкости железобетонной плиты
REI 180.
.1.2 Расчет предела огнестойкости железобетонной колонны
Исходные данные для расчета предела огнестойкости
железобетонной колонны приведены в таблице 1.1.2.1
Вид бетона - тяжелый бетон плотностью ρ
= 2350 кг/м3
с крупным заполнителем из карбонатных пород (известняк);
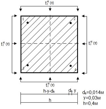
Рис. 1.1.2.1. Расчетная схема определения предела огнестойкости железобетонной колонны, подвергаемой четырехстороннему воздействию пожара:
, 2, 3, 4 - номера обогреваемых пожаром
поверхностей сечения колонны
.1.2.1 Определение предела огнестойкости
колонны. Первый расчетный период времени
) Определяем толщину слоя бетона, начавшего прогреваться:
где
-
первый расчетный период времени, ч;
- приведенный
коэффициент температуропроводности бетона, м2/ч, определяется по табл. П3.4
приложения 3 МУ для КР в зависимости от плотности бетона и вида заполнителя:
0,1444991349
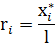
) Определяем относительные расстояния r1, r2,
r3, r4:
где
-
параметр, зависящий от расстояния от обогреваемой поверхности до ближайшего к
ней края арматуры, а так же характеристик бетона и арматуры, м;
Для расчетов принимается r1 = r3 и r2 = r4,
тогда параметры
и
определяются
по формулам:
где y - толщина защитного слоя бетона, м;
и
-
поправочные коэффициенты, определяются в зависимости от плотности бетона по
справочным данным, приведенным в табл. П3.5 приложения 3 МУ для КР:
= 0,62;
= 0,5;
так как
.
) Определим температуру арматуры
при
) Рассчитаем относительное расстояние,
определяемое для середины обогреваемой поверхности:
где b - расстояние между параллельными обогреваемыми поверхностями, м;
Если
то
При расчете мы получили
следовательно
) Найдем значение параметра
:
где
критическая
температура бетона, при превышении которой он теряет прочность.
Для тяжелого бетона с крупным заполнителем из
карбонатных пород критическая температура
;
- параметр,
определяемый по формуле:
Так как
,
то
) Определяем толщину слоя бетона
прогретого
до критической температуры у середины боковой поверхности колонны по формуле:
) Определяем относительное расстояние внутри
угла колонны, образованного обогреваемыми поверхностями: