Материал: Методы начисления амортизационных отчислений, их преимущества и недостатки

Внимание! Если размещение файла нарушает Ваши авторские права, то обязательно сообщите нам

В условиях плановой экономики устанавливались единые нормы амортизационных отчислений на реновацию основных фондов по многочисленным группам конкретных видов средств труда. Использовался равномерный прямолинейный метод начисления амортизации. В условиях рыночного хозяйства амортизация выполняет две функции: фискальную (налоговую) и воспроизводственную. Соответственно употребляются термины: налоговая и экономическая амортизация и соответствующие виды учета для целей налогообложения и для целей воспроизводства основных средств.

Накопление амортизационных отчислений производится в амортизационном фонде в виде денежных средств, предназначенных для воспроизводства изношенных основных средств. Однако создание амортизационного фонда на предприятии явление крайне редкое, потому что эти денежные средства могут быть более прибыльно использованы в текущей деятельности. В бухгалтерском учете существует статья “накопленная амортизация”, которая фиксирует степень износа основных средств, но не представляет собой денежного фонда. Проводки по амортизации не образуют фонда для замены основных средств, а лишь служат отражением текущих затрат предприятия.

На необходимость создание такого фонда указывал К. Маркс: “Итак, там, где применяется много постоянного капитала, а следовательно, также и много основного капитала, эта часть стоимости продукта, возмещающая износ основного капитала, представляет собой фонд накопления, который может быть использован тем, кто его применяет, для вложения в дело нового основного капитала…. Мы имеем здесь фонд для улучшения, расширения и т.д.”. Вариант, когда амортизационный фонд все-таки не будет образовываться возможен лишь в том случае, когда в данном году начислены амортизационные отчисления по всем элементам основных средств на замену тех элементов, которые выбывают в этом году. Только в случае ежегодного использования всей начисленной амортизации фонд может не образовываться.

Инструменты контроля за целевым использованием амортизационных отчислений. В условиях плановой экономики амортизация использовалась строго по целевым направлениям; амортизационные фонды полностью и безвозмездно изымались в фонд централизованных капиталовложений, средства которого распределялись в соответствии с планом структурных сдвигов в экономике. В рыночных странах контроль за начислением амортизации в налоговых целях одновременно обеспечивает реализацию в автоматическом режиме контроля за регулированием воспроизводства.

1.3 Основные положения, регулирующие

Реформирование экономики, начатое либерализацией цен в 1992 году привело к резкому обесцениванию средств предприятий, в том числе и основных фондов и амортизационных средств. Цены на вводимый капитал резко возрастали, а суммы амортизационных отчислений увеличивались много медленнее. Так в 1992 году амортизационные отчисления составляли до 30% общего объема капитальных вложений. К концу 1993 года их доля в себестоимости промышленной продукции по сравнению с 1991 годом снизилась в 3,6 раза и составила 0,84% в целом по промышленности. При этом уровень цен возрос в начале 1993 года по сравнению с уровнем 1991 года в 70 раз. С этого периода в амортизационной системе происходят существенные изменения. Остановимся более подробно на основных мероприятиях Правительства РФ, которые направлены на реформирование амортизационной системы.

Исходя из предположения, что скачок инфляции будет одномоментный, государственные органы приняли решение о проведении однократной переоценки основных фондов на 1 июля 1992 года. Однако продолжающаяся инфляция заставила провести также переоценку на 1 января 1994 года и 1 января 1995 года и далее ежегодно. Эта мера позволила в той или иной мере нейтрализовать действие инфляционного фактора, что в целом улучшало финансовое положение предприятий. Характер проводимых переоценок постепенно менялся: увеличивалась доля современных методов, используемых формирующимся в стране институтом независимых оценщиков. В частности методы, ориентированные на учет доходности применяемого основных средств и стимулирующие вывод из производства неэффективного капитала и обеспечивающие большую достоверность оценок стоимости производственных фондов.

Постановлением Правительства Российской Федерации от 19 августа 1994 года №967 предприятиям и организациям было предоставлено право до переоценки основных фондов осуществлять, начиная с 1 июля 1994 года, индексацию амортизационных отчислений путем применения поправочного коэффициента, соответствующего индексу инфляции опубликованному органами государственной статистики. Это позволило повысить резко снизившуюся долю амортизации как в издержках производства, так и в составе капиталовложений.

Следующим направлением реформирования системы амортизации стало расширение масштабов ускоренной амортизации как средства мобилизации в сжатые сроки финансовых ресурсов для инвестирования. Если использование ускоренной амортизации требовало ранее согласования с Госпланом СССР (и в последствии - Министерством экономики РФ) и допускалось только для предприятий, осуществляющих массовую замену устаревшей техники новой, и в отношении производственных фондов, используемых для выпуска средств вычислительной техники, новых прогрессивных материалов, приборов и оборудования, то постепенно круг предприятий которые было разрешено применять ускоренную амортизацию расширялся. В 1994 года такая амортизация была разрешена для высокотехнологичных отраслей экономики и при внедрении современной техники (по перечню, устанавливаемому федеральными органами власти) для предприятий и организаций всех форм собственности по прямолинейному равномерному методу амортизации с увеличением нормы вдвое без всякого согласования.

Далее у предприятий появилась возможность увеличивать норму амортизации, если ее размер будет согласован с финансовыми органами субъектов РФ. Малым предприятиям разрешено было использовать ускоренную амортизацию для всех производственных фондов без ограничений и, кроме того, списывать дополнительно в первый год функционирования сначала 20%, а затем 50% первоначальной стоимости основных фондов со сроком службы более трех лет.

Еще одним нововведением является вступление в действие с 1 января 1998 года Положения по бухгалтерскому учету “Учет основных средств” ПБУ 6/97, утвержденное Приказом Минфина РФ от 03.09.97 № 65н (далее ПБУ 6/97). Изменение методологических основ формирования в бухгалтерском учете информации об основных средствах вызвано декларированием концепции перехода на международные стандарты учета и отчетности. Ведено новое для российского бухгалтерского учета понятие “срок полезного использования основных средств” под которым понимается “период, в течение которого использование объекта основных средств призвано приносить доход организации или служить для выполнения целей деятельности организации, определяемый для принятых к бухгалтерскому учету основных средств в соответствии с установленным порядком”.

Согласно п.4.4 ПБУ 6/01 срок полезного использования объекта основных средств должен определяться организацией при принятии этого объекта к бухгалтерскому учету. Методика определения срока полезного использования в том случае если он отсутствует в технических условиях или не установлен в централизованном порядке приводится в п. 4.4 ПБУ 6/01. В отличие от ранее действовавшего порядка начисления амортизации предусматривающего всего лишь один способ начисления амортизации - линейный включены четыре возможных способа начисления амортизации. К ним относятся методы: линейный, уменьшаемого остатка, списания стоимости по сумме чисел лет срока полезного использования, списание стоимости пропорционально объему продукции (работ). Порядок определения годовой суммы амортизационных отчислений для каждого из вышеупомянутых четырех способов приводится в п.4.3. ПБУ 6/01.

Последним изменением законодательства, касающегося порядка начисления амортизации стали поправки, вытекающие из принятого 22 июля 2008 года Закона № 158-ФЗ «О внесении изменений во вторую часть Налогового кодекса», вступившего в силу с 1 января 2009 года. Среди них необходимость включения в амортизационные группы нематериальных активов, исходя из срока их полезного использования.

Согласно новой редакции пункта 1 статьи 259 Кодекса метод начисления амортизации устанавливается налогоплательщиком самостоятельно применительно ко всем объектам амортизируемого имущества и отражается в учетной политике для целей налогообложения. Изменение метода начисления амортизации допускается с начала очередного налогового периода. При этом налогоплательщик вправе переходить с нелинейного метода начисления амортизации на линейный не чаще одного раза в пять лет.

Основные принципы и порядок применения линейного метода остались прежними, за исключением нововведений, касающихся безвозмездного пользования и возврата объекта собственнику, а также расконсервации, завершения реконструкции (модернизации) ОС.

Нелинейные способы начисления амортизации подверглись более тотальной переработке. На 1-е число налогового периода, с начала которого будет установлено применение нелинейного метода, для каждой амортизационной группы (подгруппы) нужно определять суммарный баланс. Данный баланс рассчитывается как суммарная стоимость всех объектов амортизируемого имущества, отнесенных к данной амортизационной группе (п. 2 новой редакции ст. 259.2 НК). В дальнейшем суммарный баланс каждой амортизационной подгруппы рассчитывается на 1-е число месяца, для которого определяется сумма начисленной амортизации. Для амортизационных групп и входящих в их состав подгрупп суммарный баланс выводится без учета «линейных» объектов.

При этом остаточная стоимость объектов, амортизация по которым начисляется нелинейным методом, определяется по формуле:

Sn = S × (1 - 0,01 × k)n, где

- остаточная стоимость указанных объектов по истечении n месяцев после их включения в соответствующую амортизационную группу (подгруппу);- первоначальная (восстановительная) стоимость указанных объектов;- число полных месяцев, прошедших со дня включения указанных объектов в соответствующую амортизационную группу (подгруппу) до дня их исключения из состава этой группы (подгруппы), не считая периода, исчисленного в полных месяцах, в течение которого такие объекты не входили в состав амортизируемого имущества;- норма амортизации (в том числе с учетом повышающего (понижающего) коэффициента), применяемая в отношении соответствующей амортизационной группы (подгруппы).

Также новые правила привели к изменению нормативных значений амортизационных отчислений по каждой амортизационной группе. Отдельные статьи Налогового Кодекса посвящены корректирующим коэффициентам, а также правилам налогового учета операций с амортизируемым имуществом, одним из нововведений в котором стало то, что пообъектное ведение учета доходов и расходов по амортизируемому имуществу будет применяться только к линейному методу.

Руководствуясь предметом и задачами нашей работы, остановимся подробнее на рассмотрении, анализе и оценке методов, используемых в процессе начисления амортизационных отчислений.

Глава 2. Анализ методов начисления амортизации

.1 Сравнительный анализ

В настоящее время различаются методы начисления амортизации для целей бухгалтерского и налогового учета. Согласно ПБУ 6/01 начисление амортизации объектов основных средств производится одним из следующих способов:

линейный метод;

метод уменьшаемого остатка;

метод списания стоимости пропорционально объему продукции (работ);

метод списания стоимости по сумме чисел лет срока полезного использования.

Обязательным условием является то, что применение одного из методов начисления амортизации по группе однородных объектов основных средств производится в течение всего срока полезного использования объектов, входящих в эту группу.

Срок полезного использования объекта основных средств определяется организацией при принятии объекта к бухгалтерскому учету. Определение этого срока производится с учетом следующих факторов:

ожидаемого срока использования этого объекта в соответствии с ожидаемой производительностью или мощностью;

ожидаемого физического износа, зависящего от режима эксплуатации (количества смен), естественных условий и влияния агрессивной среды, системы проведения ремонта;

нормативно-правовых и других ограничений использования этого объекта (например, срок аренды).

В случаях улучшения (повышения) первоначально принятых нормативных показателей функционирования объекта основных средств в результате проведенной реконструкции или модернизации организацией пересматривается срок полезного использования по этому объекту, о чем говорилось в предыдущей главе.

Также не подлежат амортизации объекты основных средств, потребительские свойства которых с течением времени не изменяются, - земельные участки и объекты природопользования.

Начисление амортизации объектов основных средств, не используемых в производственной деятельности, отражается за счет собственных источников, образованных из прибыли, остающейся в распоряжении предприятия.

Рассмотрим подробнее методы начисления амортизационных отчислений на предприятия.

Линейный метод заключается в равномерном начислении организацией амортизации в течение всего нормативного срока службы или срока полезного использования объекта основных средств. Сумма амортизационных отчислений за месяц (Ам) при линейном способе определяется исходя из амортизируемой стоимости объекта и нормы амортизации, начисленной исходя из срока полезного использования этого объекта.

, где

А.С. - амортизируемая стоимость объекта основных средств;

На - годовая норма амортизации в процентах от амортизируемой стоимости объекта, рассчитывается по формуле исходя из срока полезного использования (расчет приведен ниже).

, где

СПИ - срок полезного использования объекта основных средств в годах.

Сумма амортизационных отчислений за месяц рассчитывается, исходя из срока полезного использования, выраженного в месяцах, по формуле:


Метод уменьшаемого остатка

При методе уменьшаемого остатка годовая сумма начисленной амортизации рассчитывается, исходя из определяемой на начало отчетного года недоамортизированной стоимости (разности амортизируемой стоимости и суммы начисленной до начала отчетного года амортизации) и нормы амортизации, исчисленной исходя из срока полезного использования объекта и коэффициента ускорения, принятого организацией.

Амортизационные отчислений за год определяется следующим образом:

, где:

А.С. - амортизируемая стоимость объекта основных средств;

На - годовая норма амортизации в процентах от амортизируемой стоимости объекта, рассчитывается по формуле исходя из срока полезного использования (расчет приведен ниже).

, где:

СПИ - срок полезного использования объекта основных средств, лет;

К - повышающий коэффициент, равный, согласно ПБУ 6/01, не более 3. Повышающий коэффициент является составляющей нормы амортизации. Начисление амортизации в отношении объекта амортизируемого имущества осуществляется в соответствии с нормой амортизации, установленной на дату ввода данного объекта в эксплуатацию. При этом в течение срока амортизации объекта основных средств норма амортизации изменена быть не может, в том числе не может изменяться и значение коэффициента.

Максимальная величина повышающего коэффициента может быть установлена к амортизации основных средств, используемых в лизинговых сделках. Подробнее о порядке применения повышающих коэффициентах будет сказано ниже.

Сумма ежемесячных амортизационных отчислений (Ам) рассчитывается ежегодно, исходя из годовой суммы амортизационных отчислений по формулам:


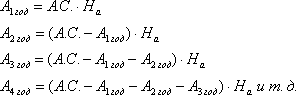
Метод списания стоимости пропорционально объему продукции (работ, услуг)

Этот способ начисления амортизации объекта основных средств заключается в начислении амортизации исходя из амортизируемой стоимости объекта и отношения натуральных показателей объема продукции (работ, услуг), выпушенной в (текущем) периоде к ресурсу объекта.

Под ресурсом объекта понимается количество продукции (работ, услуг), в натуральных показателях, которое в соответствии с технической документацией может быть выпущено на протяжении всего срока эксплуатации объекта.