Материал: Определение количества витков резьбового соединения с трапецеидальной резьбой, воспринимающего осевую сжимающую нагрузку

Внимание! Если размещение файла нарушает Ваши авторские права, то обязательно сообщите нам

Определение количества витков резьбового соединения с трапецеидальной резьбой, воспринимающего осевую сжимающую нагрузку

МИНИСТЕРСТВО ОБРАЗОВАНИЯ РЕСПУБЛИКИ БЕЛАРУСЬ

ГОМЕЛЬСКИЙ ГОСУДАРСТВЕННЫЙ ТЕХНИЧЕСКИЙ УНИВЕРСИТЕТ ИМЕНИ П. О. СУХОГО

Факультет автоматизированных и информационных систем

Кафедра «Информационные технологии»








РАСЧЕТНО-ПОЯСНИТЕЛЬНАЯ ЗАПИСКА

к курсовой работе

по дисциплине «Компьютерные системы конечно-элементных расчетов»

на тему: «Определение количества витков резьбового соединения с трапецеидальной резьбой воспринимающего осевую сжимающую нагрузку»

Исполнитель: Сусла Р.И.

Руководитель: преподаватель Курочка К.С.

Гомель 2014

Содержание

Введение

. Основные подходы к математическому моделированию физических систем

. Алгоритмический анализ задачи

.1 Постановка задачи, описание исходных и результирующих данных

.2 Описание математической модели

.3 Графическая схема алгоритма решения задачи

. Программная реализация

.1 Структура программного комплекса

.2 Инструкция пользователя

.3 Верификация

.4 Вычислительный эксперимент

Заключение

Список использованных источников

Приложение

Введение

Данная работа посвящена созданию математической модели физической системы, используя метод конечных элементов, с последующей ее программной реализацией.

Объектом исследования данной работы является применение метода конечных элементов к описанию математической модели физической системы.

Предметом исследования является применения метода конечных элементов, к решению задач механики деформируемого твёрдого тела.

Целью работы является изучение метода конечных элементов и исследование с его помощью резьбового соединения с трапецеидальной резьбой, воспринимающего осевое сжатие.

Таким образом, реализованное в данной работе программное обеспечение найдет свое практическое применение в таких отраслях промышленности как станкостроение, машиностроение и др.

1. Основные подходы к математическому моделированию физических систем

Существует множество подходов к математическому моделированию различных систем, наиболее распространенными являются:

.        Метод конечных разностей.

.        Метод граничных элементов.

.        Метод конечных элементов.

Суть методов состоит в разбиении дифференциальных уравнений, иначе говоря, представлении всех или доли производных в виде приближенных выражений. Это дает возможность преобразовать дифференциальные уравнения в системы алгебраических уравнений. Рассматриваемая область покрывается координатной сеткой, а все переменные заменяются сеточными функциями. Таким образом, переменные изучаются не для всего бесконечного множества точек области , а лишь для некоторого конечного подмножества.

Метод конечных разностей

Достоинство метода в том, что он сводит решение краевой задачи для дифференциального уравнения к решению системы алгебраических уравнений относительно значений искомой функции на множестве точек. Достигается это путем замены производных дифференциального уравнения, конечно-разностными аппроксимациями. [1]

Метод конечных разностей использует дискретизацию дифференциальных уравнений на прямоугольные координатные сетки.

Конечно-разностные сетки

При использовании метода конечных разностей область S разбивается на участки, образуя сетку (Рисунок 1). Множество точек A, в котором расстояние между любыми двумя точками одинаково, называется равномерной координатной сеткой, а число расстояние между точками - шагом сетки.

Область можно разбить на множество частей, вводя произвольные точки. Координатная сетка A будет иметь шаг, который зависит от номера узла. Если значение шага хотя бы для одного узла будет отличаться от значения шага соседнего узла, координатная сетка k называется неравномерной

Рисунок 1 - Координатные сетки: а - одномерная; б - двухмерная; в - трехмерная.

Функции сетки и конечные разности. Координатная сетка A для области S предполагает, что значения всех переменных и их производных рассматриваются только в узлах этой сетки (см. Рис. 1). С целью выполнения данного требования все переменные задачи заменяются сеточными функциями, а производные любого порядка - конечными разностями. [2]

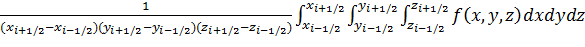
Если для некоторой области задана сетка A = {(xi, yj, zk) | i = 0, 1, 2, …, n, j = 0, 1, 2, …, m, k = 0, 1, 2, …, l, x0 = 0, xn = s1, y0 = 0, ym = s2, z0 = 0, zl = s3}, то функцию ϕ = ϕ (xi, yj, zk), i = 0, 1, 2, …, n, j = 0, 1, 2, …, m, k = 0, 1, 2, …,L дискретного аргумента (xi, yj, zk) называют сеточной функцией, определенной на сетке A. Любой непрерывной функции f(х, у, z), заданной в области S, можно поставить в соответствие сеточную функцию ϕ(xi, yj, zk), заданную на сетке A.

ϕi,j,k=f(xi,yj,zk); (1)

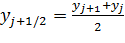
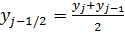
ϕi,j,k=, (2)

где xi±1/2, yj±1/2, zk±1/2 .

; (3)

; (4)

; (5)

; (6)

; (7)

; (8)

Из определения производная функции непрерывного аргумента x в точке x0 это предел отношения приращения функции к приращению аргумента, когда последнее стремится к нулю

. (9)

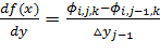
Исключая предел из выражения (9), производную функции непрерывного аргумента f(x, y, z) аппроксимируют разностным выражением, заданным на соответствующей сеточной функции ϕ(xi, yj, zk). Аппроксимация осуществляется различными способами, например:

; (10)

; (11)

; (12)

Выражения (10)-(12) называют правыми разностями.

; (13)

; (14)

; (15)

Выражения (13)-(15) называют левыми разностями.

; (16)

; (17)

; (18)

Выражения (16)-(17) называют центральными разностями.

Взяв n-ую производную от полученных выражений, могут быть получены аппроксимирующие выражения для производных более высоких порядков. Недостатком являются большие затраты памяти и большое время расчета в случае, если необходимо хранить сетки больших размерностей.

Метод конечных элементов. Преимущества МКЭ: доступность и простота понимания, применимость для задач с произвольной формой области решения, возможность создания на основе метода высококачественного программного обеспечения. [3]

В МКЭ начальная область определения функции разбивается при помощи сетки, на отдельные подобласти - конечные элементы. Искомая непрерывная функция аппроксимируется дискретной, определенной на множестве конечных элементов. Этапы алгоритма МКЭ. Выделение конечных элементов. Важным этапом является разбиение области на элементы. От этого во многом зависит точность результатов.

Дискретизация области на элементы часто начинают от ее границы с целью более близкой аппроксимации формы границы, затем производится разбиение внутренних областей. Резкого изменения размеров конечных элементов на границах подобластей стараются избегать. На рисунке 2 приведен пример разбиения двухмерной области произвольной формы на треугольные конечные элементы с криволинейными границами.

Рисунок 2 - Разбиение двухмерной области произвольной формы на треугольные конечные элементы.

Следующим этапом нумеруют узлы элементов. Порядок нумерации имеет в данном случае существенное значение, влияя на эффективность последующих вычислений.

Для нумерации узлов предпочтителен способ, обеспечивающий минимальную разность между номерами узлов в каждом отдельном элементе. Если максимальную разность между номерами узлов для отдельного элемента обозначить К, а число степеней свободы - М, ширина полосы:

L=(K+1)M (19)

Определение аппроксимирующей функции элементов. Ее выполняют один раз для типичного элемента области. Полученная функция используется далее для всех остальных элементов области того же типа. Впоследствии эти элементы применяются при решении разнообразных краевых задач. Аппроксимирующей функцией часто являются полиномы. В зависимости от его степени конечные элементы делятся на симплекс-, комплекс- и мультиплекс-элементы. Многочлены симплекс-элементов содержат константы и линейные члены; полиномы комплекс-элементов - константы, линейные члены, а также члены более высоких степеней. Полиномы мультиплекс-элементов также содержат члены более высоких степеней, но имеют дополнительные ограничения. [4]

Объединение конечных элементов в ансамбль. На этом этапе уравнения, относящиеся к отдельным элементам, объединяются в ансамбль, т. е. в систему алгебраических уравнений:

 (20)

Система (20) является моделью искомой непрерывной функции.

Определение вектора узловых значений функций

В общем случае вектор Ф в (5) вначале неизвестен. Его определение - наиболее сложная процедура в МКЭ.

Существует несколько алгоритмов вычисляющих вектор Ф. Один из алгоритмов основан на минимизации функционала, который связан с физическим смыслом решаемой задачи, он состоит из 4-х этапов.

Найденные значения вектора Ф подставляют в (20), после чего значение функции  легко вычисляется в любой точке заданной области.

Метод граничных элементов. Решая краевые задачи, можно строить модель технических объектов на основе интегральных уравнений. Необходимо перейти от дифференциальных уравнений в частных производных к эквивалентным интегральным уравнениям. Если такой переход успешен, решение исходной задачи может быть получено с малыми вычислительными затратами и высокой степенью точности. Размерность исходной задачи уменьшается на 1.

Переход от исходного дифференциального уравнения интегральному. Рассмотрим на простом примере алгоритм перехода. В двухмерной однородной области произвольной формы с коэффициентом проницаемости k требуется найти распределение функции , описанной уравнением

 (21)

Уравнение (21) является частным случаем квазигармонического уравнения  (1.1) при .

На границе L области заданы граничные условия первого рода

(22)

Нахождение сингулярного решения. МГЭ использует то свойство, что для большинства уравнений в частных производных существуют фундаментальные решения. Для рассматриваемой задачи фундаментальные решение записывается в виде

(23)

где  - значение искомой функции в произвольной точке области;  - единичное возмущающее воздействие, приложенное в точке .

Начала координат для систем х и  совпадают. Величина  определяется, в свою очередь уравнением

,

где  и  выбрано так, что G=0 при . Уравнение (23) определяет искомую функцию  относительно нулевого значения при

Введение фиктивных источников. Область G1 размещается в бесконечной области, для которой известно решение (23). Значения  на границе области должны совпадать c заданным граничным условием (22). Для этого, на границе вводятся фиктивные источники неизвестной интенсивности  на единицу длины границы L. В результате получаем искомое решение:

 (24)

Постоянная С, обеспечивает единственное решение. Далее С будет подбираться так, чтобы суммарное «испускание» от всех источников обращалось в ноль на бесконечно удаленной границе. Для удовлетворения заданных граничных условии необходимо, чтобы выполнялось равенство

 (25)

На основании равенства (25) базируется система интегральных уравнений относительно неизвестных фиктивных источников .

Разбиение границы рассматриваемой области.

Для приближенного решения (25) границы рассматриваемой области дискретизируют. Для простейшего случая граница заменяется линейными элементами. Отдельный элемент определяется координатой своей средней точки. Интенсивность неизвестных источников  в пределах элемента принимается постоянной. Выражение (25) запишется в виде [5]

(26)

где  - координата средней точки q-го граничного элемента.

Уравнение (26) определяет значение функции в средней точке q-го граничного элемента. В матричной форме (26) принимает вид

(27)

где  - длина q-го граничного элемента; р(е) - вектор-столбец размерности N;  - вектор-строка аналогичного размера.

При этом каждый элемент вектора-строки определяется по формуле

(28)

С учетом (28) уравнение (27) перепишется так:


Составляя такие же уравнения для каждого граничного элемента и суммируя по всем элементам, получают систему алгебраических уравнении