Материал: методичка мягкие

Внимание! Если размещение файла нарушает Ваши авторские права, то обязательно сообщите нам

фикаторы и склеивающие вещества. Чаще всего в качестве вспомогательных веществ использовали экстракты корней солодки (сухой и густой), экстракт валерианы густой (масса его регламентировалась прописью рецепта), порошок корней солодки, порошок плодов шиповника, воду очищенную, воду глицериновую, сироп сахарный, этанол. В некоторых случаях применяли неорганические вспомогательные вещества (каолин, бентонит) и крахмально-сахарную смесь.

Жидкие вспомогательные вещества

Вода очищенная входила в состав практически всех пилюльных масс как растворитель лекарственных веществ и для склеивания твердых составных частей. Она исключалась из пилюль, содержащих гликозиды (возможен гидролиз) и сильно гигроскопичные вещества (во избежание образования расплывающихся масс).

Недостатком пилюль, изготовленных с использованием только одной воды очищенной, являлось быстрое высыхание пилюль. Поэтому использовали глицериновую воду (Aqua Glycerinata), представляющую собой смесь равных количеств воды и глицерина. За счет гигроскопичности глицерина пилюли предохранялись от быстрого высыхания.

Густые экстракты. Наиболее часто применяли экстракты корней солодки, одуванчика, полыни, валерианы, горечавки, трилистника - очень концентрированные, вязкие, клейкие, трудно высыхающие сиропообразные жидкости, обладающие хорошей склеивающей способностью. Они придавали пилюльной массе мягкость.

Хуже других с помощью густых экстрактов формировались массы, содержащие резкогидрофобные вещества (камфару, ментол). К наиболее индифферентным экстрактам следует отнести экстракты корней одуванчика и солодки. Менее индифферентный - экстракт валерианы, который применяли только по указанию врача. Если не было указания в рецепте, то чаще всего использовали экстракт солодки. Применяли и сухой экстракт солодки, но комбинации с глицериновой водой (10 - 30% массы сухого экстракта).

Твердые вспомогательные вещества. Сахар и крахмал использовали, главным образом, не в отдельности, а в сочетании, в виде так называемой крах- мально-сахарной смеси (Amylum saccharatum), состоящей из 1 части крахмала, 3 частей глюкозы, 3 частей сахара молочного.

Растительные порошки. Порошки корней солодки, одуванчика, алтея, плодов шиповника кроме клетчатки содержат сахара, камеди, слизи, пектин, белки, которые с водой дают клейкие массы. Наиболее часто применяли порошок корней солодки.

Мука пшеничная. Имеет хорошие связывающие и эмульгирующие свойства, которые обеспечивает клейковина. Муку использовали в количестве 10% в комбинации с растительными порошками или крахмалом. Ее применяли для изготовления пилюль с гидрофобными жидкостями (скипидар, эфирные и другие масла).

76

Бентонит и глина белая. Характерными свойствами этих веществ являются гидрофильность и способность к набуханию, использовали их смесь в равных количествах при изготовлении пилюль с окислителями: калия перманганатом и серебра нитратом, которые разлагаются в присутствии органических веществ - растительных порошков и экстрактов.

Расчеты

Так как пилюли чаще выписывали разделительным способом, массы лекарственных веществ на все дозы были указаны в прописи рецепта, поэтому производили лишь выбор и расчеты вспомогательных веществ. Обычно исходили из оптимальной массы одной пилюли (0,2 г). Если масса лекарственных веществ в прописи рецепта составляла 50% и более предполагаемой общей пилюльной массы, среднюю массу пилюль могли увеличить до 0,3; 0,4 и даже 0,5 г. При получении средней массы пилюли более 0,5 г возникала необходимость изготовить двойное количество пилюль и рекомендовать больному вместо одной пилюли принимать две в один прием.

Экстракта корня солодки сухого брали 1/4 от предполагаемой пилюльной массы, а густого – 1/3. Количество порошка (чаще корней солодки) рассчитывали по разности между общей пилюльной массой и суммарной массой лекарственных веществ и экстракта. Так как пластичность массы зависит от свойств и количества лекарственных веществ, способа введения их в пилюльную массу, расчеты вспомогательных веществ носили ориентировочный характер (необходимый для таксировки). Несмотря на расчеты, практически использованная масса растительного порошка могла оказаться иной. После изготовления пилюльную массу взвешивали и массу отмечали в рецепте, паспорте, сигнатуре.

Экстракты солодки (сухой и густой) использовали, если в рецепте вид экстракта и его масса не были обозначены. Густые экстракты валерианы, полыни брали в количестве, указанном в прописи рецепта. Однако врачи иногда не указывали точное количество экстракта валерианы, например, пилюли по про-

писи Сиротина (состав, г):

 

хлоралгидрат.........................................

3,0

бромкамфора....................................................

2,5

(или калия бромид) .........................................

2,5

экстракт валерианы - нужное количество (для получения пилюль числом

30)

Если масса густых экстрактов валерианы, полыни и других экстрактов, обладающих высокой специфической фармакологической активностью, была недостаточной для получения пластичной пилюльной массы (менее '/3 общей массы), добавляли необходимое количество более индифферентного экстракта корней солодки.

Если в состав пилюль входил йод совместно с калия йодидом, для удобства работы применяли заранее изготовленный полуфабрикат - 10% раствор йода в насыщенном растворе калия йодида, который отмеривали каплями. Число капель полуфабриката (раствора йода в растворе калия йодида), соответст-

77

вующее 0,01 йода, указывали на этикетке штангласа, к которому прикреплялся эмпирический каплемер.

Для получения пилюльных масс с липофильными жидкостями необходимо было предварительно эмульгировать неводную фазу. Для этого вспомогательные вещества брали в следующих количествах по отношению к массе липофильной жидкости: сухого экстракта корней солодки - в равном количестве; глицерина - в половинном количестве; воды очищенной - '/2 часть.

Массу крахмально-сахарной смеси, необходимой для изготовления пилюль с солями алкалоидов и азотистых оснований, рассчитывали, исходя из оптимальной массы одной пилюли (0,2 г) по разности общей пилюльной массы и массы лекарственных веществ. Для получения упруго-пластичной консистенции применяли минимально возможное количество 7% глицериновой мази (в пределах нормы допустимого отклонения от общей массы):

Пилюли с гидрофильными жидкостями (без добавления твердых вспомогательных веществ) изготавливали в тех случаях, когда в состав прописи входили такие вещества, как фитин, кальция глицерофосфат, глина белая. Расчеты

вэтих случаях не вызывали затруднений. Количество гидрофильной жидкости (воды глицериновой или смеси сиропа сахарного, глицерина и воды очищенной

всоотношении 1:1:8) не рассчитывали, а осторожно добавляли по каплям до получения упруго-пластичной массы (при условии непревышения максимально допустимой массы пилюли).

Во избежание окислительно-восстановительных процессов пилюли с окислителями не изготавливали с применением растительных экстрактов и порошков. Применяли бентонит, глину белую или смесь бентонита и глины белой

всоотношении 1:2, их массу рассчитывали по разности между общей пилюльной массой и массой лекарственных веществ.

При изготовлении пилюль, содержащих серебра нитрат, к смеси порошков добавляли воду очищенную, не содержащую восстанавливающих веществ (по каплям); при изготовлении пилюль с калия перманганатом - ланолин безводный (-1,0 г на 30 пилюль) или воду очищенную, также не содержащую восстанавливающих веществ.

Изготовление пилюль

Включает следующие стадии: измельчение или растворение и смешивание лекарственных веществ; получение упруго-пластичной пилюльной массы; формирование пилюльного стержня (цилиндра); дозирование и формирование пилюль; обсыпка и упаковка пилюль; маркировка (оформление к отпуску); контроль качества на стадиях изготовления, готового препарата и при отпуске из аптеки.

Твердые лекарственные вещества, входящие в состав пилюль, тщательно измельчали и смешивали по общим правилам изготовления порошков. Вещества списков А и Б растворяли в воде или этаноле, нерастворимые - растирали в мельчайший порошок.

В случае изготовления пилюль, содержащих липофильные жидкости, в

78

первую очередь в ступку добавляли ингредиенты эмульгирующей смеси - сухой экстракт корней солодки, затем глицерин, воду очищенную и по каплям эмульгируемую жидкость, затем - порошок корней солодки постепенно по частям, так как возможно получение пластичной пилюльной массы и с его меньшим, чем рассчитано, количеством. Также добавляли бентонит, глину белую, муку пшеничную и т. п. Смесь лекарственных и вспомогательных веществ уминали пестиком до получения упруго-пластичной пилюльной массы, легко отстающей от стенок ступки и пестика и имеющей вид крутого однородного теста.

Готовую массу собирали на головке пестика, снимали кусочком целлофана или пергаменной бумаги и взвешивали. Массу отмечали на рецепте, ППК, сигнатуре. Переносили на столик пилюльной машинки (матовое стекло) и раскатывали деревянной дощечкой ровный стержень длиной, соответствующей длине ножа (резака) пилюльной машинки и количеству доз. Нож пилюльной машинки рассчитан на 30 делений (пилюль). Если нужно было изготовить большее число доз, то массу предварительно делили на равные части (2 или 4). При изготовлении меньшего (чем 30) числа пилюль на пилюльном ноже отсчитывали и отмечали нужное число делений.

Пилюльный стержень помещали между двумя ножами пилюльной машинки и путем возвратно-поступательного движения верхнего ножа, осторожно надавливая, дозировали, одновременно формируя шарики, которые затем собирали вместе на столике пилюльной машинки и с помощью деревянной дощечки или специального ролика окончательно формировали шарики правильной формы с ровной гладкой поверхностью.

Готовые пилюли подсушивали на воздухе и подсчитывали с помощью счетного треугольника. Если необходимо, перед упаковкой их еще раз обрабатывали роликом. Во избежание слипания пилюль при хранении их обсыпали ликоподием из расчета на 30 пилюль 0,5-1,0 г ликоподия (пилюли с растительными порошками и экстрактами) или 1,0 - 2,0 г глиной белой (пилюли с алкалоидами, окислителями). Обсыпку пилюль проводили в счетном треугольнике или непосредственно в отпускных коробках или банках.

Пилюли оформляли этикеткой «Внутреннее» с соответствующими предупредительными надписями или дополнительными предупредительными этикетками. В случае необходимости выписывали сигнатуру.

Контроль качества пилюль

Качество изготовленных пилюль оценивали так же, как и других лекарственных форм. Проверяли: однородность, отсутствие механических включений, цвет, запах, форму, размер, число пилюль, отклонение массы отдельной пилюли (пилюли массой до 0,3 г ± 10%, свыше 0,3 до 0,5 г ±5%), сопроводительные документы (рецепт, ППК), правильность упаковки и оформления.

Специфичными для пилюль показателями качества являются: подсчет числа пилюль, шарообразная форма, гладкая и сухая поверхность, однородность в разрезе; распадаемость пилюль (не более 1 ч).

79

Пилюли, изготовленные с помощью крахмало-сахарной смеси, несколько мягче, чем пилюли, изготовленные с помощью растительных порошков и экстрактов. При изготовлении пилюль, (содержащих липофильную жидкость, на стадии эмульгирования .проверяли готовность эмульсии. Если липофильная жидкость полностью эмульгирована, капля воды очищенной свободно растекалась по поверхности эмульсии.

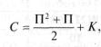
Подсчет числа изготовленных пилюль проводят с помощью счетного треугольника. Пилюли располагаются в нем правильными рядами (одинаковый размер и сферическая поверхность), каждый последующий ряд содержит на одну пилюлю больше, чем предыдущий.

Число пилюль С подсчитывают по формуле:

где П - число полных рядов; К- число пилюль в неполном ряду. Распадаемость пилюль проверяли по следующей методике: 1 - 2 пилюли помещали в коническую колбу вместимостью 100 мл, содержащую 50 мл воды очищенной температурой 37±2 оС. Колбу покачивали 1-2 раза в секунду. Пилюли считали распавшимися, если все взятые для испытания пилюли растворились или превратились в порошок, или распались на части, или превратились в рыхлую массу, легко разрушаемую при прикосновении стеклянной палочкой. Кроме воды очищенной, распадаемость может быть проверена в кислой (если пилюли должны распадаться в желудке) или щелочной (если пилюли должны распа-

даться в кишечнике) средах.

 

 

Кислый раствор пепсина

 

 

пепсин, г ...................................................

3,0

 

кислота хлористоводородная концентрированная, мл ..

6

вода очищенная, л....................................

До 1

 

Щелочной раствор панкреатина

 

 

панкреатин, г............................................

3,0

 

натрия гидрокарбонат, г..........................

15,0

 

вода очищенная, л....................................

До 1

 

Учитывая сложность состава пилюльных масс, затруднения вызывает химический контроль пилюль, поэтому некоторые пилюльные массы изготавливали и в настоящее время изготавливают «под наблюдением» провизорааналитика или провизора-технолога.

Контроль качества

При оценке качества гранул проверяют:

внешний вид: однородность по окраске, размер, шаровидность формы, цвет. Гранулы должны быть белого цвета с серым или

с желтоватым оттенком (если нет других указаний в частных статьях). Оценку внешнего вида гранул проводят на основании визуального осмотра невооруженным глазом навески гранул, рекомендуемой для подсчета их ко-

80