Материал: Нормирование оборотных средств

Внимание! Если размещение файла нарушает Ваши авторские права, то обязательно сообщите нам

Технологический запас создается в период подготовки материалов к производству, включая анализ и лабораторные испытания. Технологический запас учитывается лишь в том случае, если не является частью процесса производства.

Подготовительный запас устанавливается на основании технологических расчетов или посредством хронометража и относится к материалам, которые не могут сразу идти в производство (сушка древесины, обработка зерна).

В ряде случаев устанавливается также норма сезонного запаса, когда сезонный характер носит вид заготовляемых ресурсов (сахарная свекла) или способ доставки (водным транспортом).

Норматив оборотных средств по незавершенному производству определяется по формуле:

Нн. п = Vсут. Тц. Кн. з,

где Vсут - плановый среднесуточный объем выпуска продукции по производственной себестоимости;

Тц - длительность производственного цикла, дни;

Кнз - коэффициент нарастания затрат.

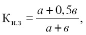
На предприятиях с равномерным выпуском продукции коэффициент нарастания затрат можно определить по формуле:


где а - затраты, производимые единовременно в начале процесса производства (сырье, основные материалы, полуфабрикаты);

в - последующие затраты до окончания производства готовой продукции (например, заработная плата, амортизационные отчисления).

Норматив оборотных средств по расходам будущих периодов определяется по формуле:

Нб. р = П + Р - С,

где П - переходящая сумма расходов будущих периодов на начало планируемого года (берется из бухгалтерского баланса);

Р - расходы будущих периодов в предстоящем году (определяются на основе плана научно-технического развития предприятия);

С - расходы будущих периодов, подлежащие списанию на себестоимость продукции предстоящего года в соответствии с плановой сметой затрат на производство.

Норматив оборотных средств по запасам готовой продукции:

Нг. п = Vсут (Тф. п + То. д),

где Тфп - время, необходимое для формирования партии для отправки готовой продукции потребителю, дни;

Тод - время, необходимое для оформления документов для отправки груза потребителю, дни.

Как указывалось выше, общий норматив оборотных средств на предприятии равен сумме нормативов по всем элементам. Общая норма всех оборотных средств в днях устанавливается путем деления общего норматива оборотных средств на среднесуточный выпуск товарной продукции по производственной себестоимости.

.3 Основные принципы нормирования средств


Основными принципами нормирования оборотных средств являются:

принцип плановости - выражается в том, что на каждом предприятии нормирование оборотных средств должно осуществляться согласно имеющимся заказам и прогнозам сбыта выпускаемой продукции, плановым сметам затрат на производство и на непроизводственные нужды, нормам расхода и запасов материальных ценностей, планам по инновациям и инвестициям;

принцип системности - отражает органическую взаимосвязь финансовых норм с системой применяемых технологических норм и нормативов. Финансовые нормы основываются на технологических нормах и нормативах. В свою очередь, финансовые нормы оказывают через систему устанавливаемых нормативов стимулирующее влияние на совершенствование технологии производства;

принцип научной обоснованности - предполагает, что процесс нормирования оборотных средств основывается на современных методах организации производства, при этом создание научно обоснованной системы норм и нормативов оборотных средств является средством реализации внутренних резервов;

принцип прогрессивности - проявляется в разработке мероприятий по ускорению оборачиваемости оборотных средств за счет сокращения производственного цикла, улучшения организации материально-технического снабжения и сбыта продукции, снижения норм расхода материальных ресурсов и трудовых затрат, ускорения документооборота, уменьшения дебиторской задолженности.

Нормирование оборотных средств осуществляется путем определения норматива оборотных средств.

Норматив оборотных средств - минимальная плановая сумма денежных средств, постоянно необходимая предприятию для организации производственной деятельности. Величина норматива представляет собой произведение суммы однодневного расхода по смете затрат на производство и нормы оборотных средств в днях:

=Hoc*(M/T),

где Hoc - норма оборотных средств, т. е. относительная величина, как правило, выражаемая в днях и определяющая величину запаса оборотных средств;

М/Т - однодневный оборот материальных ресурсов, т. е. величина затрат материальных ресурсов на календарный день, определяемая делением сметы затрат на производство на число календарных дней планового периода;

М - стоимость материальных ресурсов за определенный период;

Т- период (месяц, квартал, год).

Норматив оборотных средств на планируемый период рассчитывается методом прямого счета или аналитическим методом. Различают совокупный норматив (общую сумму оборотных средств) и частные нормативы (размеры средств по элементам).

При использовании метода прямого счета норматив исчисляется как совокупность оборотных средств в виде сумм отдельных элементов на основе имеющихся заказов и прогнозов сбыта, плановых смет себестоимости, норм расхода и запасов материальных ценностей, планов по инновациям и инвестициям. При этом используется следующая формула:

= ∑Wn,

где Woc - совокупный норматив элемента основных средств;- норматив элемента основных средств.

Ценность метода заключается в том, что совокупный норматив формируется как сумма отдельных элементов. Особенностью аналитического метода нормирования является ориентация на базисный уровень норматива и укрупненный расчет потребности в ресурсах на основании планов на нормируемый период.

При этом используется следующая формула:

= In * Wбос

где In - индекс изменения объема выпускаемой продукции или использованного материального ресурса;бос - базисный уровень норматива.

В свою очередь, индекс изменения объема выпускаемой продукции или использованного материального ресурса вычисляется по формуле:

= Впл/Вфакт или In = Мпл/Мфакт

где Впл и Вфакт - планируемый и фактический выпуск продукции; Мпл и Мфакт - соответственно планируемое и фактическое потребление материальных ресурсов.

Преимущество данного метода заключается в быстроте расчетов, но в то же время его главным недостатком является перенесение просчетов и упущений, имевших место при определении норматива в базисном периоде, на планируемый период. Метод применим в основном для перспективных и прогнозных расчетов потребности в финансовых ресурсах.

Существует несколько методов нормирования оборотных средств предприятия:

. Нормирование оборотных средств в производственных запасах.

Состав оборотных средств в производственных запасах включает следующие элементы: сырье, основные материалы и покупные полуфабрикаты; вспомогательные материалы; топливо; тару; запасные части; малоценные и быстроизнашивающиеся предметы (МБП). В составе МБП учитываются средства труда со сроком службы до одного года, в том числе:

малоценный и быстроизнашивающийся инструмент и приспособления;

малоценный хозяйственный инвентарь (производственный инвентарь - огнетушители, ведра, лопаты и т. д.; офисный инвентарь - столы, стулья, шкафы; бытовой инвентарь - кровати, тумбочки, шторы, скатерти и т. д.);

специальная одежда и обувь;

специальный инструмент и приспособления;

сменное оборудование;

производственная тара.

Норма оборотных средств в производственных запасах включает следующие элементы:

время нахождения материалов в пути (транспортный запас);

время на приемку, разгрузку, сортировку, складирование и подготовку к производству (подготовительный запас);

время нахождения на складе в виде гарантийного запаса (страховой запас).

Величина транспортного запаса рассчитывается методом прямого счета или аналитическим методом. Метод прямого счета применяется при узкой номенклатуре расходуемых материальных ресурсов, поступающих от ограниченного числа поставщиков. В этом случае по итогам прошлого периода определяется средняя продолжительность пробега груза от поставщика до потребителя, что и является нормой транспортного запаса. При большом числе поставщиков и широкой номенклатуре потребляемых ресурсов норма транспортного запаса определяется аналитическим методом на основе норматива прошлого периода.

Расчет времени пребывания средств в подготовительном запасе определяется исходя из фактических затрат, устанавливаемых хронометражем, или на основе отчетных данных за предшествующий период. Время подготовки материалов к производству предопределяется перечнем соответствующих операций и условиями их выполнения. При механизации погрузочно-разгрузочных и складских операций это время обычно не превышает нескольких часов.

В качестве нормы текущего запаса принимают половину средневзвешенного интервала между поставками. По отдельным видам товарно-материальных ценностей, поступающих с интервалом 1-5 дней, норма запаса может быть увеличена до полной продолжительности среднего интервала. Величина средневзвешенного интервала исчисляется на основе оптимального размера заказа или сложившегося в отчетном периоде режима поступления ресурсов. В случаях, когда поставки планируются регулярно, а данный материал потребляется равномерно, средний интервал между поставками определяется делением числа дней в году на число плановых поставок. При получении одного и того же материала или полуфабриката от нескольких поставщиков в один день такие поступления рассматриваются как одна поставка. Аналогично решается вопрос при поступлении сырья от одного поставщика в течение нескольких дней подряд, но при условии, что на все отгрузки выписан один платежный документ.

Норма оборотных средств в днях по страховому запасу обычно устанавливается в пределах до 50% нормы текущего запаса, если данный материал поступает от иногородних поставщиков. Если осуществляются одногородние поставки, то страховой запас не предусматривается или образуется по отдельным позициям в размере до 30% нормы текущего запаса. Норма страхового запаса увеличивается сверх 50%, если: отдельные виды материалов (полуфабрикатов) изготавливаются только для данного предприятия одним поставщиком; потребитель расположен вдали от удобных транспортных путей или доставка материалов возможна лишь в отдельное время года.

Норматив оборотных средств по производственным запасам рассчитывается исходя из описанных выше норм и однодневного расхода как сумма всех входящих элементов. Как правило, норматив оборотных средств по МБП и вспомогательным материалам рассчитывается аналитическим методом. При использовании этого метода вначале исчисляется норматив оборотных средств в рублях на одного работника или на 1000 руб. стоимости всей продукции исходя из фактического потребления в базовом периоде. Затем полученный показатель умножается на планируемую численность персонала или выпуск продукции.

. Нормирование оборотных средств в незавершенном производстве.

Оборотные средства в незавершенном производстве авансируются для создания циклового, оборотного и страхового заделов, обеспечивающих бесперебойный ход производственного процесса в цехах и на участках. В натуральном выражении остатки незавершенного производства состоят из необходимого количества деталей, узлов и полуфабрикатов на рабочих местах и между ними.

Размер незавершенного производства определяют следующие факторы: объем выпускаемой продукции; длительность производственного цикла; коэффициент нарастания затрат (готовности продукции) в незавершенном производстве.

Объем выпуска продукции влияет на размер незавершенного производства через величину однодневного выпуска продукции, рассчитанного по себестоимости. Объем выпуска продукции определяется на основе имеющихся заказов потребителей и прогнозов сбыта.

Длительность производственного цикла определяет продолжительность нахождения средств в незавершенном производстве (норма запаса в днях). Производственный цикл измеряется в календарных единицах времени (дни, часы, минуты) и содержит следующие элементы: рабочий период, естественные процессы, перерывы. Длительность производственного цикла в основном определяется технологическими процессами, применяемыми на фирме. Структура производственного цикла зависит также от номенклатуры выпускаемой продукции, типа производства, его организационно-технических условий. Коэффициент нарастания затрат (КНЗ) характеризует уровень готовности продукции в составе незавершенного производства. Необходимость расчета коэффициента нарастания затрат обусловлена тем, что затраты в незавершенном производстве осуществляются в разное время. Обычно их делят на единовременные и остальные затраты. К единовременным затратам относится расход сырья, основных материалов, полуфабрикатов. Остальные затраты (заработная плата, амортизационные отчисления, накладные расходы и т. п.) нарастают постепенно на протяжении всего цикла. Коэффициент рассчитывается как отношение себестоимости незавершенного производства к плановой себестоимости изделия и учитывает длительность производственного цикла. При неравномерном нарастании затрат используют формулу:


где Зi - затраты на i-й период времени нарастающим итогом (i= 1, 2, ..., п);

С - плановая себестоимость изделия;

Т - длительность полного производственного цикла изделия в календарных временных единицах (дни, недели, месяцы).

Норма оборотных средств в незавершенном производстве рассчитывается по предприятию в целом или по подразделениям с последующим суммированием. Для этого используют формулу:


где Hнп - норма оборотных средств в незавершенной производстве по предприятию в целом;- длительность производственного цикла изделия или подразделения;

К. - коэффициент нарастания затрат изделия или подразделения;число групп изделий, подразделений.

Норматив оборотных средств незавершенного производства рассчитывается по формуле:

нп = Hнп * (С/Т),

где С/Т - норма однодневного выпуска продукции по плановой себестоимости; С- полная себестоимость выпускаемой продукции; Т- число календарных дней в периоде.

. Нормирование оборотных средств в расходах будущих периодов.

Экономическое содержание расходов будущих периодов состоит в необходимости финансирования некоторых затрат, которые совершаются в настоящее время, но будут списаны на себестоимость в последующем. В состав расходов будущих периодов входят следующие затраты: на освоение новых видов продукции и новых технологических процессов; по подписке на периодические издания; арендная плата; на связь; налоги и сборы, уплачиваемые за будущее время. Норматив определяется по формуле:

врб = ∑ Рн+ ∑Рпл - ∑Рс,

где Wврб - норматив оборотных средств по расходам будущих периодов;

∑ Рн - сумма расходов на начало планового года;

∑Рпл - планируемая сумма расходов в предстоящем периоде;

∑Рс - сумма расходов, относимых на себестоимость продукции в планируемом периоде.

Сумма расходов на начало планируемого года берется из баланса. Намечаемая сумма затрат в планируемом году исчисляется на основе плана научно-технического развития фирмы, предусматривающего освоение новых видов продукции и новых технологических процессов, приобретение и изготовление для этих целей необходимых материалов и полуфабрикатов, инструмента и приспособлений, оформление технической документации и другие расходы.

. Нормирование оборотных средств в готовых изделиях на складе.

Готовая продукция - часть материально-производственных запасов организации, предназначенная для продажи, являющаяся конечным результатом производственного процесса. Экономическое содержание норматива оборотных средств по готовой продукции на складе состоит в том, что, поскольку продукция, как правило, реализуется партиями, комплектно и в определенном ассортименте, для обеспечения планомерной ее отгрузки потребителям необходимо время для выполнения различных складских операций.

Нормы оборотных средств в готовых изделиях на складе включают: подготовительный запас - для обработки и подготовки к отпуску готовой продукции, поступающей от выпускающих цехов; текущий запас, равный норме отпуска; страховой запас - для компенсирования возможных простоев производства и для удовлетворения потребностей новых потребителей.