Материал: Оценка транспортного средства

Внимание! Если размещение файла нарушает Ваши авторские права, то обязательно сообщите нам

Документированные источники ценовой информации обеспечивают необходимый уровень доказательности результатов оценки. К ним в первую очередь относятся периодические и непериодические печатные издания, выпускаемые в соответствии с требованиями действующего законодательства. Это газеты, журналы, каталоги и справочники.

К не документированным источникам относятся издания, не имеющие официальной регистрации, данные из Internet, а также информационное обеспечение компьютерных программ для расчета оценки различных видов стоимости в отношении автотранспортных средств.

1.3.1 Виды износа при оценке транспортных средств

Износ - в оценочной деятельности относительная потеря стоимости транспортного средства в процессе эксплуатации из-за физического и морального износа.

Физический износ - относительная потеря стоимости транспортного средства из-за изменения его технического состояния в процессе эксплуатации, приводящего к ухудшению функциональных и эксплуатационных характеристик транспортного средства. Основными причинами физического износа транспортных средств являются изнашивание, пластические деформации, усталостные разрушения, коррозия, изменение физико-химических свойств конструктивных материалов [4, C 318].

Моральный износ - относительная потеря стоимости транспортного средства из-за снижения его полезности для осведомленного покупателя под влиянием факторов, к которым относятся достижения научно - технического прогресса в автомобилестроении, ограничения, накладываемые государственным регулированием на производство, импорт, товарные рынки и эксплуатацию транспортных средств, окончание производства транспортных средств, прекращение производства запасных частей к ним и т.д.

Применительно к оценке объекта износ (И) означает потерю стоимости объекта оценки вследствие:

его эксплуатации или длительного хранения (физический износ);

развития научно-технического прогресса, приведшего к выпуску более совершенных конструкций (функциональное устаривание или моральный износ);

коренного изменения макроэкономической ситуации (экономическое или внешнее устаривание).

В зависимости от количества (величины выборки) объектов-аналогов, представленных на рынке и вне зависимости от сферы применения (коммерческая или нет), применяются два метода расчета величины износа. При расчете величины износа для объектов, достаточно широко, по статистическим критериям, представленным на рынке, применяются различные экономико-статистические методы (регрессионный, корреляционный, дисперсионный и т.п.), которые позволяют рассчитать степень износа объекта оценки в зависимости от изменения его стоимости.

В противном случае, когда невозможно из-за недостаточности представленных на данном рынке количества аналогов применить какой-либо статистический метод (например, для редких и эксклюзивных автомобилей, для праворульных автомобилей в Московском регионе, или для отечественных и европейских в Дальновосточном регионе и т.п.), при расчете величины износа применяются эмпирические зависимости, позволяющие рассчитать износ объекта с учетом его возраста, срока службы, пробега и других временных факторов.

Кроме того, износ подразделяется на:

устранимый - износ, который возможно исправить технически и это целесообразно экономически;

неустранимый - износ, который невозможно устранить из-за конструктивных особенностей объекта или нецелесообразно устранять по экономическим соображениям, так как расходы на устранение превышают стоимость объекта.

Способом устранения физического износа является ремонт.

Физическим износом объекта называется изменение размеров, формы или состояния поверхностей, физико-механических, химических, электротехнических свойств материалов в процессе эксплуатации, аварии или длительного хранения. Физический износ вызывает частичную или полную потерю работоспособности объекта или его привлекательности и, как следствие, означает частичную или полную потерю стоимости объекта.

Естественным (нормальным) физическим износом, называют износ, который возникает приправильных (с соблюдением рекомендаций завода-изготовителя) эксплуатации или хранении объекта. В случае, если не определен конкретный вид физического износа, то "по умолчанию" подразумевается естественный физический износ.

Аварийным физическим износом называют износ, возникший в результате нештатной ситуации (ДТП, воздействие внешних сил и т.п.), а также при нарушении правил эксплуатации, в результате чего износ достигает таких размеров, что дальнейшая эксплуатация АМТС становится невозможной.

Функциональным устариванием (моральным износом) называется потеря стоимости объекта, вызванная появлением новых, конструктивно более совершенных, аналогичных объектов. Способом устранения функционального устаривания является модернизация объекта [5 C 325].

Экономическое (внешнее) устаривание - потеря стоимости, обусловленная влиянием внешних макроэкономических факторов. Оно может быть вызвано общеэкономическими и внутриотраслевыми изменениями, приводящими к резкому, катастрофическому падению спроса на определенные объекты (например, катастрофическое падение спроса и цен в 90-х годах на грузовые автомобили ЗИЛ-130 и ГАЗ-53). Экономическое устаревание является неустранимым видом износа.

Мерой износа объекта оценки, может служить величина потери его стоимости.

Величина естественного физического износа для АМТС, используемых в некоммерческих целях, (под «некоммерческими» понимаются АМТС, принадлежащие физическим лицам и используемые ими в личных целях - Ифиз) а также их комплектующих определяется по формуле:


где: Иб - базовое значение износа объекта, определяемое его сроком службы, проценты;

Ик - корректирующее по пробегу значение износа, определяемое величиной отклонения фактического пробега АМТС от среднегодового, проценты;

К - корректирующий коэффициент, учитывающий условия эксплуатации объекта и вычисляемый по формуле:


где: А1 - коэффициент корректирования износа, учитывающий природно-климатические условия эксплуатации;

А2 - коэффициент корректирования износа, учитывающий состояние окружающей среды в данном регионе;

А3 - коэффициент корректирования износа, учитывающий тип региона, в котором эксплуатировался объект.

В свою очередь:


где: И1 - коэффициент корректирования износа в зависимости от величины отклонения фактического пробега АМТС от среднегодового (равный 0,25% или 0,1 <#"803706.files/image004.gif">

где: И2 - величина износа АМТС за год эксплуатации (значения

износа для различного типа АМТС берётся из таблицы).

Значения фактического пробега (Пф) определяется по показаниям спидометра и учетным документам. В сомнительных случаях определяется расчетным путем по среднегодовому пробегу АМТС.

В этом случае формула упростится и примет вид:

При определении износа мототехники и автомобильной техники, используемой в коммерческих целях (под «коммерческими»понимаются АМТС, принадлежащие хозяйствующим субъектам),а также прицепного подвижного состава, используемого в любых целях, применяются нормы амортизационных отчислений, утвержденные соответствующим директивным органом.


где: - годовая норма амортизационных отчислений, %;

- покилометровая норма амортизационных отчислений, %.

Величина износа комплектующих, которые ранее уже подвергались ремонтным воздействиям определяется по формуле:

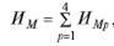
Расчет морального износа автотранспортного средства проводится по формуле:


где ИМр - p-ый фактор, учитываемый при определении морального износа автотранспортного средства, %. Расчет значения первого фактора, учитывающего на дату оценки снятие автотранспортного средства с производства, производится по формуле:


где Тсн - срок, прошедший с даты снятия автотранспортного средства с производства до даты оценки, лет. Значение фактора морального износа ИМ2, учитывающего прекращение выпуска запасных частей к транспортному средству, равно ИМ2 = 20%. Значение фактора морального износа ИМ3, учитывающего попадание ранее (до даты оценки) автотранспортного средства в дорожно-транспортное происшествие, равно ИМ3 = 5%. Значение фактора морального износа ИМ4, учитывающего количество владельцев автотранспортного средства (более 3 владельцев по данным регистрационных документов), равно ИМ4 = 20 %.

Для оценки автотранспортных средств используется следующая технологическая документация;

руководства по ремонту автомобилей;

руководства (инструкции) по эксплуатации автомобилей;

каталоги запасных частей на автомобили;

- технологическая документация на автомобили по видам работ, выполняемых при техническом обслуживании и ремонте;

прейскурант 27-07. Отпускные цены на детали к транспортным средствам;

сборники цен на автотранспортные средства, двигатели и запас-ные части к ним;

сборники цен на автомобили иностранного производства;

справочники "Евротакс", "Митчелл", "Аудатекс", "ДАТ", "Мотор" по легковым и грузовым автомобилям иностранного производства.

Перечень может быть сокращен в конкретном случае, в зависимости от номенклатуры видов предоставляемых предприятием работ.

1.3.2 Особенности оценки судов

Водные суда и плавучие средства подразделяются на следующие восемь классов.

сухогрузные суда:

суда для генеральных грузов:

Универсальные (с горизонтальной и вертикальной грузообработкой); Специализированные (автомобилевозы, контейнеровозы); Балкеры (для перевозки руды и т.п.).

суда для жидких грузов: Танкеры (для перевозки битума, сырой и переработанной нефти, химических продуктов, фруктовых соков и т.п.);

суда для химических грузов;

газовозы (для перевозки этилена, аммиака и т.п.).

пассажирские, грузопассажирские суда и паромы: Пассажирские, грузопассажирские судна (катамараны, плавучие рестораны, круизные, прогулочные, плавучие отели и т.п.);

обслуживающие суда: Ледоколы; Буксиры (портовые, спасательные, противопожарные, эскортные, для ледовой проводки в порту, кантовщики, толкачи и т.п.); Прочие обслуживающие суда (лоцманские судна, промерные судна, лоцмейстерские судна и т.п.).

научно-исследовательские суда (для океанографических и пелагических исследований, картирования морского дна, контроля окружающей среды, учебные, сейсморазведки и т.п.).

суда технического флота: Кабельные суда; Земснаряды; Плавучие краны, крановые суда (для строительных работ, трубоукладчики, плавучий деррик и т.п.).

средства освоения минеральных ресурсов океана (для обеспечения глубоководных работ, добычи и отгрузки углеводородов и т.п.).

промысловые суда.

В соответствии с методологией затратного подхода при оценке водного судна и плавучего средства, он состоит из следующих этапов:

а) Расчет полной стоимости воспроизводства (восстановительной стоимости) водного судна тем или иным методом.

б) Расчет величины общего накопленного износа.

в) Расчет стоимости водного судна как разницы между полной стоимости воспроизводства (восстановительной стоимостью) и обесценением, связанным с общим накопленным износом.

Для определения полной стоимости воспроизводства (восстановительной стоимости) водного судна и плавучего средства применяются следующие основные методы:

метод расчета по цене однородного объекта;

метод поэлементного расчета;

индексный метод (метод индексного пересчета);

метод укрупненных показателей.

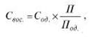
Метод расчета по цене однородного объекта. Для оцениваемого водного судна подбирается однородное водное судно, схожее по назначению, технологии строительства, материалам и конструкции, цена на которое известна [6 C 175].

При наличии некоторых различий между этими судами, в стоимость однородного водного судна вносятся корректировочные коэффициенты, учитывающие их. Например, при различии в грузовместимости объектов расчетная формула имеет вид:


где Свос. - восстановительная стоимость оцениваемого водного судна; Сод.- стоимость однородного водного судна (объекта-аналога);

П - показатель грузовместимости оцениваемого водного судна;

Под. - показатель грузовместимости однородного водного судна (объекта-аналога).

Метод поэлементного расчета. На начальном этапе определяется перечень комплектующих узлов (агрегатов), из которых состоит оцениваемое водное судно. На следующем этапе собирается ценовая информация по ним. На заключительном этапе стоимость комплектующих узлов (агрегатов), составляющих водное судно, суммируется. Необходимо отметить, что применение данного метода возможно только при наличии развитого рынка этих комплектующих узлов (агрегатов) и прозрачности цен на них.

Стоимость в рамках приведенного метода рассчитывается по формуле:


где Свос - восстановительная стоимость оцениваемого водного судна;

Ск у - стоимость комплектующих узлов (агрегатов), из которых состоит оцениваемое водное судно;

З - затраты изготовителя на сборку комплектующих узлов (агрегатов).

Индексный метод оценки. При его применении осуществляется приведение базовой стоимости объекта к современному уровню с помощью индекса (или нескольких индексов) изменения цен за определенный период.

Метод укрупненных показателей. Стоимость водного судна в этом случае рассчитывается на основе данных об издержках на строительство аналогичных оцениваемому судну водных судов, приходящихся на единицу технико-эксплуатационного показателя (грузоподъемность, дедвейт, пассажировместимости и т.п.) на дату оценки по формуле:

Свос. = Сед. Ч П,

где Свос. - восстановительная стоимость оцениваемого водного судна;

Сед. - стоимость сравнительной единицы;

П - количество сравнительных единиц.

Определение износа водного судна. Важным этапом оценки является расчет общего накопленного износа, который в оценочной практике подразделяется на физический, функциональный и внешний [7, C 321].

Физический износ. При оценке водных судов физический износ определяется следующими методами:

срока жизни водного судна;

укрупненной оценки технического состояния судна.

В рамках метода срока жизни величина износа рассчитывается как отношение эффективного возраста к сроку экономической жизни, которые устанавливаются общими нормативами или гарантированными сроками службы изготовителя. Расчетная формула имеет вид:


где Ифиз. - величинафизического износа водного судна (%);

Тэф. - эффективный возраст водного судна;