Материал: Меланоидины как результат реакции Майяра

Внимание! Если размещение файла нарушает Ваши авторские права, то обязательно сообщите нам

Вещества, реагирующие с карбонильными соединениями, - цианиды, дидемон, гидроксиламин, гидразин, меркаптаны, сульфиты - являются ингибиторами реакций образования красящих веществ. Они оказывают эффективное действие, если вводятся в реакционную среду на первой стадии образования цветности. Например, несколько капель в-меркапто-этанола полностью прекращают образование красящих веществ в глюкозоаминокислотном растворе при 95°С. Но ингибиторы не действуют, если в реакции участвуют циклические соединения (раствор фурфурола и глицина). [2]

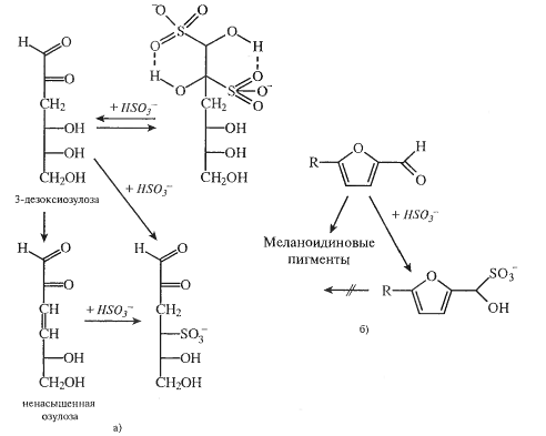
Химический способ ингибирования реакции Майяра - использование сульфитов - представлен на схеме (схема 5.). [3]

Содержание сульфитов в ходе неферментативного потемнения постепенно снижается. В одних случаях (например, для глюкозы и аминокислот) потемнение прекращается полностью еще до того, как содержание сульфитов снизится почти до нуля. В других (например, для аскорбиновой кислоты и аминокислот) оно замедляется.

Схема 5. Возможные механизмы защитного действия гидросульфит - иона при потемнении пищевых продуктов

Неодинаковая роль сульфитов объясняется различиями в промежуточных продуктах реакции, участвующих в формировании окраски. Более всего подвержены влиянию сульфитов такие промежуточные продукты, как 3-дезоксизулозы и ненасыщенные озулозы. Первые образуют с сульфитом обратимые соединения и замедляют реакцию, вторые образуют необратимое добавочное соединение, в результате чего этот промежуточный продукт стабилизируется, а процесс потемнения задерживается до тех пор, пока сульфит не будет полностью использован. Эти дополнительные продукты были фактически выделены из модельных сред и идентифицированы в пищевых продуктах.

Оксид серы (SO2) и его производные подавляют реакцию потемнения в пищевых продуктах, однако их применение ограничивается возможностью образования в сульфитированных пищевых продуктах слаботоксичных компонентов. Поиски других ингибиторов продолжаются, однако найденные до настоящего времени заменители (цианиды, димедон, гидроксиламин, гидразин, меркаптаны, бромин) неприемлемы из-за токсичности. Однако этот путь защиты от потемнения не предохраняет продукты от потери аминокислот (например, лизина), поскольку реакция с сульфит-ионами протекает на последних стадиях меланоидинообразования. Кроме того, гидросульфит-ион практически не имеет влияния на реакцию Стреккера.

5.      Меланоидины: добро и зло

Кофе, какао, пиво, квас, десертное вино, хлеб, жареные мясо и рыба... Пока мы пьем и едим все это, реакция Майара и ее продукты, меланоидины, с нами. Мы потребляем около 10 г меланоидинов каждый день, поэтому так важно знать об их пользе и вреде. [6]

Образование меланоидинов сопровождается появлением множества ароматических веществ: фурфурола, оксиметилфурфурола, ацетальдегида, формальдегида, изовалерианового альдегида, метилглиоксаля, диацетила и других. Именно они придают незабываемый, аппетитный аромат свежеиспеченному хлебу, плову, шашлыку... Еще в 1948 году создатель лаборатории в Институте биохимии им. А.Н. Баха В.Л. Кретович и Р.Р. Токарева обнаружили, что в растворах глюкозы в присутствии аминокислот лейцина и валина образуются специфические тона корки ржаного хлеба, а в присутствии глицина - карамельный аромат. Чем не способ получения вкусовых и ароматизирующих добавок?

Традиционные рецепты приготовления блюд и напитков включают стадии обработки пищи, на которых образуются меланоидины. Например, темные сорта пива своим насыщенным цветом обязаны меланоидинизированному солоду. А вкусовые добавки и ароматизаторы - это готовые продукты реакции Майара, которые получают отдельно и добавляют в продукты и напитки в качестве естественных красителей и усилителей вкуса. Ароматизаторы и приправы для фастфуда - того же происхождения. Например, пищевую добавку с ароматом тушеной грудинки получают микроволновой сушкой ферментативного гидролизата мяса говядины.

Сегодня в научной литературе накоплено огромное количество данных о полезных свойствах меланоидинов - антиоксидантных, антимикробных, иммуномодулирующих, а также об их способности связывать ионы тяжелых металлов. Впервые антиоксидантная активность продуктов реакции Майара была обнаружена в 1961 году в экспериментах с вареным мясом. Затем было показано, что вареное мясо ингибирует перекисное окисление липидов, а в роли собственно ингибиторов выступают меланоидины и мальтол, образующиеся в говядине при варке.

Сегодня ученые, исследующие природу антиоксидантной активности меланоидинов, предполагают, что она связана со структурой этих веществ, которые содержат систему сопряженных двойных связей в гетероциклических и хиноидных звеньях.

Именно такая структура позволяет им обезвреживать свободные радикалы и захватывать металлы. И для организма это чрезвычайно полезно.

Скажем, связывая железо (Fe2+), меланоидины не дают ему взаимодействовать с перекисью водорода в организме с образованием сильного окислителя и разрушителя - гидроксильного радикала (НО). Также они могут восстанавливать пероксильные липидные радикалы (ROO).

Еще одно достоинство - антимикробная активность. В недавно опубликованной статье в журнале «Food & Function» антимикробное действие меланоидинов кофе связывают с образованием в ходе реакции Майара перекиси водорода, подавляющей рост бактерий Escherichia coli и Listeria innocua.

Исследование меланоидинов кофе, развернувшееся в последние годы, подталкивает ученых к мысли, что они могут уменьшать риск заболевания раком. Кроме того, они усиливают синтез ферментов семейства глютатион-S-трансферазы, которые обезвреживают различные. А группа ученых из Кореи, Японии и Германии в экспериментах на крысах показала, что аромат жареных кофейных зерен (результат реакции Майара) изменяет работу некоторых генов и при этом в мозгу синтезируются белки, снижающие последствия стресса из-за лишения сна. Таким образом, научно доказано, что просыпаться на запах кофе полезно для мозга, а потому и приятно. Впрочем, это вовсе не означает, что кофе надо пить с утра и до вечера. Руководитель исследований невролог Йосинори Масуо из Научно-исследовательского центра технологий здравоохранения (Япония) считает, что можно просто понюхать кофе, вместо того чтобы пить.

Благодаря полезным свойствам меланоидины нашли применение не только в кулинарии и пищевой химии. В народной медицине с незапамятных времен используют целебные свойства этих веществ. Отвар ржаных колосьев применяют для лечения заболеваний органов дыхания как отхаркивающее мягчительное средство; припарки из ячменного солода рекомендуют при воспалениях кожи и геморрое; отварами ячменного зерна лечат заболевания желудочно-кишечного тракта, почек, мочевых путей и нарушения обмена веществ. В России XIX века был популярен так называемый госпитальный квас, который входил в рацион каждого солдата, выздоравливающего после ранения, для поднятия сил.

Наружное антисептическое средство для лечения кожных заболеваний - «жидкость Митрошина» - представляет собой концентрат меланоидинов, получаемый термической обработкой овса, пшеницы и ржи. Препарат под названием «Холеф» (фехолин), густой экстракт из пшеничных зародышей, разрешен к применению для лечения больных с различными формами прогрессивной мышечной дистрофии. В Научно-практическом центре по животноводству Национальной академии наук Республики Беларусь получили опытную партию кормовой антиоксидантной добавки «Эколин-1», которая представляет собой композицию из гидролизатов ростков солода и торфа. В Ставропольском политехническом институте из отходов молочного производства сделали препарат «ПВ», рекомендованный для широкого применения в растениеводстве и животноводстве в качестве биостимулятора. К сожалению, все эти препараты выпускают локально и малыми партиями

Но вернемся к меланоидинам, которые мы едим. Они, надо признать, плохо расщепляются пищеварительными ферментами и не всасываются в желудочно-кишечном тракте. Казалось бы, минус? Не будем торопиться. Меланоидины выполняют ту же функцию, что и пищевые волокна, улучшают пищеварение и стимулируют рост бифидобактерий, то есть обнаруживают свойства пребиотиков. А это уже скорее плюс.

Но при слишком высоких температурах в ходе реакции Майара могут образовываться действительно токсичные или канцерогенные вещества. Например, акриламид появляется при запекании или жарке выше 180°C, когда происходит термическое разложение меланоидинов. [7] Вот почему пережаривать не стоит. Но что интересно: исследователи выяснили, что некоторые продукты реакции Майара стимулируют образование ферментов, участвующих в связывания токсинов, в том числе и акриламида. А в модельных экспериментах было показано, что высокомолекулярные меланоидины подавляют образование канцерогенных N-нитрозаминов.

Конечно, к минусам можно приписать и то, что реакция Майара снижает биологическую ценность белков, поскольку аминокислоты, особенно лизин, треонин, аргинин и метионин, которых чаще всего недостает в организме, после соединения с сахарами становятся недоступными для пищеварительных ферментов и, следовательно, не усваиваются.

Чтобы оценить вред или пользу меланоидинов, необходим комплексный подход к проблеме, учитывающий все факторы и детали, часто взаимоисключающие. Сделать это трудно. Но есть другой путь. Сегодня для реакции Майара найдены катализаторы и ингибиторы. Иными словами, реакция Майара становится управляемой, поэтому вполне возможно получать в процессе кулинарной обработки стандартные продукты, только с полезными для организма свойствами.

Выводы:

.        Образование меланоидиновых пигментов может быть желательно или нежелательно, также как и развитие запаха - в зависимости от вида продукта.

.        Может иметь место потеря незаменимых аминокислот (особенно лимитирующих), т. е. потеря питательной ценности продукта.

.        Есть единичные публикации, в которых указывается, что некоторые продукты реакции Майяра могут быть мутагенными. В частности, приводятся данные о мутагенности некоторых продуктов реакции D-глюкозы и D-фруктозы с L-лизином или L-глутаминовой кислотой. Эффект был продемонстрирован на примере сальмонеллы ТА-100, однако в большинстве работ мутагенность продуктов оспаривается.

.        Продукты реакций карамелизации и меланоидинообразования и образование ароматических компонентов, сопутствующее этим реакциям, имеют большое значение во многих пищевых производствах для получения продуктов с красивым цветом и характерным ароматом (хлебопечение, производство безалкогольных напитков и пива, кондитерских изделий и др.). В иных случаях (например, при кислотном способе получения глюкозы) образование таких продуктов характеризуется как недостаток, поскольку ухудшает качество получаемых сиропов и ведет к определенной потере важных компонентов перерабатываемого сырья.

.        Промежуточные продукты реакции Майяра обладают антиокислительной активностью. Есть данные на модельных средах, что продукты реакции потемнения глюкозы и глицина понижают степень поглощения кислорода и образования пероксидов из производных линоленовой кислоты. Это объясняется тем, что промежуточные продукты распада фруктозоамина, соединяясь с пероксидами или свободными радикалами, замедляют окислительный процесс. Соответствующее регулирование реакции Майяра в ходе производства пищевого продукта положительно скажется на его качестве в процессе хранения.

.        Помимо того, что реакция Майяра сокращает содержание аминокислот, есть доказательства, что образовавшиеся продукты затрудняют усвоение белков. Влияние продуктов реакции Майяра на эффективность использования белка можно показать на следующем примере. У крыс, содержавшихся на казеиновом рационе, включавшем 0,2% смеси прореагировавших глюкозы и глицина, наблюдалось замедление роста на 40%. Норма удерживаемого с пищей азота падала с 49 до 31 %. Промежуточные продукты реакции Майяра, приведшие к таким последствиям, идентифицированы не были.

аминокислота меланоидин ингибирование пищевой

Список использованной литературы

1.  Майяр, Луи Камилл

2.      Сапронов А.Р., Колчева Р.А. Красящие вещества и их влияние на качество сахара. М.: Пищевая промышленность, 1975. 349 с.

.        Пищевая химия/ Нечаев А.П. [и др.]. СПб.: ГИОРД, 2007. 640 с.

.        Ратушный А.С. Технология продукции общественного питания (Т.1): учеб. и учеб. пособия для студ. высш. уч. зав. М.: Мир, 2003. 351 с.

.        Скурихин И.М., Нечаев А.П. Все о пище с точки зрения химика: справ. изд. М.: Высш. шк. 1991. 288 с.

.        Космачевская О.В. Вездесущая реакция Майяра // Химия и жизнь, 2012, №2. С. 9-21.

.        Давидянц С.Б. Темное царство меланоидинов // Химия и жизнь, 1980, №3. С. 44-48