Материал: МЭТ_2 лаб_отчёт

Внимание! Если размещение файла нарушает Ваши авторские права, то обязательно сообщите нам

МИНОБРНАУКИ РОССИИ

Санкт-Петербургский государственный

электротехнический университет

«ЛЭТИ» им. В. И. Ульянова (Ленина)

Кафедра МНЭ

отчёт

по лабораторной работе №2

по дисциплине «Материалы электронной техники»

Тема: Исследование электрических свойств

полупроводниковых материалов

Студентка гр. 9283

Зикратова А.А.

Преподаватель

Кузнецова М. А.

Санкт-Петербург

2020

Экспериментальные результаты.

Обработка результатов эксперимента.

  1. Рассчитать удельное сопротивление исследуемых полупроводниковых материалов для каждой температурной точки и соответствующие удельные проводимости образцов.

Пример расчёта для Si при T = 298 К:

ρ = = ‧ 10-4 Ом ‧ м = 7,294 ‧ 10-4 Ом ‧ м;

γэксп = = См / м ≈ 1371 См / м;

2) По данным табл. 2 построить температурные зависимости удельной проводимости полупроводников, откладывая по оси абсцисс параметр T−1, а по оси ординат – значения ln γэксп,. Графики ln γ=f(T−1) для всех исследованных полупроводниковых материалов привести на одном рисунке.

3 - 4) По данным табл. 3, рассчитать концентрации собственных носителей заряда в полупроводниках Si, Ge, InSb и SiC. Оценить значения собственной удельной проводимости в этих полупроводниках при T = 300 К.

Пример расчёта для Si:

= ‧ exp ( ) м3 ≈ 1,6962 ‧ 1025 ‧ exp (-21,7) м3 ≈ 6,63 ‧ 1015 м3.

γi = q ‧ n ‧ (μn + μp) = 1,6 ‧ 10-19 ‧ 6,63 ‧ 1015 ‧ (0,13 + 0,05) См / м ≈ 1,91 ‧ 10-4 См/м

5) Сравнивания полученные в результате расчетов значения γi со своими экспериментальными данными γэксп (табл. 2), решить, какие же носители (собственные или примесные) определяют электрическую проводимость исследуемых образцов в интервале температур от Tmin = 300 К до Тmax – максимальной температуры измерений.

Сравнивая данные из таблицы 1 и таблицы из п. 3 – 4:

Si: γэксп >> γi – примесная проводимость

Ge: γэксп ≈ γi – собственная проводимость

SiC: γэксп >> γi – примесная проводимость

InSb: γэксп ≈ γi – собственная проводимость

Если ∆Эпр <<kTmax, то примеси в полупроводнике с большой вероятностью ионизированы: nпр Nпр. По значению γэксп следует определить всю концентрацию этих примесей.

 

kTmax, эВ

∆Эпр, эВ

м-3

Si

0,032141

0,01…0,02

4,76E+22

SiC

0,04…0,40

не все примеси иониз.

Для Si при T = 298 К:

nпр = = м-3 ≈ 4,76 ‧ 1022 м-3.

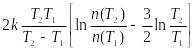
6) Если в полупроводнике не все примеси ионизированы, то по наклону кривой можно найти ∆Эпр.

Для SiC:

= = м-3 ≈ 2,6 ‧ 1020 м-3

ΔЭпр = = 2 ‧ 8,62 ‧ 10-5 ‧ ( ) ≈ 4,22 ‧ 10-1 эВ

 

T1, К

T2, К

n(T2), м-3

n(T1), м-3

∆Эпр, эВ

SiC

313

318

2,60E+20

2,30E+20

4,22E-01

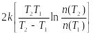
7) Для полупроводников, у которых γэксп ≈ γi, определить ∆Э.

Пример расчёта для Ge:

n(T1) = = м-3 ≈ 5,2 ‧ 1021 м-3

ΔЭ = = 2 ‧ 8,62 ‧ 10-5 ) ≈ 1,56 ‧ 10-1 эВ

 

T1, К

T2, К

n(T2), м-3

n(T1), м-3

∆Эпр, эВ

Ge

308

313

5,1807E+21

5,2996E+21

1,56E-01

InSb

303

313

2,79455E+21

2,60213E+21

3,70E-02

8) Рассчитать значение n эксп для Ge и InSb.

Пример расчёта для InSb при T = 358 К:

nэксп = = м-3 ≈ 3,87 ‧ 1021 м-3

T = 358 К

γэксп, См / м

q, Кл

μn, м2 / (В ‧ с)

μp, м2 / (В ‧ с)

nэксп, м-3

Ge

4,55E+02

1,6E-19

0,39

0,19

4,90E+21

InSb

4,88E+03

7,8

0,075

3,87E+21

9) Для каждого из материалов на построенных зависимостях .определить температурные диапазоны реализации участков:

  • ионизации примеси;

  • истощения примеси;

  • собственной электропроводности

а) Si:

T = 298 373 К - ионизация примеси;

б) Ge:

T = 298 333 К - ионизация примеси;

T = 333 338 К - истощение примеси;

T = 338 373 - собственная электропроводность;

в) SiC:

T = 298 373 К – уч-к истощения примеси;

г) InSb:

T = 298 318 К - ионизация примеси;

T = 318 323 К - истощение примеси;

T = 323 373 К - собственная электропроводность;

Вывод:

в ходе работы были исследованы электрические свойства полупроводниковых материалов. Установлена температурная зависимость удельного сопротивления. Для Ge и InSb найдена энергия ионизации примесей.