Материал: Оборудование и технология для механизированной сварки

Внимание! Если размещение файла нарушает Ваши авторские права, то обязательно сообщите нам

Образцы для испытания на ударный изгиб основного металла изготавливают перпендикулярно оси трубы.

При изготовлении образцов на ударный изгиб одна поверхность, перпендикулярная оси надреза, может иметь остатки черноты от проката.

Образцы для испытания на ударный изгиб металла шва и околошовной зоны изготавливают из металла шва, сваренного последним.

Надрез на образцах на ударный изгиб наносят перпендикулярно прокатной поверхности металла.

При изготовлении образцов для механических испытаний допускается правка заготовок под образцы (темплетов) с применением статической нагрузки.

Основной металл труб ранее испытанных плавок, механические свойства которого удовлетворяют требованиям настоящих технических условий, вновь не испытывают. В этом случае в документе о качестве указывают результаты предыдущих испытаний.

При получении неудовлетворительных результатов испытаний хотя бы по одному из показателей, по нему проводят повторное испытание на удвоенном количестве образцов, взятых от этой же партии или плавки.

В случае неудовлетворительных результатов повторных испытаний основного металла бракуют трубы данной плавки, при неудовлетворительных результатах повторных испытаний сварного соединения бракуют трубы данной партии. Заводу-изготовителю предоставляется право поштучного испытания по показателю, имеющему неудовлетворительные результаты.

Гидравлическое испытание проводят по ГОСТ 3845 с выдержкой под давлением не менее 20 с.

3. Расчетная часть

.1 Определение расхода сварочных материалов

Для расчета массы наплавленного металла при сварке ручной или автоматической сваркой применяется формула:

= F x L x Масса проволоки (1см3)

где: G -масса напл. металла; F-площадь попереч. сечения; L=длинна шва.

Исходя из массы наплавленного металла можно определить расход электродов для сварки разделив массу наплавленного металла G на 0,62 и расход проволоки для сварки разделив массу наплавленного металла G на 0,87.

.2 Определение норм времени на автоматическую сварку

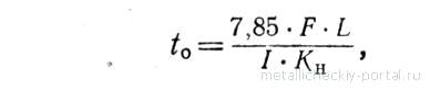
Основное время определяют по формуле:


где t0 - основное время, ч; L - длина шва, см; F - площадь сечения шва, см2;7,85 - плотность наплавленного металла, г/см3; I- ток, а;

Кп - коэффициент наплавки, г/а ч.

Количество наплавленного металла G в г подсчитывают по формуле G = 7,85F • L. Площади поперечного сечения швов F подсчитывают по чертежам сварных соединений и таблицам.

При многослойной сварке и выполнении разных слоев на различных режимах основное время сварки подсчитывают для каждого слоя отдельно, а затем суммируют.

Полученное время t0 нужно увеличить на 25% при сварке вертикального шва, на 30% для горизонтального и на 60% для потолочного шва.

Подготовительно-заключительное, вспомогательное и дополнительное время при ручной дуговой сварке составляет в процентах от основного времени: для сварки в условиях цеха - от 30 до 50%; для монтажной сварки на строительстве - от 40 до 60%.

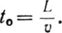
При автоматической сварке под флюсом основной величиной является скорость сварки v м/ч, которая задается режимом сварки.

Основное время t0 (ч) при автоматической сварке одного слоя шва длиной L (м) равно:


При многослойных швах полученную величину t0 следует умножить на число слоев (проходов) при сварке.

Вспомогательное время при автоматической сварке (на регулирование режима, установку и снятие изделия и пр.) подсчитывают отдельно для каждой операции с помощью нормировочных таблиц, составленных по данным хронометража этих операций. Сумма вспомогательного и дополнительного времени при автоматической сварке под флюсом может составлять от 60 до 80% основного времени.


.3 Определение расходов электроэнергии

Расход электроэнергии - важная технико-экономическая характеристика процесса сварки. Обыкновенно расход электроэнергии выражают в квт-час на 1 кг наплавленного металла и определяют по уравнению:


где А - расход электроэнергии на 1 кг наплавленного металла в квт-час/кг;д - напряжение на дуге при сварке в в;св - сила сварочного тока в а;

η - коэффициент полезного действия сварочного поста;

Т - полное время сварки в часах;- время горения дуги за время Т в часах;н - вес наплавленного металла за время Т в кг;о - мощность холостого хода сварочного трансформатора или генератора в квт. В числителе правой части уравнения первое слагаемое представляет расход электроэнергии, имевший место при горении дуги в течение времени t, а второе слагаемое представляет потери энергии при холостом ходе источника питания дуги.

В таблице приведены средние значения η и Wo при сварке на переменном и постоянном токе.

Значения η и W0 при сварке на переменном и постоянном токе.

Вид сварки

К. п. д. сварочного поста

Мощность холостого хода источника тока в квт

Сварка на переменном токе

0,8-0,85

0,2-0,3

Однопостовая сварка на постоянном токе

0,3-0,6

2,5-3

Многопостовая сварка на постоянном токе

0,24-0,43

-


Потери энергии во время холостого хода зависят от коэффициента использования сварочного поста. Например, при сварке на постоянном токе с коэффициентом использования поста 0,5 потери холостого хода составляют примерно 20-30% от общего расхода энергии на 1 кг наплавленного металла, а при коэффициенте использования, равном 0,3, потери холостого хода составят около половины общего расхода энергии.

Потери холостого хода при средних условиях сварки на переменном токе составляют 2-5%.

Для расчетного определения расхода электроэнергии при заданных режимах и условиях сварки можно пользоваться уравнением , полученным путем преобразования уравнения :


где ан - коэффициент наплавки в г\а-час;

к - коэффициент использования сварочного поста.

В уравнении (9) первое слагаемое представляет расход энергии в квт-час/кг при горении дуги (без учета потерь холостого хода), а второе слагаемое - расход энергии при холостом ходе, приходящийся на 1 кг наплавленного металла.

Для случаев определения расхода энергии без учета потерь холостого хода уравнение (9) имеет вид:

4. Охрана труда и техника безопасности при проведении сварочных работ

Поражение электрическим током. При дуговой сварке используют источники тока с напряжением холостого хода от 45 до 80 В, при постоянном токе от 55 до 75 В, при переменном токе от 180 до 200 В при плазменной резке и сварке. Поэтому источники питания оборудуются автоматическими системами отключения тока в течение 0,5 ... 0,9 с. при обрыве дуги. Человеческое тело обладает собственным сопротивлением и поэтому безопасным напряжением считают напряжение не выше 12 В.

При работе в непосредственном контакте с металлическими поверхностями следует соблюдать следующие правила техники безопасности:

ü  Надежная изоляция всех токоподводящих проводов от источника тока и сварочной дуги.

ü  Надежное заземление корпусов источников питания сварочной дуги (рис. 1.1).

ü  Применение автоматических систем прерывания подачи высокого напряжения при холостом ходе.

ü  Надежная изоляция электрододержателя для предотвращения случайного контакта с токоведущими частями электрододержателя с изделием.

ü  При работе в замкнутых помещениях (сосудах) кроме спецодежды следует применять резиновые коврики (калоши) и источники дополни тельного освещения.

ü  Не допускается контакт рабочего с клеммами и зажимами цепи высокого напряжения.

ü  Каждый сварочный пост должен быть огорожен негорючими материалами по бокам, а вход - асбестовой или другой негорючей тканью во избежание случайных повреждений других рабочих.

Краска, применяемая для окрашивания стен и потолков постовых кабин, должна быть матовой, чтобы уменьшить эффект отражения светового луча от них.

5. Экология и охрана окружающей среды

В соответствии с Конституцией РФ принимаются меры по охране и рациональному использованию земли и ее недр, водных ресурсов, растительного и животного мира, сохранению чистоты воздуха и воды. Эти меры группируются по следующим разделам: охрана водных ресурсов и пользование ими, охрана воздушного бассейна, охрана земель и пользование ими.

По водным ресурсам предусматриваются мероприятия по ведению сооружений по забору воды из водоемов, отчистки сточных вод, созданию систем оборотного водоснабжения с целью уменьшения безвозвратных потерь воды. Сброс использованной на производственных объектах воды в окружающую среду (реки, водохранилища или на рельеф местности) должны осуществляется только после прохождения биологической или механической очистки загрязненных стоков на очистных сооружениях.

Своевременное устранение дефектов, плановая замена и реконструкция нефтепроводов, подводных переходов, станций катодной защиты, антикоррозийных покрытий, заложенные в ежегодных планах технического перевооружения, реконструкции и капитального ремонта, позволяют существенно повысить надежность трубопроводов и одновременно являются мерами повышения экологической безопасности. Необходимо проводить мероприятия по осуществлению оперативной локализации и ликвидации последствий аварийных выходов нефти. Работа проводится по двум направлениям: техническая оснащенность аварийно-восстановительных подразделений и подготовленность персонала этих подразделений. Оснащение средствами ликвидации аварийных разливов нефти осуществляется путем приобретения природоохранного оборудования и материалов (это летние и зимние боновые заграждения, емкости для временного хранения нефти, противофильтрационные покрытия, лодки, установки для сжигания отходов, нефтесборщики).

Большое внимание в рамках природоохранных мероприятий должно уделяется восстановлению земель, нарушенных при ремонтных и строительных работах, и своевременной передаче их землепользователям. Восстановление нефтезагрязненных земель проводится на договорной основе со специализированными предприятиями, имеющими лицензии на данный вид работ.

Затраты на охрану окружающей среды должны ежегодно закладываются в планах с учетом выполнения требований природоохранного законодательства. Здесь предусмотрены затраты на оплату договоров со сторонними организациями за прием и переработку отходов, очистку сточных вод, химический и бактериологический анализ питьевой воды, мониторинг поверхностных вод, согласование и экспертизу нормативных документов, рекультивацию нарушенных и нефтезагрязненных земель, закупка материалов и оборудования для ликвидации аварийных разливов нефти.

Организации своей деятельностью не должны нарушать нормативные условия работы друг друга и ухудшать бытовые условия населения. С этой целью предусматриваются также меры борьбы с производственным шумом, вибрацией, действием электрических и магнитных полей. Шум, создаваемый сварочным оборудованием должен быть минимален.

6. Заключение

Как правило, самозащитная порошковая проволока Innershield применяется для полуавтоматической сварки заполняющих и облицовочных слоев шва различного рода неповоротных стыков трубопроводов так называемым методом «на спуск». Данный вид сварки может применяться как для проведения сварки неповоротных стыков трубопроводов, так и для выполнения соединений типа «труба-труба», «труба-арматура», а также «труба-комплектующие трубопровода». Для каждой из марок сталей существует свой собственный вид сварочной проволоки определенного диаметра.

Основное применение самозащитных порошковых проволок в России - строительство нефте- и газо-проводов, а также монтаж резервуаров.

Компания Lincoln Electric выпускает группу порошковых проволок марки Innershield, рекомендованных для сварки стыков магистральных и промысловых трубопроводов. Она способна обеспечить качественное выполнение сварных швов на большинстве низколегированных сталей до класса Х-80 (К-65). Это достигается за счет значительной и стабильной устойчивости электродов этого типа к образованию пористости, возникновению трещин и сварочных дефектов.

Замена ручного покрытого электрода порошковой проволокой Innershield значительно сокращает число рестартов шва и количество дефектов. Проволока не образовывает внутренних подрезов. Применение проволоки дает хорошие результаты при плохой сборке соединения, часто возникающей при работе на трассе, и позволяет сократить общее время сварки.

Кроме того, самозащитная порошковая проволока значительно более устойчива к негативному влиянию ветра и экстремальных температур.

Важная особенность порошковой проволоки Innershield - наплавка металла с пониженным содержанием диффузионного водорода, что практически невозможно при использовании иных методов сварки стыков труб на спуск.

. ЛИТЕРАТУРА

1.     Маслов В.И. Сварочные работы: учебник для начального профессионального образования. - М.: ОИЦ «Академия», 2008.

2.       Маслов Б.Г., Выборнов А.П. Производство сварных конструкций: учебник для студентов учреждений СПО.-М.: ОИЦ «Академия», 2007 .

.         Юхин Н.А. «Газосварщик»- учебное пособие для НПО.- М.:ОИЦ «Академия», 2009 .

.         Чернышов Г.Г. «Справочник газосварщика и газорезчика».- М: ОИЦ «Академия», 2010 .

.         Чернышов Г.Г. «Основы теории сварки и термической резки металлов».- М: ОИЦ « Академия», 2010 .

.         В.Н.Галушкина Технология производства сварных конструкций.- учебник для НПО.- М.: ОИЦ «Академия», 2010.

.         В.В. Овчинников. Охрана труда при производстве сварочных работ: учебное пособие.- М.: ОИЦ «Академия», 2008

Дополнительные источники:

1.     Юхин Н.А. Ручная дуговая сварка неплавящимся электродом в защитных газах - иллюстрированное пособие сварщика.- М.: издательство СОУЭЛО, 2008.

2.       Чернышов Г.Г., Полевой Г.В. Справочник электрогазосварщика и газорезчика: учебное пособие для начального профессионального образования.- М.:ОИЦ «Академия», 2010.

.         Юхин Н.А., Варновицкий И.Н. Выбор сварочного электрода - учебно-справочное пособие, 2-е изд.- М.: издательство СОУЭЛО, 2008.

.         Юхин Н.А. Механизированная дуговая сварка плавящимся электродом в защитных газах- иллюстрированное пособие сварщика.- М.: издательство СОУЭЛО, 2008.

5.     ГОСТ 5264-80, ГОСТ 11534-75,ГОСТ 9466-75, ГОСТ 9467-75,ГОСТ 5190-78, ГОСТ 13861-89,ГОСТ 9356-75,ГОСТ 1077-79Е ,ГОСТ 15150-69, ГОСТ 95-77, ГОСТ 12-77, ГОСТ 13821-77.

1.     Электронные ресурсы (форма доступа):

2.       Информационный сайт «О сварке»: <http://www.osvarke.com/mma.html>

.         Справочник по технике ручной дуговой сварки: <http://build.novosibdom.ru/>

.         Информационный сайт «Вся сварка для Вас»: <http://websvarka.ru/welding.html>

.         Информационный сайт «Svarkainfo.ru»: ://www.svarkainfo.ru/rus/technology/dugsvar/ <../Local Settings/Temp/Rar$DI05.625/ПМ 02-7 апреля.doc>

8. Список регламентов

Перечень

нормативных документов организации системы «Транснефть» по профессии «Электрогазосварщик»

Обозначение НД

Наименование НД

1

РД-25.160.00-КТН-011-10 Изм. № 1

Сварка при строительстве и капитальном ремонте магистральных нефтепроводов

2

РД-75.180.00-КТН-150-10

Регламент по вырезке и врезке «катушек» соединительных деталей, заглушек, запорной и регулирующей арматуры и подключению участков магистральных нефтепроводов

3

ОР-03.100.30-КТН-150-11

Порядок организации огневых, газоопасных и других работ повышенной опасности на взрывопожароопасных и пожароопасных объектах организаций системы «Транснефть» и оформление наряд -допусков на их подготовку и проведения

4

ОТТ-23.040.00-КТН-314-09

ОТТ. Трубы нефтепроводные большого диаметра

5

РД-03.120.10-КТН-001-11

Положение об аттестации сварочного производства на объектах ОАО «АК «Транснефть»

6

РД-19.100.00-КТН-001-10

Неразрушающий контроль сварных соединений при строительстве и ремонте МТ

7

ОТТ-17.020.00-КТН-253-10

Магистральный нефтепровод. Контрольно -измерительные приборы. ОТТ

8

ОТТ-13.340.01-КТН-086-11

Средства индивидуальной защиты работников организаций системы «Транснефть»

9

РД-75.000.00-КТН-079-10

Руководство по техническому обслуживанию и ремонту оборудования и сооружений НПС

10

РД 09-364-00

Типовая инструкция по организации безопасного проведения огневых работ на взрывоопасных и взрывопожароопасных объектах

11

РД-25.160.10-КТН-001-12

Инструкция по технологии сварки при строительстве и ремонте стальных вертикальных резервуаров

12

РД 39-00147105-015-98

Правила капитального ремонта магистральных нефтепроводов