СПБГУАП группа 4736 https://new.guap.ru/i03/contacts |
35 |
НЕТРАДИЦИОННАЯ НЕФТЬ:ТЕХНОЛОГИИ,ЭКОНОМИКА,ПЕРСПЕКТИВЫ |
Запоследние7летнаблюдаетсяпостепенноеснижение ценбезубыточности,азначит,и затратпопроектамin-situ,что всовокупностисестественным истощениемместорождений нефтяногобитума,доступных дляразработкиex-situ,при- водиткростучислапроектов иобъемовдобычитяжелых нефтей,разрабатываемых внутрипластовымиметодами.
Рисунок 12 – Динамика добычи сверхтяжелых нефтей и нефтяных битумов в Канаде различными методами
млн барр./день
1,5
1,4
1,3
1,2
1,1
1
0,9
0,8
0,7
0,6 
2010 2011 2012 2013 2014 2015 2016 2017
Внепластовая добыча |
Внутрипластовая добыча |
Источник: [42]
Подобная падающая динамика «цен безубыточности» могла бы навести на мысль о том, что в сегменте внутрипластовых методов добычи, также как и в сфере добычи нефти нетрадиционных коллекторов, до недавнего времени происходили существенные эволюционные процессы в части совершенствования технологий. Но более детальный анализ позволил выявить другие факторы, оказавшие существенное воздействие на динамику затрат.
При разработке месторождений тяжелой нефти и нефтяных песков внутрипластовыми методами крайне велики затраты на топливо (14 % в общей структуре затрат) (Рисунок 13). Преимущественно это природный газ, используемый для нагрева и последующей закачки пара. Еще более значительны операционные затраты (17 % в общей структуре затрат), которые традиционно выражаются в национальной валюте, а значит снижение курса национальной валюты будет приводить к их условному снижению в долларах США.
Рисунок 13 – Декомпозиция цен безубыточности проектов по добыче нефтяных песков в Альберте по видам затрат
Внепластовая добыча |
Внутрипластовая добыча |
|
|
|
|
1% |
1% |
|
Затраты на строительство |
|
|
|||
|
|
|||
7% |
7% |
|
Затраты на обслуживание |
|
|
||||
|
|
|
|
|
|
|
16% |
|
кредитов и пр. |
18% |
|
|
Топливо |
|
|
|
|||
|
48% |
44% |
|
|
|
|
|
|
|
|
|
17% |
|
Операционные затраты |
|
|
|
||
|
|
|
||
21% |
|
|
Роялти |
|
|
14% |
|
||
|
|
|||
|
|
|
Налог на доходы |
|
|
|
|
||
4% |
1% |
1% |
|
|
|
|
|||
|
|
|
||
Источник: [43]
ИНЭИ РАН
СПБГУАП группа 4736 https://new.guap.ru/i03/contacts |
36 |
НЕТРАДИЦИОННАЯ НЕФТЬ:ТЕХНОЛОГИИ,ЭКОНОМИКА,ПЕРСПЕКТИВЫ |
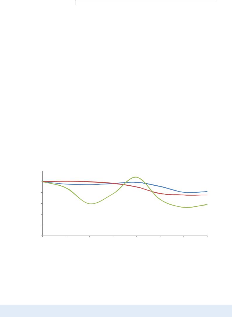
Снижениеценбезубыточности попроектамвнутрипластовой добычи(SAGD)в2010-2017гг.
былообусловленонестолько технологическойэволюцией, сколькоснижениемзатратна производствопаразасчет удешевленияприродногогаза иснижениемоперационных затратвдолларахСШАзасчет снижениякурсанациональной валютыКанады.
Капитальные затраты, которые представляют собой для проектов внутрипластовой добычи расходы на обустройство скважин и общей инфраструктуры месторождений также выражаются по большей части в национальной валюте из-за значительной доли оборудования и материалов собственного производства. Как следствие – на цены безубыточности проектов in-situ влияет не только и не столько технологическое совершенствование процессов, сколько удешевление местной валюты относительно американской и уровень цен на природный газ на локальном рынке.
Анализ ситуации 2010-2017 гг. показывает высокую зависимость цен безубыточности проектов по внутрипластовой добыче нефтяных песков от курсов канадской валюты к американской и цен на природный газ. В частности, с 2010 по 2012 гг. цены газа пошли вниз, но цены безубыточности сдерживались устойчивостью курса (Рисунок 14). С 2012 по 2014 гг. курс стал снижаться, но в совокупности с ростом цен газа затраты на добычу оставались относительно стабильными. С 2014 по 2016 гг. одновременное ослабление курса национальной валюты и снижение цен привело к очевидному уменьшению цен безубыточности, но последующая стабилизация курса и цен газа в 2016-2017 гг. остановили динамику снижения. При внепластовой добыче ситуация несколько отличается. В частности для Канады в этом сегменте значительная часть капитальных расходов
– закупка карьерной техники - индексируется в долларах США, откуда осуществляется импорт этого оборудования. Поэтому ослабление национальной валюты не сильно сказывается на проектных затратах при оценке в долларах США.
Рисунок 14 – Динамика курса канадского доллара к американскому доллару и потребительских цен на газ в Канаде (Индексное выражение 2010 г. = 100)
Индекс 2010 г. = 100 120
100
80
60
40
20
0 |
|
|
|
|
|
|
|
2010 |
2011 |
2012 |
2013 |
2014 |
2015 |
2016 |
2017 |
Индекс цен безубыточности внутрипластовой добычи долл. 2016 г.
Индекс курса канадского доллара к доллару США
Индекс оптовых цен газа в Альберте
Источник: составлено авторами по данным: [43], [44], [45]
ИНЭИ РАН
СПБГУАП группа 4736 https://new.guap.ru/i03/contacts |
37 |
НЕТРАДИЦИОННАЯ НЕФТЬ:ТЕХНОЛОГИИ,ЭКОНОМИКА,ПЕРСПЕКТИВЫ |
Таким образом, проведенный анализ показывает, что снижение затрат на добычу внутрипластовыми методами является не следствием существенной технологической модернизации процессов in-situ, а скорее обусловлено рядом конъюнктурных факторов, воздействующих непосредственно на экономику проектов по добычи нефтяных песков.
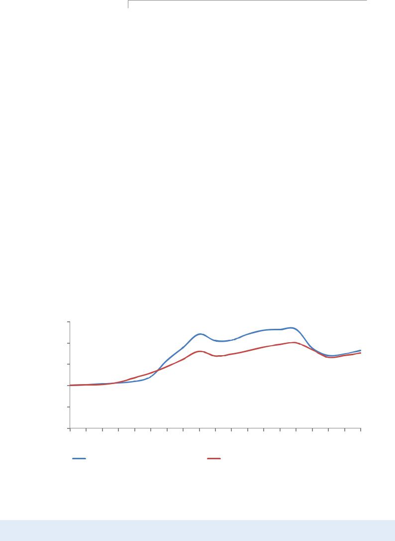
При этом важно понимать, что подобное конъюнктурное снижение производственных затрат не позволяет увеличить конкурентоспособность тяжелых нефтей на мировом рынке по затратам, поскольку традиционные производители также проходили в 2014-2017 гг. период адаптации к низкой рыночной конъюнктуре. Так, за период с 2014 по 2018 гг., большая часть стран с преобладающей добычей традиционных нефтей смогла не сократить, а напротив, увеличить объемы добычи. Совокупный объем предложения со стороны только производителей Ближнего Востока возрос более чем на 150 млн т. Кроме того, на 24 млн т в год увеличилось предложение нефти со стороны еще одного крупного производителя - Бразилии. Российская Федерация, чьи объемы добычи по большинству оценок должны были снизиться соразмерно со снижением мировых цен на нефть, увеличила добычу почти на 30 млн т. Подобных впечатляющих результатов удалось добиться за счет сокращения затрат на производство нефти, причем не столько за счет технологических инноваций, сколько за счет экономических мер, в частности: девальвации национальных валют и снижения налогового бремени традиционных производителей, что привело к снижению цен безубыточности и повышению конкурентоспособности традиционных нефтей [46]. Адаптация различных производителей к ценовой ситуации привела к объективному снижению цен безубыточности производства нефти в мире и позво - лила сократить среднемировые капитальные и операционные затраты (Рисунок 15).
Рисунок 15 – Индексы операционных и капитальных затрат в секторе «Апстрим»
(Индекс, 2000 г. = 100)
Индекс 2010 г. = 100 250
200
150
100
50
0
2000 |
2001 |
2002 |
2003 |
2004 |
2005 |
2006 |
2007 |
2008 |
2009 |
2010 |
2011 |
2012 |
2013 |
2014 |
2015 |
2016 |
2017 |
2018 |
|
UCCI (индекс капитальных затрат) |
|
UOCI (индекс операционных затрат) |
|
||||||||||||||
Источник: [47]
ИНЭИ РАН
СПБГУАП группа 4736 https://new.guap.ru/i03/contacts |
38 |
НЕТРАДИЦИОННАЯ НЕФТЬ:ТЕХНОЛОГИИ,ЭКОНОМИКА,ПЕРСПЕКТИВЫ |
Адаптироваться к низким ценам на нефть удалось не только непосредственно добычным компаниям, но и бюджетам многих стран-экспорте- ров. Так, всего за четыре года (2014-2018) все крупные производители нефти: Кувейт, Россия, Катар, ОАЭ, Катар, Саудовская Аравия, Ирак, Иран и Нигерия объявили о том, что их бюджетные цены безубыточности нефти (то есть такие цены нефти, при которых у страны оказывается бездефицитный бюджет) снизились (Рисунок 16).
Рисунок 16 – Цены безубыточности бюджетов ряда производителей нефти в 2014 и 2018 гг.
долл. США/барр. 250
200
150
100
50
0
|
Алжир |
Иран |
Ирак |
Кувейт |
Ливия |
Катар Саудовская ОАЭ Казахстан Россия |
|
|
|
|
|
|
|
|
Аравия |
|
Цена безубыточности бюджета, 2014 г. |
|
Цена безубыточности бюджета, 2018 г. |
||||
|
|
||||||
|
|
||||||
|
Средняя цена нефти,2014 г. |
|
|
Средняя цена нефти,2018 г. |
|||
Источник: [48], [49]
«Конъюнктурное»снижение Таким образом, к 2019 г. большая часть традиционных крупных произ- производственныхзатратне водителей вполне комфортно чувствует себя не только с точки зрения позволилоувеличитьконку- затрат на добычу, но и с точки зрения бюджетных интересов при це- рентоспособностьтяжелых нах в пределах 60 долл./барр. Этот уровень является нижней границей нефтейнамировомрынкепо «цен безубыточности» для проектов разрабатываемых внепластовыми затратам,посколькутрадици- методами и соответствует середине диапазона «цен безубыточности» онныепроизводителитакже для проектов in-situ. Подобная ситуация приводит не только к тому, что прошлипериодадаптациик в условиях низкой ценовой конъюнктуры не запускаются новые проекты низкойрыночнойконъюнктуре. по разработке нефтяных песков, тяжелых и сверхтяжелых нефтей, но
и к приостановке разработки уже действующих месторождений. Так, по состоянию на февраль 2019 г. об остановке работ по подобным проектам из-за неблагоприятной ценовой конъюнктуры заявляла российская ПАО «Татнефть» [50], Венесуэльская PDVSA, а также ряд компаний в канадской Альберте [51]. Таким образом, разрабатываемые ресурсы тяжелых нефтей остаются для отрасли замыкающими, а большая часть их объемов не вовлекается в эксплуатацию из-за сравнительно высокой себестоимости.
ИНЭИ РАН
СПБГУАП группа 4736 https://new.guap.ru/i03/contacts |
39 |
НЕТРАДИЦИОННАЯ НЕФТЬ:ТЕХНОЛОГИИ,ЭКОНОМИКА,ПЕРСПЕКТИВЫ |
Ресурсная база и объемы производства
Канада, располагающая одними из крупнейших в мире запасами тяжелой нефти (свыше 20 млрд т) и пользующаяся большинством тех же преимуществ, что и США при добыче нефти низкопроницаемых коллекторов (близость рынков сбыта, развитая инфраструктура и технологическая база, либеральное законодательство), является безусловным лидером по добыче и, что не менее важно, внедрению новых технологий разработки месторождений тяжелых нефтей и нефтяных битумов. Производство этих видов сырья в Канаде превысило 130 млн т в 2017 г.
Тем не менее, потенциально крупнейшим игроком на рынке тяжелого нефтяного сырья часто называют не Канаду, а Венесуэлу. В настоящее время, эта южноамериканская страна является мировым лидером по запасам нефти с 47 млрд т технически извлекаемых запасов на балансе [52], причем, более 2/3 этих запасов приходится на тяжелые нефти, сосредоточенные преимущественно в поясе Ориноко [53].
Тяжелые углеводороды Боливарской республики, в отличие от канадских, правильнее классифицировать как тяжелые нефти, поскольку залегают они не в твердом, а в вязко-пластичном состоянии. Подобные более благоприятные, по сравнению с канадскими песками, физико-хи- мические характеристики нефти пояса Ориноко позволяют национальной компании разрабатывать отдельные участки пояса Ориноко даже без применения специальных технологий добычи, используя только мультилатеральные горизонтальные скважины. Именно таким способом в середине 2010-х г. обеспечивалось до половины от общего объема добычи в стране, однако эффективность коэффициента извлечения при таком способе добычи составляет всего около 10 % от технически извлекаемых запасов, а значит реальные коммерческие запасы тяжелой нефти в Венесуэле, при условии что страна не сможет масштабно вовлечь в эксплуатацию зарубежные технологии составляют всего 3 млрд т нефти, причем отнюдь не самой дешевой по себестоимости.
Безусловно, многие исследователи отмечают, что при условии применения схожих технологий добычи (как правило, расчеты проводятся для технологии SAGD) полная производственная себестоимость добычи тяжелой нефти в Венесуэле оказывается до 40 % меньшей, чем при разработке нефтяных песков в канадской Альберте [54], [55], однако не стоит забывать, что отчасти это обеспечивается более низкими операционными затратами и сниженными экологическими требованиями.
При этом важно понимать, что несмотря на то что венесуэльская нефть дешевле канадской по затратам, производственная себестоимость без учета налогов, определяемая в диапазоне от 25 до 50 долл./барр., почти в два с половиной раза превышает аналогичный показатель для традиционной нефти в любой стране ОПЕК, или России. Немаловажен и тот факт, что, например, применение ключевой технологии добычи нефти из битуминозных песков – парогравитационного дренажа будет осложняться еще и тем, что Венесуэла не является крупным производителем природного газа, а напротив, импортирует его. А к наличию и стоимости газа, как мы уже отмечалось выше, проекты SAGD крайне чувствительны. Большую эффективность может показать метод CHOPS, однако для этого потребуется куда больше времени, учитывая, что сам метод еще до конца не апробирован даже в Канаде. Таким образом, даже в случае решения текущих проблем и трансфера технологий проекты в Венесуэле будут оставаться в списке «замыкающих» по затратам на мировой кривой предложения.
ИНЭИ РАН