Материал: Методы оценки качества продукции

Внимание! Если размещение файла нарушает Ваши авторские права, то обязательно сообщите нам

заниматься исследованиями постоянно, чтобы не упустить существенные изменения мнений потребителей и рыночной ситуации.

Процедура социологических исследований состоит из комплекса последовательных действий (этапов), среди которых можно выделить:

разработку концепции исследования (определение целей, постановку проблемы, формирование рабочей гипотезы, определение системы ПКП);

получение и анализ эмпирических данных (разработка рабочего инструментария, процесс получения данных, обработка и анализ данных);

формулирование основных выводов и оформление результатов исследований (разработка выводов и рекомендаций, оформление результатов исследований).

Рассмотренные методы определения ПКП обладают различной точностью, достоверностью, надежностью, трудоемкостью и их выбор и эффективность использования зависят от цели, конкретных задач и предъявляемых требований при определении ПКП, квалификации реализующих методы специалистов.

3.      Методы оценки качества продукции

Под методом оценки качества продукции (МОКП) понимается совокупность логических и математических операций по использованию отдельных ПКП или их определенного сочетания для определения качества изделия в целом на основе их сравнения с аналогичными вариантами изделий для принятия решения о выборе предпочтительного (лучшего) по качеству для потребителя варианта.

ГОСТ 15467-79 предусматривает следующие МОКП: дифференциальный, комплексный, смешанный и статистический методы.

Дифференциальный МОКП - метод оценки качества продукции, основанный на использовании единичных показателей ее качества. Этот метод заключается в систематизации и сравнительном анализе значений совокупности единичных показателей, характерных для каждого из сравниваемых вариантов, и принятии на этой основе решения о предпочтительности одного из вариантов, обладающего лучшим набором единичных показателей. В изложенной сущности этого метода существует противоречие, затрудняющее широкое использование этого метода по прямому назначению, заключающемуся в выборе лучшего варианта изделия из всей совокупности однотипных изделий, различающихся значениями различных единичных показателей. Дело в том, что единичные показатели от варианта к варианту изменяются не одно - направленно, например, только улучшаются.

Обычно каждый вариант изделия отличается от остальных лучшими значениями одного или нескольких показателей и худшими в сравнении с другими вариантами значениями остальных единичных показателей.

Для сложных же изделий, характеризующихся и различающихся десятками и сотнями единичных показателей, принятие решения о выборе предпочтительного варианта становится неразрешимой задачей. Этот недостаток можно ослабить путем использования коэффициентов весомости отдельных единичных показателей, но это значительно повышает трудоемкость реализации метода, поскольку требует применения экспертных оценок для установления коэффициентов весомости показателей качества, что, в свою очередь, усиливает субъективность метода.

Но и при органически присущих дифференциальному МОКП недостатках он имеет самостоятельное применение по основному назначению в следующих основных случаях:

при анализе тенденций изменения отдельных единичных показателей и выработке рекомендаций по их достижению путем включения в опережающие стандарты;

при оценке качества сравнительно простых изделий, у которых один из показателей имеет высокую дискретность изменения значений в их широком диапазоне, а другие показатели имеют небольшую дискретность, например, резисторы, электродвигатели, бытовые электроприборы и т.п.;

при отсутствии вариативности в выборе изделий, поскольку значения большинства единичных показателей вытекают из расчета (например, значение емкости и допустимого напряжения конденсатора, мощность и число оборотов электродвигателя); антропометрических параметров (например, обувь, одежда и т.п., для которых вариативность в размерных показателях отсутствует, но сохраняется в эстетических) и др.;

при необходимости сопрягаемости показателей изделия с условиями его эксплуатации (напряжение питания прибора с напряжением сети, температурный режим эксплуатации изделия с климатическими условиями и т.п.) или сочетания цветового оформления изделия с интерьером и т.п.

Комплексный МОКП - метод оценки качества продукции, основанный на использовании комплексных показателей ее качества, т.е. показателей, характеризующих несколько свойств продукции.

Основным подходом в реализации этого метода является построение комплексного показателя в виде определенной функции нескольких единичных показателей качества оцениваемого и сравниваемых с ним образцов продукции. Такой подход связан с принципиальными трудностями, заключающимися в следующем:

выбор комплексного показателя качества, т.е. показателя некоторого сложного свойства и его размерности;

в содержательном описании сложного свойства продукции, достаточно объективно и полно отражающем совокупность элементарных свойств, характеризуемых единичными показателями, и образующую качество этой продукции;

в установлении функциональной зависимости комплексного показателя качества от единичных показателей, которая во многих случаях неизвестна;

во взаимной компенсации одних показателей за счет других, т.е. при разном наборе значений единичных показателей, комплексный показатель может оказаться одинаковым или близким по величине у сравниваемых вариантов однотипной продукции;

установленная функция может носить немонотонный характер, что приведет к неоднозначности в оценке качества продукции.

Преодоление отмеченных трудностей обеспечивается использованием достижений современной науки в области оцениваемой техники и привлечением опытных специалистов в качестве экспертов для установления неочевидных с точки зрения физико-химических процессов зависимостей между комплексным и единичными показателями.

Другой распространенный подход к построению комплексного ПКП состоит в следующем. Обоснование функциональной зависимости комплексного ПКП от единичных в тех случаях, когда она неизвестна, облегчается тем обстоятельством, что сравнение однотипных видов продукции обычно осуществляется при небольших различиях значений показателей качества сравниваемых вариантов (образцов) продукции. Благодаря этому можно ограничиться при разложении комплексного показателя в ряд Тейлора членами, содержащими первые степени аргумента, в качестве которого фигурируют единичные показатели качества сравниваемых вариантов, с последующей математической обработкой.

Комплексный МОКП, как правило, сопряжен с необходимостью определения коэффициентов весомости единичных показателей, правильность установления которых имеет важное значение для результатов комплексной оценки качества, существенно влияя на ее корректность.

В соответствии с ГОСТ 15467-79 под коэффициентом весомости ПКП понимается количественная характеристика значимости данного показателя качества продукции среди других показателей ее качества.

Для определения коэффициентов весомости ПКП при комплексной оценке ее качества применяются аналитические и экспертные методы соответственно по ГОСТ 24294-80 и ГОСТ 23554.0-79, ГОСТ 23554.1-79.

В ГОСТ 24294-80 приведен метод регрессионных зависимостей и метод эквивалентных соотношений. В основу этого стандарта положен принцип установления соответствия между комплексным ПКП, имеющим реальное смысловое содержание и наиболее полно отражающим степень удовлетворения данной продукцией потребностей, и единичными ПКП. Необходимые для этого исходные данные имеются в каталогах, научной литературе, НТД. В тех случаях, когда таких данных нет, их получают экспериментальным путем.

В ГОСТ 23554.0-79 и ГОСТ 23554.1-79 в комплексе вопросов порядка и организации экспертной оценки качества продукции приведены указания по установлению коэффициентов весомости экспертами.

В практике оценки качества продукции часто встречаются случаи, когда одновременно необходимо знать комплексный ПКП, анализировать единичные показатели, выявлять возможности их улучшения. В этих случаях применяется смешанный метод оценки, под которым согласно ГОСТ 15467-79 понимается метод оценки качества продукции, основанный на одновременном использовании единичных и комплексных показателей ее качества. Этот метод объединяет дифференциальный и комплексный методы, сущность и методические особенности которых были рассмотрены.

В составе МОКП выделяется статистический метод, под которым согласно ГОСТ 15467-79 понимается метод оценки качества продукции, при котором значения показателей качества продукции определяют с использованием правил математической статистики.

Для решения подобных задач оценки качества продукции применяются методы теории вероятностей и математической статистики, среди которых наиболее характерными являются: точечное и интервальное оценивание параметров распределения показателей качества; проверка гипотез; дисперсионный анализ; корреляционный анализ; регрессионный анализ; анализ временных рядов, последовательностей процессов и др.

Статистическая оценка (точечная и интервальная) указанных ПКП в значительной степени зависит от выбора вида его закона распределения, который определяется характером физико-химических процессов в структуре материалов. Выявление и обоснование закона распределения ПКП вызывает необходимость проведения статистических исследований.

Методы интервального оценивания позволяют установить интервал, в котором с заданной доверительной вероятностью находятся значения исследуемых параметров распределения ПКП, что играет важную роль для обоснования предъявляемых к ПКП требований и норм. Для оценки доверительных интервалов параметров нормального, логарифмически нормального, экспоненциального, биномиального распределений, законов Пуассона и Вейбулла, как наиболее характерных для распределения ПКП, используются государственные стандарты серии 11 (ГОСТ 11.010-81 и др.). В этих стандартах содержатся простые правила и таблицы для оценки доверительных интервалов параметров указанных распределений с заданной вероятностью.

Временным рядом в математической статистике называется упорядоченная последовательность результатов наблюдений некоторой величины, определенным образом меняющейся во времени. Временным рядом является, например, упорядоченная последовательность значений ПКП, полученных в последовательные моменты времени. Методы анализа временных рядов могут эффективно применяться при исследовании динамики качества продукции.

Предусмотренные ГОСТ 15467-79 и рассмотренные ранее методы оценки качества продукции имеют определенную результативность и области применения, но не устраняют полностью неопределенность при оценке качества, возникающую вследствие разнонаправленных, неупорядоченных значений ПКП у сравниваемых вариантов продукции (у одних изделий лучше один набор параметров, чем у остальных, у других - свой набор и т.д.). Это затрудняет обоснованный выбор изделия, обладающего более высоким в сравнении с другими однотипными изделиями качеством.

Преодоление этой трудности позволяет осуществить обобщенный метод оценки качества продукции, состоящий в формировании обобщенного ПКП, объединяющего в единый все единичные и комплексные ПКП по определенному алгоритму или правилу. При этом могут быть использованы различные алгоритмы формирования обобщенного ПКП: аддитивный, мультипликативный, метод оптимальной классификации или таксономии и др.

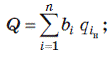
При обозначениях: qi и qin - соответственно абсолютные и нормированные значения i-го единичного показателя; n - количество учитываемых единичных показателей; bi - коэффициент весомости i-го единичного показателя - формирование обобщенного ПКП может строиться по алгоритмам:

аддитивному (средневзвешенному):


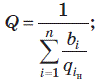
гармонически средневзвешенному


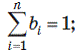
при общем условии


мультипликативному



В выражении при коэффициенте весомости ставится знак «+», если при увеличении i-го показателя качество продукции улучшается, и знак «-», если ухудшается, т.е. обобщенный показатель представляется в виде дроби, в числителе которой стоят показатели, при увеличении которых качество повышается, в знаменателе, при уменьшении которых качество повышается.

Основным и общим недостатком всех приведенных алгоритмов является преобладающее влияние на величину обобщенного показателя одного или нескольких единичных показателей при их экстремальных (значительно больших или значительно меньших, чем у остальных) значений, т.е. формирование обобщенного показателя в основном за счет одного или нескольких единичных (например, достаточно устремить к нулю значение одного из показателей, стоящих в знаменателе дроби, при знаке «-» при коэффициенте весомости в выражении, как резко устремляется в да значение обобщенного показателя. Этот недостаток можно преодолеть, если ограничить значения каждого единичного показателя некоторыми, вытекающими из интересов потребителя, пределами.

Все рассмотренные недостатки приведенных алгоритмов формирования обобщенного ПКП можно преодолеть применением метода оптимальной классификации как разновидности методов таксономии, суть которого состоит в следующем. Каждый из обобщенных показателей строится в n-мерном (по количеству n единичных показателей) пространстве. Координатами каждого из векторов обобщенных показателей являются значения соответствующих единичных показателей на i-й оси n-мерного векторного пространства. Решение о выборе лучшего по качеству варианта продукции принимается путем оценки расстояния от вершины вектора или точки в n-мерном пространстве до вершины вектора (точки), соответствующей значению обобщенного показателя качества варианта-эталона, который может быть сформирован путем придания ему лучших значений единичных показателей, присущих сравниваемым вариантам продукции или создан искусственно путем придания желательных потребителю значений каждому из единичных показателей.

Возможны и другие методы и алгоритмы построения обобщенного показателя качества, позволяющие обеспечить повышение объективности и определенности в оценке качества продукции и обоснованность выбора потребителем лучшего по качеству из сравниваемых вариантов

Заключение


Современная рыночная экономика предъявляет принципиально иные требования к качеству продукции и услуг. Качество продукции (услуг) относится к числу важнейших показателей деятельности организации. Повышение качества в значительной степени определяет выживаемость и успех организации в условиях рынка, темпы технического прогресса, внедрения инноваций, рост эффективности производства, экономию всех видов ресурсов, используемых в производстве.

Отсюда вытекает необходимость постоянной, целенаправленной, кропотливой работы по повышению качества продукции и услуг в сравнении с аналогами конкурентов.

Качество прошло многовековой путь развития и развивалось по мере того, как совершенствовались потребности и возрастали возможности производства по их удовлетворению. В настоящее время появилось множество разнообразных аспектов понятия «качество»: экономический, социальный, управленческий, личностный и другие. Каждый из подходов содержит свои трактовки и понимание содержания этой категории в зависимости от объекта исследования. Однако экономический аспект качества является решающим среди других.

Список используемой литературы

4. Белотелов, Н.В. Сложность. Математическое моделирование. Гуманитарный анализ. Исследование исторических, военных, социально-экономических и политических процессов/ Н.В. Белотелов, Ю.И. Бродский, Ю.Н. Павловский. - М.: Либроком, 2009.

5.      Валевич, Р.П. Управление качеством товаров и услуг: учебное пособие / Р.П. Валевич, О.Б. Пароля. Ї Минск: БГЭУ, 2008.

.        Головачёв, А.С. Экономика предприятия: учебное пособие: в 2 ч. / А.С. Головачёв. Ї Минск: Высшая школа, 2008.

.        Казначевская, Г.Б. Менеджмент: учебник / Г.Б. Казначевская. - Ростов-на/Д.: Феникс, 2010.