Материал: Модель экономических циклов Самуельсона-Хикса

Внимание! Если размещение файла нарушает Ваши авторские права, то обязательно сообщите нам

В периоде 1 национальный доход увеличился на величину прироста автономных инвестиций (=12) и составил 132. Данное обстоятельство привело в периоде 2 к увеличению объема совокупного потребления до 79,2 и к появлению индуцированных инвестиций в размере 8,4. Это означает, что здесь действуют и мультипликатор и акселератор.

В периоде 3 объем производных инвестиций достиг максимального значения (= 10,9), поскольку в предыдущем периоде произошел максимальный прирост национального дохода (= 15,6). В дальнейшем (периоды 4 и 5) величина индуцированных капиталовложений уменьшалась из-за падения темпов прироста национального дохода в периодах 3 и 4. Более того, начиная с периода 6, производные инвестиции приняли отрицательное значение. Это объясняется снижением уровня дохода в предшествующем периоде (= -1,7, поскольку = 15,6). Совокупное потребление продолжало возрастать и в периоде 5 достигло максимальной величины (98,4), поскольку в предыдущем периоде национальный доход был максимален (164). В дальнейшем, с 6 по 10 период происходило снижение объема потребления.

Табличные данные отражают затухающие колебания национального дохода, совокупного потребления и производных инвестиций. Если бы действовал только один мультипликатор, то при данном варианте автономного инвестирования система устремилась бы к новому равновесному состоянию. Подключение акселератора привело к волнообразным колебаниям экономической системы.

В данном числовом примере мультипликатор и акселератор фигурируют в качестве постоянных величин. В реальной экономической жизни не существует постоянных коэффициентов мультипликации и акселерации в силу действия таких переменных факторов, как научно-технический прогресс, сальдо торгового баланса, товарные запасы, степень монополизации производства и т. д.

.3 Линейные конечно-разностные уравнения и их применение в экономике

Динамика объектов различной природы часто описывается уравнениями вида

 (7)

связывающими состояние объекта в любой момент времени  с состояниями в предшествующие моменты времени. Решение уравнения (7) -го порядка определено однозначно, если заданы  так называемых начальных условий. Обычно в качестве начальных условий рассматриваются значения  при .

Подставляя начальные значения  и  в качестве аргументов функции в правой части (7), находим ; используя найденное значение и подставляя теперь  и  в качестве аргументов функции, находим , и т.д. Процесс может быть продолжен до тех пор, пока не будут исчерпаны все представляющие интерес значения t.

В модели экономических циклов Самуэльсона-Хикса используются конечно-разностные уравнения вида - линейные конечно-разностные уравнения второго порядка, являющиеся частным видом уравнения (7). Они называются однородными, если  при любых , неоднородными - в противном случае. И для нахождения корней, и для исследования свойств решения однородного уравнения

 (8)

используется так называемое характеристическое уравнение

 (9)

Обозначим его корни , и запишем


В теории конечно-разностных уравнений доказывается, что при  решение уравнения (8) описывается равенством

 (10)

где  и  - постоянные, определяемые начальными условиями.

Если же  то решение имеет вид

 (11)

Решение уравнения (8) зависит от значения дискриминанта  характеристического уравнения (9).

Рассмотрим возникающие при этом случаи.

1.   Характеристическое уравнение имеет два различных вещественных корня. Решение описывается равенством (10); если оба корня положительны, то обе компоненты решения - монотонные геометрические прогрессии. Если имеются отрицательные корни, то каждому из них отвечает знакочередующаяся составляющая решения (10).

2.       Характеристическое уравнение имеет совпадающие вещественные корни, и решение имеет вид (11).

.         Характеристическое уравнение имеет пару сопряженных комплексных корней:

.

Равенство (10) при этом справедливо, но неудобно для использования, так как вещественный процесс при этом описывается как сумма комплексных составляющих. Более удобную форму решения можно получить, используя тригонометрическое представление корней:

 где

Такое представление позволяет описать решение уравнения (8) равенством

 (12)

где и - постоянные, определяемые начальными условиями.

Таким образом, при  решение носит характер колебаний, амплитуда которых возрастает (при ) или убывает (при );

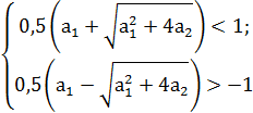
Решение уравнения (8) называют равновесным, если значение  не изменяется во времени. Подстановкой в уравнение (8) можно убедиться, что  есть равновесное решение. Равновесное решение называется устойчивым, если  при ; в противном случае оно называется неустойчивым. Равенства (10) и (11) показывают, что решение будет устойчивым в том и только в том случае, если оба корня характеристического уравнения по модулю меньше единицы. В случае  условию устойчивости соответствует , так как при этом необходимым и достаточным условием устойчивости является . По теореме Виета  так что условие  необходимо и в случае  но здесь оно не является достаточным. Система неравенств


дает необходимое и достаточное условие устойчивости для данного случая. Для этого требуется, чтобы выполнялось неравенство

Систему можно заменить одним неравенством


Объединяя все полученные результаты, условие устойчивости можно представить в виде двойного неравенства:

 (13)

Уравнение модели экономических циклов Самуэльсона-Хикса имеет вид уравнения (8), при этом


Заметим, что  и  в силу экономического содержания этих параметров. Согласно теореме Виета,

 (14)

Условие , разделяющее колебательные и неколебательные решения, теперь имеет вид


При  характеристическое уравнение имеет вещественные корни. Из неотрицательности параметров  и  и равенств (14) следует, что оба корня неотрицательны и обе компоненты решения (10) изменяются монотонно. При  решение носит колебательный характер. Условие устойчивости (13) теперь принимает вид:


т.е. представляет собой систему неравенств


На рис. 4. устойчивому движению соответствуют области I (монотонное движение) и II (колебательное движение). Неустойчивому движению соответствуют области III (колебательное движение) и IV (монотонное). Области V соответствуют синусоидальные колебания с постоянной амплитудой.

Рисунок 4 - Стилизованные фазы экономического цикла [4]

Разностные уравнения играют большую роль в экономической теории. Многие экономические законы доказывают с помощью именно этих уравнений, они используются в тех случаях, когда запаздывание оказывает существенное влияние на рассматриваемые процессы. В социально - экономических науках в целях простоты модели, связанные с запаздыванием, записывают в виде разностных уравнений, то есть в виде уравнений с дискретным временем.

Наиболее широкое распространение разностные уравнения в экономической теории

Применение разностных уравнений в экономике представлено в моделях:

.         Модель рынка с запаздыванием сбыта.

.         Рыночная модель с запасами.

.         Динамическая модель Леонтьева.

.         Модель экономического цикла Самуэльсона-Хикса.[5]


2. Модель Самуэльсона-Хикса и ее применение

.1 Модель Самуэльсона-Хикса

Модель Самуэльсона-Хикса включает в себя только рынок благ, и поэтому уровень цен и ставка процента предполагаются неизменными; объем предложения благ совершенно эластичен.

Объем потребления домашних хозяйств в текущем периоде зависит от величины их дохода в предшествующем периоде


где  - автономное потребление.

Предприниматели осуществляют автономные инвестиции, объем которых при заданной ставке процента фиксирован, и индуцированные инвестиции, зависящие от прироста совокупного спроса в предшествующем периоде

На рынке благ установится динамическое равновесие, если

 (15)

где

Уравнение (15) является неоднородным конечно-разностным уравнением второго порядка, характеризующим динамику национального дохода во времени.

При фиксированной величине автономных расходов  в экономике достигается динамическое равновесие, когда объем национального дохода стабилизируется на определенном уровне  т.е.

,

где  - число периодов с неизменной величиной автономных расходов.

Из уравнения (15) следует, что


Посмотрим, какова будет динамика национального дохода, если в состоянии динамического равновесия изменится величина автономного спроса.

Освободимся от неоднородности в уравнении (15). Значения  и  удовлетворяют равенству (15), поэтому можно записать следующее однородное конечно-разностное уравнение второй степени с постоянными коэффициентами:

 (16)

где

Так как  то направление изменения  определяется направлением изменения .

Из теории решения дифференциальных и конечно-разностных уравнений следует, что характер изменения  зависит от значения дискриминанта характеристического уравнения. Поскольку в данном случае дискриминант равен  то динамика национального дохода зависит от предельной склонности к потреблению, определяющей величины мультипликатора и акселератора.