Объем грунта в выемке определяется по формуле в соответствии с рис. 2.3:
(2.3)
где а – ширина выемки по дну, 12,0 м;
Вв – ширина раскрытия выемки, м;
Нв – глубина выемки, 3,5 м;
– длина выемки,

(2.4)



Рисунок 2.3 – Поперечный разрез выемки
При разработке выемки грунт не срезается до проектной отметки скрепером на 5 см, бульдозером на 10 см.
Объем недобора грунта скрепером и бульдозером определяется по формуле
(2.5)
где а – ширина выемки по дну, а = 12,0 м;
b – толщина слоя недобора грунта, b = 0,05 и 0,10 м;


Объем скреперных и бульдозерных работ можно определить по формулам
(2.6)
(2.7)


Объем грунта в кюветах определяется следующим образом (рис.2.4):
(2.8)
Объем кюветов 1-й и 2-й группы грунта по
50 % = 9172,8/2 = 4586,4

Рисунок 2.4 – Поперечный разрез кювета
Общий объем выемки:
(2.9)

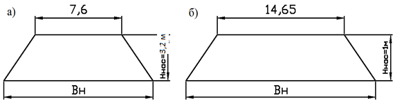
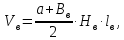
Определение объема грунта в насыпи показано на рис. 2.5.
Общий объем грунта в насыпи определяется по формуле
(2.10)
где
- объем грунта насыпи на главных путях,

– объем грунта насыпи на станционных
путях,
.

Рисунок 2.5 – Поперечный разрез насыпи:
а – на главных путях; б – на станционных путях.
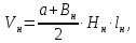
Расчет объемов грунта насыпи на главных и станционных путях производится аналогично определению объема выемки:
(2.11)
где а – ширина насыпи поверху, н аглавном пути – 7,6 м, на станционных путя 14,65 м;
Вн – ширина насыпи понизу, м;
Нн – высота насыпи на главном пути –2,7 м, на станционных путях – 1 м;
- длина насыпи, на главном пути –10920 м,
на станционных путях – 2300 м;



Объем экскаваторных работ определяется по формуле
(2.12)
где
- объем грунта выемки с учетом кюветов,
;

Вес перевозимого грунта определяется по формуле
(2.13)
где
– удельный вес грунта, 1-я группа = 1,6
т/м3; 2-я группа = 1,7 т/м3;

Объем водоотводных канав определяется по формуле
(2.14)
где 1400 – объем канав на 1 км трассы;

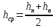
Средняя высота откосов определяется по формуле
, (2.15)
где
,
- высота насыпи и глубина выемки, м;

Длина откосов определяется по рис. 2.6.

Рисунок 2.6 – Схема к определению длины откосов
Площадь укрепления откосов определяется по формуле:
(2.16)
где
- длина откоса, м;
(2.17)


На этой площади производится посев многолетних трав. Из них 60 % (0,6·187824 = 112694,4 м2) высаживаются вручную, 25 % (0,25·187824 = 46956 м2) механизированным способом 15 % (0,15·187824 = 28173,6 м2) – гидропосев.
Общий вес рельсошпальной решетки и блока стрелочных переводов определяем по формуле:
(2.18)
где
- вес рельсошпальной решетки соответственно
на главных и станционных путях:

– вес блоков стрелочных переводов
соответственно марки 1/9 и 1/11:

- количество стрелочных переводов;

Расчет объема балластной призмы производится аналогично определению объема насыпи (рис. 2.7):
(2.19)
где а – ширина балластной призмы поверху, на главному пути – 3,65 м, на станционных путях – 11,7 м;
Локальная смета на производство подготовительных работ составляется на основании ФЕР-2001, сборник №1 «Земляные работы». Расчет локальной сметы приведен в приложении 1.
Локальная смета на работу по устройству земляного полотна на главном и станционных путях составляется на основании ФЕР-2001 сборник № 1 «Земляные работы».
Стоимость перевозки грунта автомобилями-самосвалами определяется по ФССЦ 81-2001 «Федеральный сборник сметных цен на перевозки грузов для строительства», часть 1 «Автомобильные перевозки».
Расчет локальной сметы «Возведение земляного полотна» приведен в приложении 2.
Локальная смета на работу по устройству верхнего строения пути на главных и станционных путях составляется по ФЕР--2001 сборник Nя 28 «Железные дороги». Расчет локальной сметы «Возведение верхнего строения пути» приведен в приложении 3.
В смете суммируются данные из локальных смет, с группировкой затрат по соответствующим графам сметной стоимости «строительных работ», «монтажных работ», «оборудования, мебели и инвентаря», «прочих работ», с последующим добавлением лимитированных и прочих затрат.
Расчет объектной сметы приведен в приложении 4.
Расчет затрат по главам 1, 3, 5, 6, 7, 8 и 9 сводного сметного расчета приведен в приложении 5.
Приложение 1
ЛОКАЛЬНАЯ СМЕТА №1 на «Подготовительные работы»
Железнодорожная линия
Сметная стоимость тыс. руб.
Средства на оплату труда тыс. руб.
Составлена в текущих ценах по состоянию на сентябрь 2016 г.
|
№ п/п |
Шифр и номер позиции норматива |
Наименование работ и затрат |
Количество и единицы измерения |
Стоимость единицы, руб |
Общая стоимость, руб |
Затраты труда рабочих чел-ч на занятых обслуживанием машин |
|||||||||||||
|
всего |
эксплуатации машин |
всего |
оплата труда |
эксплуатации машин |
|||||||||||||||
|
оплаты труда |
в т. ч. оплата труда машинистов |
в т.ч. оплаты труда машинистов |
на единицу |
всего |
|||||||||||||||
|
1 |
2 |
3 |
4 |
5 |
6 |
7 |
8 |
9 |
10 |
11 |
|||||||||
|
1 |
01-02-99-2 |
Валка деревьев мягких пород с корня, диаметр стволов: до 20 см |
|
|
|
|
|
|
|
|
|
||||||||
|
|
|
|
|||||||||||||||||
|
2 |
01-02-99-8 |
Валка деревьев твердых пород и лиственницы с корня, диаметр стволов: до 16 см |
|
|
|
|
|
|
|
|
|
||||||||
|
|
|
|
|||||||||||||||||
|
3 |
01-02-100-5 |
Трелевка древесины на расстояние до 300 м тракторами мощностью: 79 кВт (л.с.), диаметр стволов до 20 см
|
|
|
|
|
|
|
|
|
|
||||||||
|
|
|
|
|||||||||||||||||
|
1 |
2 |
3 |
4 |
5 |
6 |
7 |
8 |
9 |
10 |
11 |
|||||||||
|
4 |
01-02-102-2 |
Устройство разделочных площадок, диаметр стволов: до 20 см |
|
|
|
|
|
|
|
|
|
||||||||
|
|
|
|
|||||||||||||||||
|
5 |
01-02-101-3 |
Разделка древесины мягких пород, полученной от валки леса, диаметр стволов: до 20 см |
|
|
|
|
|
|
|
|
|
||||||||
|
|
|
|
|||||||||||||||||
|
6 |
01-02-101-10 |
Разделка древесины твердых пород и лиственницы, полученной от валки леса, диаметр стволов: до 16 см |
|
|
|
|
|
|
|
|
|
||||||||
|
|
|
|
|||||||||||||||||
|
7 |
01-02-110-1 |
Вывозка пней тракторными прицепами 2 т на расстояние до 100 м, диаметр деревьев: до 32 см |
|
|
|
|
|
|
|
|
|
||||||||
|
|
|
|
|||||||||||||||||
|
8 |
01-02-112-2 |
Срезка кустарника и мелколесья в грунтах естественного залегания кусторезами на тракторе 79 (108) кВт (л.с.), кустарник и мелколесье: средние
|
|
|
|
|
|
|
|
|
|
||||||||
|
|
|
|
|||||||||||||||||
|
1 |
2 |
3 |
4 |
5 |
6 |
7 |
8 |
9 |
10 |
11 |
12 |
||||||||
|
9 |
01-02-117-2
|
Сгребание срезанного или выкорчеванного кустарника и мелколесья корчевателями- собирателями на тракторе 79 (108) кВт (л.с.), с перемещением до 20 м, кустарник и мелколесье: средние |
|
|
|
|
|
|
|
|
|
||||||||
|
|
|
|
|||||||||||||||||
|
10 |
01-02-120-5 |
Сжигание с перетряхиванием валов из кустарников, мелколесья и корней корчевателями- собирателями на тракторе мощностью 79 (108) кВт (л.с.), кустарник и мелколесье: средние |
|
|
|
|
|
|
|
|
|
||||||||
|
|
|
|
|||||||||||||||||
|
Итого прямые затраты в базисном уровне цен |
|
|
|
|
|
|
|
|
|
||||||||||
|
|
|||||||||||||||||||
|
Прямые затраты в текущих ценах на сентябрь 2016г.: З/плата рабочих-строителей |
|
|
|
|
|
|
|
|
|
||||||||||
|
Эксплуатация машин и механизмов |
|
|
|
|
|
|
|
|
|
||||||||||
|
В т.ч. Заработная плата машинистов |
|
|
|
|
|
|
|
|
|
||||||||||
|
Материалы, учтенные расценками |
|
|
|
|
|
|
|
|
|
||||||||||
|
Средства на оплату труда рабочих - строителей и машинистов (ФОТ) |
|
|
|
|
|
|
|
|
|
||||||||||
|
1 |
2 |
3 |
4 |
5 |
6 |
7 |
8 |
9 |
10 |
||||||||||
|
Итого прямые затраты в текущем уровне цен: |
|
|
|
|
|
|
|
|
|
||||||||||
|
|
|||||||||||||||||||
|
Накладные расходы от ФОТ*0,85 |
руб |
|
|
|
|
|
|
|
|
||||||||||
|
Сметные прибыль ФОТ*0,80 |
руб |
|
|
|
|
|
|
|
|
||||||||||
|
Итого по локальной смете: |
руб |
|
|
|
|
|
|
|
|
||||||||||
|
|
|||||||||||||||||||
– ширина балластной призмы понизу, м;
– высота балластной призмы, на главном
пути – 0,65 м, на станционных путях – 0,60
м;
- длина главного пути – 16800 м, станционных
путей – 2300 ;



Рисунок 2.7 – Поперечный разрез насыпи