Материал: Нормирование точности деталей узлов и механизмов в машиностроении

Внимание! Если размещение файла нарушает Ваши авторские права, то обязательно сообщите нам

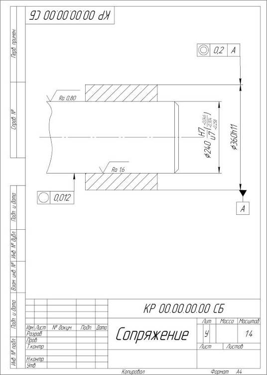
- внутренний диаметр соединения. Посадка в значении не проставляется, так как в знаменателе поле допуска отсутствует;

- наружный диаметр соединения;

 - посадка для наружного диаметра;

- ширина зуба (шлицы);

 - посадка для ширины шлицa.

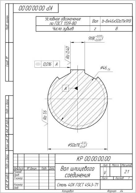
Запишем обозначения для шлицевого вала и шлицевой втулки отдельно.

 - обозначение втулки

В этом обозначении у внутреннего диаметра d = 32 мм проставляется поле допуска втулки H7.

 - обозначение вала.

4.Расчет размерных цепей

4.1 Расчет методом полной взаимозаменяемости

Дано:

 ;; ; ; ; ; ; .

Решение:

Номинальный размер замыкающего звена:

,

где АΔ - замыкающее звено, АIУB - увеличивающий размер, АIУM - уменьшающий размер, m - число увеличивающих звеньев, n - число составляющих звеньев.

Средний коэффициент точности a: ,

где TA- допуск замыкающего звена; I- единица допуска; n- число составляющих звеньев.

Для данной задачи i1=i2=0,9 мкм; i3= 1,08 мкм; i4=i5=1,31мкм; i6 =1,86 мкм; i7=1,86 мкм; i8=2,90 мкм.

Таблица 1:

Номинальные размеры составляющих звеньев,Ai,мм

Допуск замыкающего звена TA, мкм

Единица допуска, i мкм

Допуски составляющих звеньев, TAi,мкм

Размеры звеньев с отклонениями,мм




Табличные

Откорректированные


1

2

3

4

5

6

A1=8 A2=8 A3=14 A4=20 A5=20 A6=60 A7=70 A8=201

200

0,90 0,90 1,08 1,31 1,31 1,86 1,86 2,9

 

8-0,015 8-0,015 14-0,018 20-0,021 20-0,021 60-0,030 70-0,035


Единицы допуска для интервалов размеров [3, табл. 4.4] заносим в таблицу

Квалитет точности 8: значение a ближе к 25 [3, табл. 4.5]

Значения допусков составляющих звеньев согласно квалитета и размера заносим в таблицу [3, табл. 4.6]

Проверка допуска. Допускается, чтобы сумма допусков составляющих звеньев была равна или меньше допуска замыкающего звена, но не более чем на 5…6 %:

; мкм;

Размеры уменьшающих звеньев с отклонениями заносим в таблицу. Так как размеры с по  охватываемые, то назначаем отклонения как для валов.

Размеры увеличивающего звена:

Будем считать отклонение замыкающего звена симметричным, то есть

;

;

4.2 Расчет теоретико-вероятностным методом

Рассчитать сборочную размерную цепь теоретико-вероятностным методом.

Составить схему размерной цепи с обозначением увеличивающих и уменьшающих размеров. Для этого провести анализ и выявить уменьшающие и увеличивающие размеры.

Дано:

Номинальные размеры, мм: А1=8; А2=8; А3=14; А4=20; А5=20; А6=60; А7=70; А8=201.

Законы распределения А1=1; А2=1; А3=2; А4=2; А5=3; А6=3; А7=3; А8=1.

Допуск замыкающего звена ТА = 200 мкм.

Решение:

) Составляем таблицу, в которую заносим размеры звеньев и числовые значения единиц допусков составляющих звеньев.

Таблица 2.

Номинальные размеры составляющих звеньев, мм

Допуск замыкающего звена ТА, мкм

Законы распределения

Единица допуска, i2, мкм

Допуски составляющих звеньев TAi, мкм

Размеры звеньев с отклонениями, мм











Табличные.

Откорректированные
















1

2

3

4

5

6

7

A1=8 A2=8 A3=14 A4=20 A5=20 A6=60 A7=70 A8=201

   200

1 1 2 2 3 3 3 1

0,81 0,81 1,16 1,71 1,71 3,46 3,46 8,41

36 36 43 52 52 74 74 115


8-0,036 8-0,036 14-0,043 20-0,052 20-0,052 60-0,074 70-0,074  


2) Средний коэффициент точности подсчитываем по формуле


где  - средний коэффициент точности;

ТА - допуск замыкающего звена;

 - коэффициент, соответствующий закону распределения;

 - единица допуска.

для закона нормального распределения ;

для закона равной вероятности;

для закона треугольника.

) Знаменатель выражения для а будет выглядеть следующим образом:


Подставив значения допусков, получим

) По среднему коэффициенту точности а находим квалитет (см. табл.5.3 3). Число ближе к 40, поэтому выбираем 9 квалитет.

) Согласно квалитету и размерам звеньев, находим допуски на составляющие размеры (табл 4.6 3 ) и заносим их в таблицу.

) Проводим проверку по формуле


7) Проставим размеры с отклонениями в таблицу 2 (кроме увеличивающего звена), пользуясь следующим правилом: отклонения для всех охватываемых размеров (как для валов) назначим с допусками в «минус». Такими являются размеры A1… А7

Отклонения для увеличивающего звена А8, подсчитываем. Для этого определим средние отклонения для уменьшающих размеров с A1 по А7:

,

где ΔсА - среднее отклонение размера; ESAi, - верхнее предельное отклонение размера; EIAi, - нижнее предельное отклонение размера.

Расчет проводится с учетом знаков отклонений в мкм:


8) Для замыкающего звена (АΔ) положим верхнее отклонение, равным допуску, а нижнее - равным 0. ESAΔ = TAΔ = 320 мкм; EIAΔ = 0. Тогда среднее отклонение для замыкающего звена


Среднее отклонение для увеличивающего размера А8 находим по уравнению


cAyм = (- 29)*2 + (-42)*3 + (- 50)+(-60) = -294 мкм;= - 294 + 160 = -134 мкм.

9) Верхнее и нижнее отклонения для увеличивающего размера А8 определяем из следующих уравнений:

ЕSA8 = cА8 + 1/2ТА8; ЕIA8 = cА8 - 1/2ТА8.

Табличный допуск для A8 взять по таблице 2. Тогда

расчетные значения отклонений звена составят:

ЕSA8 = - 134 + 1/2320 = 26 мкм; ЕIA8 = -134 - 1/2320 = - 294 мкм.

Запишем размер А8 с расчетными отклонениями в таблицу 2.

Допуски, рассчитанные методом полной взаимозаменяемости, получаются менее жесткими, т. е. точность ниже, чем при расчете теоретико-вероятностным методом.

5. Зубчатые соединения

Вид зубчатых колес - цилиндрические, прямозубые, некоррегированные. Параметры: m = 4.5, Z1 = 30, Z2 = 75. Назначение - колеса прецизионного механизма.

. Согласно назначению зубчатой передачи определяем, что контакт зубьев и боковой зазор являются группой показателей точности, которая имеет наибольшее значение для данной передачи (см. подраздел 4.1 3).

. Определяем степень точности для выбранной группы показателей по табл. 5.12 2. Из той же таблицы выпишем окружную скорость.

Степень точности для группы контакта зубьев равна 5, окружная скорость - 25 м/с.

. В данной задаче для групп плавности и кинематических показателей назначим одинаковые степени точности на одну ниже, чем для группы контакта зубьев, т. е. степень точности 6.

. Исходя из величины окружной скорости, определяем вид сопряжения, учитывая, что наименьший боковой зазор назначается для тихоходных передач, а наибольший - для быстроходных.

В данной задаче передача среднескоростная, т. к. скорость 25 м/с, поэтому выбираем вид сопряжения D

. Пользуясь табл. 4.1 [3], назначим допуск на боковой зазор и укажем класс отклонения межосевого расстояния.

Допуск на боковой зазор - d, класс отклонения межосевого расстояния - III.

. Запишем обозначение точности зубчатой цилиндрической передачи:

-6-5 D ГОСТ 1643-81,

где 6 - степень точности кинематической группы показателей; 6 - степень точности группы плавности; 5 - степень точности группы контакта зубьев; D - вид сопряжения; d - допуск на боковой зазор.

. Для одной группы показателей точности, которая имеет наибольшее значение для данной передачи, определяем нормируемые показатели. В приведенной выше задаче наибольшее значение имеет контакт зубьев. Показатели выписываем по табл.5.4 и 5.5 2. Для этого надо подсчитать делительные диаметры двух данных в задаче колес d1 и d2 ,ширину каждого зубчатого колеса b1 и b2 ,межосевое расстояние передачи aw. Ширину зубчатого венца положим равной 1/3 делительного диаметра.

По табл. 5.17 2 выпишем значения гарантированного бокового зазора jn min и отклонения межосевого расстояния fa. Для этого подсчитаем межосевое расстояние.

Виду сопряжения D, классу межосевого расстояния III, его величиной, равной 56 мм, отклонению межосевого расстояния fa = ± 28 мкм, соответствует гарантированный боковой зазор jn min = 54 мкм.

Параметры и обозначения

Формулы

Передаточное число, n

N = z2/z1 =2.5; z1 - число зубьев шестерни, z2- число зубьев колеса

Модуль, m, мм

4.5

Диаметр делительной окружности, d, мм

d1=mnz1=142.1 d2=mnz2=355.2

Диаметр вершин зубьев, da,мм

da1=d1+2 mn =151.1  da2=d2+2,5 mn =364.32

Диаметр впадин зубьев, dr,мм

df1=d1-2,5 mn =130.85 df2=d2-2,5 mn =343.95

Высота зуба, h, мм

h = ha+hf=10.125

Высота головки зуба, ha, мм

ha = mn =4.5

Высота ножки зуба, hf, мм

hf =1,25 mn =5.625

Межосевое расстояние, aw, мм

aw=(d1+d2)/2 = mn(z1+z2)=248.65



Заключение

В курсовой работе были проведены все необходимые расчеты, которые требуются по заданию. Учтены конструктивные особенности механизма и условия его работы.

Мы изучили методику расчета гладких цилиндрических соединений, расчета посадок с натягом, выбор переходных посадок, расчета подшипников качения, расчета прямобочных шлицевых соединений, расчета размерных цепей методом полной взаимозаменяемости и теоретико-вероятностным методом, расчета показателей зубчатых соединений.

Библиографический список

Допуски и посадки: Справочник: В 2 ч./ В.Д. Мягков, М.А. Палей, А.Б. Романов, В.А. Брагинский. -8-е изд., перераб. и доп. -СПб.: Машиностроение, 2001. - Ч. 1.

Допуски и посадки: Справочник: В 2 ч./ В.Д. Мягков, М.А. Палей, А.Б. Романов, В.А. Брагинский. -8-е изд., перераб. и доп. -СПб.: Машиностроение, 2001. - Ч. 2.

Взаимозаменяемость : Методические указания к выполнени работы для студентов технических специальностей/ Сост.: Кревина Т.Е., Захарова Н.В.; СибГАУ.- Красноярск, 2005.

Нормирование точности деталий, узлов и механизмов в машиностроении. Методические указания к выполнению курсовой работы для студентов технических специальностей заданной формы обучения/ Сост.: Кревина Т.Е., Захарова Н.В.; СибГАУ.- Красноярск, 2010.

Приложения