Курсовой проект
Моделирование систем
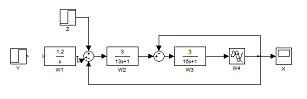
Дана алгоритмическая структура объекта (рисунок 1).
Рисунок 1. Алгоритмическая структура объекта.
Где передаточные функции звеньев:
Закон регулирования: ПИ.
Канал воздействия Z-X.
Вид переходного процесса: апериодический.
моделирование управление регулятор
Для исследования объекта управления на устойчивость, необходимо,
во-первых рассмотреть устойчивость внутреннего контура. Для этого сделаю
математическое описание в Control System toolbox:
W1=tf([1.2],[1 0]);
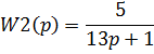
W2=tf([5],[13 1]);=tf([9],[15 1]);
[num,den]=pade(13,10);=tf(num,den);=series(w3,w4);(we1);;(we1)
В результате получила два графика: амплитудо-фазочастотную характеристику
(рисунок 2) и запасы устойчивости по амплитуде и частоте (рисунок 3).
Рисунок 2. АФЧХ
Рисунок 3. Диаграмма Боде
По графику АФЧХ видно, что система неустойчива, а также запас
устойчивости по амплитуде ∆А=0,23дб и по фазе ∆φ=12,4̊ не соответствуют норме. По
этому, нужно изменить параметры звеньев, для обеспечения ∆А>8дб и ∆φ>30̊. Я изменила параметры
К=9 в передаточной функции W3(p) на К=3 и время запаздывания τ=13
в передаточной функции W4(p) на τ=2 После чего запасы устойчивости по амплитуде и частоте
стали удовлетворять норме (рисунок 4 и рисунок 5).
Рисунок 4. АФЧХ после изменения параметра
Рисунок 5. Диаграмма Боде после изменения параметра
На рисунке 4 можно увидеть, что система стала устойчивой, а на рисунке 5, что запасы устойчивости изменились на ∆А=12,3дб, а ∆φ=87,9̊.
Во-вторых, нужно рассмотреть устойчивость внешнего контура системы. Для
этого я добавила несколько функций в текст модели, которые помогают описать
внешний контур:
We2=feedback(we1,w5,-1);=series(w2,we2);(we3);;(we3);
Где получила также два графика АФЧХ (рисунок 6) и диаграмму Боде (рисунок
7).
Рисунок 6. АФЧХ внешнего контура.
Рисунок 7. Диаграмма Боде внешнего контура системы.
Из рисунка 7 видно, что запас устойчивости по амплитуде ∆А=5,28дб,
что не удовлетворяет условию. Для обеспечения необходимого запаса устойчивости
изменю коэффициент К=5 в передаточной функции W2(p) на К=3 и получу
график на рисунке 8.
Рисунок 8. Диаграмма Боде после изменения коэффициента
Можно увидеть, что запас по амплитуде стал равным 9,72дб, что удовлетворяет условию устойчивости.
Для проверки правильности составленного текста программы в Control System toolbox необходимо построить такую же Simulink-модель и сравнить графики при единичном ступенчатом воздействии.
Для начала построю график переходного процесса в Control System toolbox (рисунок 9).
Рисунок 8. График переходного процесса внешнего контура системы.
Затем построю Simulink-модель
(рисунок 9).
Рисунок 9. S-модель внешнего
контура системы.
Далее получим график переходного процесса (рисунок 10).
Рисунок 10. График переходного процесса s-модели.
Вывод: в данном пункте мы исследовали устойчивость внутреннего и внешнего контуров системы. Внутренний контур стал устойчив после изменения параметра К звена W3(p) на значение равное 3 и транспортного запаздывания на значение равное 2, а для обеспечения запаса устойчивости внешнего контура было необходимо изменить параметр К звена W2(p) на значение равное 3. После проверки правильности написания текста программы, создав систему в Simulink, мы получили абсолютно идентичные графики переходного процесса, следовательно, все написано верно.
Для составления цифровой модели системы я использовала инструментальное
приложение matlab систему визуального моделирования Simulink.
Рисунок 11. Цифровая модель системы.
Вывод: наш объект смоделирован в matlab и получен на рисунке 11.
Для получения переходной характеристики по каналу воздействия y-x необходимо завершить математическое описание системы в Control System toolbox. После чего у меня получился следующий текст:
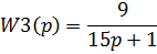
=tf([1.2],[1 0]);=tf([3],[13 1]);
W3=tf([3],[15 1]);
[num,den]=pade(2,10);=tf(num,den);=tf([1],[1]);=series(w3,w4);=feedback(we1,w5,-1);=series(w2,we2);=feedback(we3,w5,-1);=series(w1,we4);=[0:.1:100];
Step(we5,T)
В итоге получила график переходного процесса по каналу воздействия y-x, который показан на рисунке 12.
Рисунок 12. График переходного процесса по каналу y-x.
Я получила график астатического процесса.
Для проверки правильность описания, получу график переходного процесса по
заданному каналу в Simulink, который
показан на рисунке 13.
Рисунок 13. График переходного процесса в Simulink.
Вывод: в результате математического описания модели, мы получили график переходного процесса по каналу воздействия y-x. Для проверки построили этот же график цифровой модели в Simulink и получили абсолютно идентичные графики, что говорит о правильности описания. Также определили, что объект является астатическим.
Для проверки правильности передаточной функции системы и графика
переходного процесса посчитаем все передаточные функции самостоятельно.

После получения передаточной функции нужно проверить начальные и конечные
значения графика переходного процесса.
Вывод: после аналитической проверки, мы получили результаты,
соответствующие, тем что рассчитали в системе matlab.
Для того, чтобы характеристика объекта соответствовала переходной характеристике инерционного звена первого порядка с запаздыванием, необходимо ее аппроксимировать. Такая аппроксимация позволяет использовать инженерную методику расчета настроечных параметров регулятора для сложных объектов управления.
Для моего астатического объекта я провела касательную в области
постоянного наклона переходной характеристики и, предположив, что передаточная
функция объекта может быть записана следующим образом:
Где
![]()
-
передаточный коэффициент объекта, равный тангенсу угла наклона касательной α; τ0 - время
запаздывания.
Аппроксимация
графика переходного процесса показана на рисунке 14.
Рисунок
14. Аппроксимация переходной характеристики объекта
По рисунку 14 определим, что Ко=tgα=tg35o=0,7 ⇒ To=1/0,7=1,43; τо=7.
Настроечные параметры ПИ-регулятора для апериодического типа переходного процесса рассчитываются по формулам:
То есть, после подстановки полученных по графику переходной характеристики значений, я получила следующие параметры регулятора:
Вывод:
в результате аппроксимации графика переходного процесса, были получены
настроечные параметры ПИ-регулятора.
Использовав программный продукт Control System Toolbox, я написала программу для получения
переходной характеристики всей системы, включающей ПИ-регулятор и объект
управления по каналу воздействия z-x:
R1=tf([0.08],[1]);=tf([1],[42 0]);=tf([1.2],[1 0]);=tf([3],[13 1]);=tf([3],[15 1]);
[num,den]=pade(2,10);=tf(num,den);=append(r1,r2,w1,w2,w3,w4);=[1 -6 0;
2 1 0;
3 2 1;
4 3 -6;
5 4 -6;
6 5 0];=[4];=[6];=connect(sys,Q,inputs,outputs);
Step(system)
В результате я получила график переходного процесса (рисунок 15).
Рисунок 15. Переходный процесс системы.
Для проверки правильности, опишу систему в программном продукте Simulink (рисунок 16).
Рисунок 16. Цифровая модель системы.
График в этом получился точно такой же (рисунок 17).
Рисунок 17. График переходного процесса системы.
Теперь подберу значения оптимальные настроечные параметры регулятора
таким образом, чтобы график переходного процесса соответствовал типу
апериодического. Для этого я изменила: Кр=0,1 , Ти=150.
После чего график переходного процесса по каналу z-x показан на
рисунке 18.
Рисунок 18. График переходного процесса с оптимальными коэффициентами
регулятора.
Затем построю график переходного процесса по каналу y-х (рисунок 19).
Рисунок 19. График переходного процесса с оптимальными настройками
регулятора по каналу y-x.
Рассчитаю показатели качества процесса по каналу воздействия y-х:
Перерегулирование:
![]()
(удовлетворяет
виду переходного процесса).
Время
переходного процесса :
, где
=5% ⇒ x(t)=1,05 ⇒
t≈75c (наименьшее, какое возможно
получить)
Рассчитаю показатели качества процесса по каналу воздействия z-x:
Перерегулирование:
![]()
(удовлетворяет
виду переходного процесса)
Время переходного процесса : t≈65c
Вывод:
в результате построения цифровой модели системы, я смогла найти оптимальные
настроечные параметры ПИ-регулятора, при котором получила необходимое качество
переходного процесса по обоим каналам возмущения: Кр=0,1 , Ти=150.
моделирование управление регулятор
Для начала, мы исследовали устойчивость внутреннего и внешнего контуров системы. Внутренний контур стал устойчив после изменения параметра К звена W3(p) на значение равное 3 и транспортного запаздывания на значение равное 2, а для обеспечения запаса устойчивости внешнего контура было необходимо изменить параметр К звена W2(p) на значение равное 3.
После проверки правильности написания текста программы, создав систему в Simulink, мы получили абсолютно идентичные графики переходного процесса, следовательно, все написано верно.
Затем объект был смоделирован в matlab и получен на рисунке 11.
В результате математического описания модели, мы получили график переходного процесса по каналу воздействия y-x. Для проверки построили этот же график цифровой модели в Simulink и получили абсолютно идентичные графики, что говорит о правильности описания. Также определили, что объект является астатическим.
После аналитической проверки, мы получили результаты, соответствующие,
тем, что рассчитали в системе matlab:
В результате аппроксимации графика переходного процесса, были получены настроечные параметры ПИ-регулятора:
В конце, построив цифровую модели системы, мы смогли найти оптимальные
настроечные параметры ПИ-регулятора, при котором получили необходимое качество
переходного процесса по обоим каналам возмущения: Кр=0,1 , Ти=150.
1. Лукас В.А. Теория управления техническими системами: Компактный учеб. Курс для вузов.-3-е изд., перераб. И доп.- Екатеринбург: Издательство УГГГА. 2002.-675с.
. Леонов Р.Е. Применение Матлаб для проектирования автоматических систем регулирования: Методическое пособие для студентов специальности АГП очного и заочного обучения. Екатеринбург: Издательство УГГУ, 2007. 104с.
. В.П. Барановский, М.Г. Фиалко. Моделирование элементов и систем управления: Учебное пособие-Екатеринбург: Изд. УГГГА, 1996.-65с.