Материал: Нуклеиновые кислоты

Внимание! Если размещение файла нарушает Ваши авторские права, то обязательно сообщите нам

Нуклеиновые кислоты

Содержание

 

1. Общие сведения о нуклеиновых кислотах и история их открытия

2. Нахождение нуклеиновых кислот в природе

3. Строение нуклеиновых кислот

3. Номенклатура нуклеотидов

4. Структура нуклеиновых кислот

4.1 Первичная структура

4.2 Вторичная структура ДНК

5. Функции нуклеиновых кислот

5.1 Функции ДНК

5.2 Функции РНК

Список использованной литературы

1. Общие сведения о нуклеиновых кислотах и история их открытия

Нуклеиновые кислоты, биополимеры, состоящие из остатков фосфорной кислоты, сахаров и азотистых оснований (пуринов и пиримидинов).

Нуклеиновые кислоты играют главную роль в передаче наследственных признаков (генетической информации) и управлении процессом биосинтеза белка.

Открытие нуклеиновых кислот связано с именем молодого врача из города Базеля (Швейцария) Фридриха Мишера. После окончания медицинского факультета Мишер был послан для усовершенствования и работы над диссертацией в Тюбинген (Германия) в физиолого-химическую лабораторию, возглавляемую Ф. Гоппе-Зейлером. Тюбингенская лаборатория в то время была известна ученому миру. Пройдя практику по органической химии, Мишер приступил к работе в биохимической лаборатории. Ему было поручено заняться изучением химического состава гноя. Молодой ученый не возражал против предложенной темы, так как считал лейкоциты, присутствующие в гное, одними из самых простых клеток.

Путём многочисленных опытов он получил из гнойных клеток вещество ядерного происхождения. Мишер был уверен именно в ядерном его источнике. Поэтому он начал более тщательное выделение ядер. В то время еще никто в биохимических лабораториях не пытался выделить ядра или какие-либо другие субклеточные компоненты, так что и здесь он был пионером.

Продолжив дальше очищать ядро от других клеточных фрагментов, он получил странное вещество. Оно не разлагалось протеолитическими ферментами, значит, не являлось белком. Отсутствие растворимости в горячем спирте указывало на то, что это вещество не являлось и фосфолипидом. По-видимому, оно относилось к новому классу биохимических соединений.

Но Мишер с большой горячностью настаивал на точности своих результатов и добивался разрешения опубликовать их в печати. Тогда Гоппе-Зейлер решил проверить данные Мишера лично. Он и два его ассистента (одним из них был русский химик Любавин) в течение года шаг за шагом прошли все этапы аналитической работы Мишера и полностью подтвердили его данные, выделив нуклеин из клеток крови и из дрожжей.

В 1871 г. работа Мишера вместе с подтверждающими ее контрольными работами Гоппе-Зейлера и его ассистентов увидела свет. Существование нуклеина как специфического ядерного вещества стало научным фактом. Вскоре методика Мишера была применена для выделения нуклеина из различных тканей.

В 1879 немецкий химик К.А. Коссель открыл в нуклеине соединение желтого цвета, которое оказалось гуанином, ранее выделенным из перуанского гуано - помета птиц, ценного азотного удобрения. Впоследствии он же выделил тимин клеток вилочковой железы, или тимуса, быка (отсюда название), цитозин (от греч. cytos - клетка) и аденин (от греч. aden - железа). Русский химик Ф. Левен установил, что, кроме тетрады аденин, гуанин, тимин и цитозин, нуклеин содержит еще и фосфорную кислоту и сахар дезоксирибозу. Термин "нуклеиновые кислоты" был предложен в 1889: нуклеиновыми они были названы потому, что впервые были открыты в ядрах клеток, а кислотами - из-за наличия в их составе остатков фосфорной кислоты. Позже было показано, что нуклеиновые кислоты построены из большого числа нуклеотидов (от нескольких десятков до сотен миллионов). В состав каждого нуклеотида входит азотистое основание, углевод (пентоза) и фосфорная кислота.

Сам же термин "нуклеиновые кислоты" был предложен в 1889 году: нуклеиновыми они были названы потому, что впервые были открыты в ядрах клеток, а кислотами - из-за наличия в их составе остатков фосфорной кислоты. Позже было показано, что нуклеиновые кислоты построены из большого числа нуклеотидов (от нескольких десятков до сотен миллионов). В состав каждого нуклеотида входит азотистое основание, углевод (пентоза) и фосфорная кислота.

Впоследствии было установлено, что существует два типа нуклеиновых кислот: рибонуклеиновая (РНК) и дезоксирибонуклеиновая (ДНК), однако их функции долго оставались неизвестными.

В 1928 английский бактериолог Ф. Гриффит обнаружил, что убитые патогенные пневмококки могут изменять генетические свойства живых непатогенных пневмококков, превращая последние в патогенные. В 1945 микробиолог О. Эвери из Рокфеллеровского института в Нью-Йорке сделал важное открытие: он показал, что способность к генетической трансформации обусловлена переносом ДНК из одной клетки в другую, а следовательно, генетический материал представляет собой ДНК. В 1940-1950 Дж. Бидл и Э. Тейтум из Станфордского университета (шт. Калифорния) обнаружили, что синтез белков, в частности ферментов, контролируется специфическими генами. В 1942 Т. Касперсон в Швеции и Ж. Браше в Бельгии открыли, что нуклеиновых кислот особенно много в клетках, активно синтезирующих белки. Все эти данные наводили на мысль, что носителем генетического материала являются нуклеиновые кислоты и что они каким-то образом участвуют в синтезе белков. Однако в то время многие полагали, что молекулы нуклеиновых кислот, несмотря на их большую длину, имеют слишком простую периодически повторяющуюся структуру, чтобы нести достаточно информации и служить основой генетической информации. Но в конце 1940-х годов Э. Чаргафф в США и Дж. Уайатт в Канаде, используя метод распределительной хроматографии на бумаге, показали, что структура ДНК не столь проста и эта молекула может служить носителем генетического материала.

Структура ДНК была установлена в 1953 М. Уилкинсом, Дж. Уотсоном и Ф. Криком в Англии. Это фундаментальное открытие позволило понять, как происходит удвоение (репликация) нуклеиновых кислот. Вскоре после этого американские исследователи А. Даунс и Дж. Гамов предположили, что структура белков каким-то образом закодирована в нуклеиновых кислотах, а к 1965 эта гипотеза была подтверждена многими исследователями: Ф. Криком в Англии, М. Ниренбергом и С. Очоа в США, Х. Кораной в Индии. Все эти открытия, результат столетнего изучения нуклеиновых кислот, произвели подлинную революцию в биологии. Они позволили объяснить феномен жизни в рамках взаимодействия между атомами и молекулами.

нуклеиновая кислота нуклеотид структура

2. Нахождение нуклеиновых кислот в природе


Нуклеиновые кислоты в природе встречаются во всех живых клетках. Живые клетки, за исключением сперматозоидов, в норме содержат значительно больше рибонуклеиновой, чем дезоксирибонуклеиновой кислоты. На методы выделения дезоксирибонуклеиновых кислот оказало большое влияние то обстоятельство, что, тогда как рибонуклеопротеиды и рибонуклеиновые кислоты растворимы в разбавленном (0,15 М) растворе хлористого натрия, дезоксирибонуклеопротеидные комплексы фактически в нем нерастворимы.

Поэтому гомогенизированный орган или организм тщательно промывают разбавленным солевым раствором, из остатка с помощью крепкого солевого раствора экстрагируют дезоксирибонуклеиновую кислоту, которую осаждают затем добавлением этанола.

В клетках эукариот (например, животных или растений) ДНК находится в ядре клетки в составе хромосом, а также в некоторых клеточных органоидах (митохондриях и пластидах). В клетках прокариотических организмов (бактерий и архей) кольцевая или линейная молекула ДНК, так называемый нуклеотид, прикреплена изнутри к клеточной мембране. У них и у низших эукариот (например, дрожжей) встречаются также небольшие автономные, преимущественно кольцевые молекулы ДНК, называемые плазмидами. Кроме того, одно - или двухцепочечные молекулы ДНК могут образовывать геном ДНК-содержащих вирусов.

3. Строение нуклеиновых кислот


Нуклеиновые кислоты представляют собой биополимеры. Их макромолекулы состоят из не однократно повторяющихся звеньев, которые представлены нуклеотидами. И их логично назвали полинуклеотидами. Одной из главных характеристик нуклеиновых кислот является их нуклеотидный состав. В состав нуклеотида (структурного звена нуклеиновых кислот) входят три составные части:

) Азотистое основание (нуклеиновое основание). Так в химии НК называют входящие в их состав гетероциклические соединения, среди которых различают структуры пиримидинового и пуринового рядов. В нуклеиновых кислотах содержатся основания 4-х разных видов: два из них относятся к классу пуринов и два - к классу пиримидинов. Азот, содержащийся в кольцах, придает молекулам основные свойства. В качестве заместителей в гетероциклическом ядре они содержат либо оксо - (урацил, тимин), либо аминогруппу (аденин), либо одновременно обе эти группы (цитозин, гуанин). Для них принято буквенное обозначение, составленное из первых букв их латинских названий.



НК различаются входящими в них гетероциклическими основаниями: урацил входит только в РНК, а тимин - в ДНК.


) Моносахарид - D-рибоза или 2-дезокси-D-рибоза. Сахар, входящий в состав нуклеотида, содержит пять углеродных атомов, т.е. представляет собой пентозу. В зависимости от вида пентозы, присутствующей в нуклеотиде, различают два вида нуклеиновых кислот - рибонуклеиновые кислоты (РНК), которые содержат рибозу, и дезоксирибонуклеиновые кислоты (ДНК), содержащие дезоксирибозу.


) Остаток фосфорной кислоты. Нуклеиновые кислоты являются кислотами потому, что в их состав входит остаток фосфорной кислоты.

Нуклеозиды - это гетероциклические соединения, образованные N-гликозидной связью между азотистым основанием и моносахаридом (рибозой или дезоксирибозой)



В зависимости от природы углеводного остатка различают рибонуклеозиды и дезоксирибонуклеозиды. Более часто употребляются названия, производимые от тривиального названия соответствующего нуклеинового основания с суффиксами - идин у пиримидиновых и - озин у пуриновых нуклеозидов.


Являясь N-гликозидами, нуклеозиды устойчивы к гидролизу в слабощелочной среде, но легко расщепляются в кислой. Пуриновые нуклеозиды гидролизуются легко, пиримидиновые - труднее.

Антибиотики-нуклеозиды.

В клетках в свободном состоянии содержатся некоторые нуклеозиды, не являющиеся компонентами нуклеиновых кислот. Эти нуклеозиды обладают антибиотической активностью и приобретают все большее значение при лечении злокачественных новообразований. Известно несколько десятков таких нуклеозидов, выделенных из микроорганизмов, а также из растительных и животных тканей.

Нуклеозиды-антибиотики отличаются от обычных нуклеозидов некоторыми деталями строения либо углеводной части, либо гетероциклического основания. По-видимому, это позволяет им выступать в роли антиметаболитов. Нуклеозидные антибиотики пиримидинового ряда часто подобны цитидину, пуринового ряда - аденозину.

Нуклеотиды.

Нуклеоти́ды - фосфорные эфиры нуклеозидов, нуклеозидфосфаты.


В природе наиболее распространены нуклеотиды, являющиеся β-N-гликозидами пуринов или пиримидинов и пентоз - D-рибозы или D-2-дезоксирибозы. В зависимости от структуры пентозы различают рибонуклеотиды и дезоксирибонуклеотиды, которые являются мономерами молекул сложных биологических полимеров (полинуклеотидов) - соответственно РНК или ДНК.


Таким образом, структура нуклеотида образована двумя связями: N-гликозидной связью между азотистым основанием и моносахаридом (рибоза или дезоксирибоза) и сложноэфирной связью между моносахаридом и остатком фосфорной кислоты.

 

3. Номенклатура нуклеотидов


Для нуклеотидов используют два вида названий. Одно включает наименование нуклеозида с указанием положения в нем фосфатного остатка, например, аденозин-3'-фосфат, уридин-5'-фосфат; другое строится с добавлением сочетания - иловая кислота к названию остатка пиримидинового основания, например, 5'-уридиловая кислота, или пуринового основания, например 3'-адениловая кислота.

Используя принятый для нуклеозидов однобуквенный код, 5'-фосфаты записывают с добавлением латинской буквы "р" перед символом нуклеозида, 3'-фосфаты - после символа нуклеозида. Аденозин-5'-фосфат обозначается рА, аденозин-3'-фосфат - Ар и т.п. Эти сокращенные обозначения используют для записи последовательности нуклеотидных остатков в нуклеиновых кислотах.

По отношению к свободным нуклеотидам в биохимической литературе широко используют их названия как монофосфатов с отражением этого признака в сокращенном коде, например АМР (или АМФ) для аденозин-5'-фосфата и т.д.

 

4. Структура нуклеиновых кислот

4.1 Первичная структура


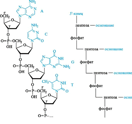
В полинуклеотидных цепях нуклеотидные звенья связаны через фосфатную группу. Фосфатная группа образует две сложноэфирные связи: с С-3' предыдущего и с С-5' последующего нуклеотидных звеньев. Каркас цепи состоит из чередующихся пентозных и фосфатных остатков, а гетероциклические основания являются "боковыми" группами, присоединенными к пентозным остаткам. Нуклеотид со свободной 5'-ОН группой называют 5'-концевым, а нуклеотид со свободной З'-ОН группой - З'-концевым.

На рисунке приведено строение произвольного участка цепи ДНК, включающего четыре нуклеиновых основания. Легко представить, какое множество сочетаний можно получить путем варьирования последовательности четырех нуклеотидных остатков. Принцип построения цепи РНК такой же, как и у ДНК, с двумя исключениями: пентозным остатком в РНК служит D-рибоза, а в наборе гетероциклических оснований используется не тимин, а урацил.


Первичная структура нуклеиновых кислот определяется последовательностью нуклеотидных звеньев, связанных ковалентными связями в непрерывную цепь полинуклеотида.

Для удобства записи первичной структуры существует несколько способов сокращений. Один из них заключается в использовании ранее приведенных сокращенных названий нуклеозидов. Например, показанный на рисунке фрагмент цепи ДНК может быть записан как d (ApCpGpTp.) или d (A-C-G-T.). Часто букву d опускают, если очевидно, что речь идет о ДНК.

Важной характеристикой нуклеиновых кислот служит нуклеотидный состав, т.е. набор и количественное отношение нуклеотидных компонентов. Нуклеотидный состав устанавливают, как правило, путем исследования продуктов гидролитического расщепления нуклеиновых кислот.

ДНК и РНК различаются поведением в условиях щелочного и кислотного гидролиза. ДНК устойчивы к гидролизу в щелочной среде. РНК легко гидролизуются в мягких условиях в щелочной среде до нуклеотидов, которые, в свою очередь, способны в щелочной среде отщеплять остаток фосфорной кислоты с образованием нуклеозидов. Нуклеозиды в кислой среде гидролизуются до гетероциклических оснований и углеводов.