Материал: Математическое моделирование температурных полей при теплотехнических процессах

Внимание! Если размещение файла нарушает Ваши авторские права, то обязательно сообщите нам

Математическое моделирование температурных полей при теплотехнических процессах

МИНИСТЕРСТВО ОБРАЗОВАНИЯ РЕСПУБЛИКИ БЕЛАРУСЬ

УЧРЕЖДЕНИЕ ОБРАЗОВАНИЯ

ГОМЕЛЬСКИЙ ГОСУДАРСТВЕННЫЙ ТЕХНИЧЕСКИЙ

УНИВЕРСИТЕТ ИМЕНИ П.О. СУХОГО.

Энергетический факультет

Кафедра « Информационные технологии »





Курсовая работа

по дисциплине « Информатика »

на тему: « Математическое моделирование температурных полей при теплотехнических процессах »



Исполнитель: студентка гр. ТЭ-22

Архипович Т.А.

Руководитель: преподаватель

Ильющенко Г.Л.



Гомель

Содержание

Введение

. Основные подходы к математическому моделированию решений дифференциальных краевых задач

.1 Моделирование теплопередачи в твердых телах

.2 Метод конечных разностей

.3 Метод конечных элементов

. Алгоритмический анализ задачи

.1 Постановка задачи

.2 Исходные данные

.3 Графическая схема алгоритма метода прогонки

.4 Обобщенная графическая схема алгоритма решения задачи

. Аппаратное и программное обеспечение

.Математическое моделирование температурных полей

Заключение

Список литературы

Введение

Вычислительная техника используется сейчас не только в инженерных и экономических науках, но и в таких традиционно нематематических специальностях, как медицина, лингвистика, психология и др. В связи с этим можно констатировать, что применение ЭВМ приобрело массовый характер. Для решения производственных задач требовалось много времени и сил, но после Научно-Технической Революции, которая привела к развитию информационных технологий, время для этих задач стало уменьшаться.

Использование ПЭВМ в решении производственных задач позволяет повысить эффективность труда, производства и многих других показателей. Но и как раньше, для широкого применения ЭВМ в разработке производственного продукта требуются высоко квалифицированные кадры, от которых требуются знания в автоматизации труда. Возникла многочисленная категория специалистов - пользователей ЭВМ, для которых необходима литература по дисциплинам, непосредственно связанным с применением вычислительной техники.

Основной такой дисциплиной является вычислительная математика. Она изучает методы построения и исследования численных методов решения математических задач, которые моделируют различные процессы.

Проектирование - сложный иерархический процесс, включающий множество взаимосвязанных стадий и этапов. Математическое моделирование технических объектов занимает центральное место в построении эффективной технологии автоматизированного проектирования. Инженер-проектировщик должен иметь четкое представление о видах математических моделей и способах их построения, режимах функционирования технических объектов и методах их моделирования, разработке алгоритмических моделей и их эффективной реализации с использованием современных средств вычислительной техники.

При создании машин, технических комплексов и других объектов широко используется моделирование. Как средство познания и преобразования материального мира моделирование применяется в экспериментальных и теоретических научных исследованиях.

Моделирование представляет собой процесс замещения объекта исследования некоторой его моделью и проведение исследований на модели с целью получения необходимой информации об объекте. Модель - это физический или абстрактный образ моделируемого объекта, удобный для проведения исследований и позволяющий адекватно отображать интересующие исследователя физические свойства и характеристики объекта. Удобство проведения исследований может определяться различными факторами: легкостью и доступностью получения информации, сокращением сроков и уменьшением материальных затрат на исследование и др.

Различают моделирование предметное и абстрактное. При предметном моделировании строят физическую модель, которая соответствующим образом отображает основные физические свойства и характеристики моделируемого объекта. При этом модель может иметь иную физическую природу в сравнении с моделируемым объектом. Если модель и объект одной и той же физической природы, то моделирование называется физическим.

Физическое моделирование сложных технических систем сопряжено с большим временными и материальными затратами.

Абстрактное моделирование связано с построением абстрактной модели. Такая модель представляет собой математические соотношения, графы, схемы, диаграммы и т. п. Наиболее мощным и универсальным методом абстрактного моделирования является математическое моделирование. Оно широко используется как в научных исследованиях, так и в проектировании.

Математическое моделирование позволяет посредством математических символов и зависимостей составить описание функционирования технического объекта в окружающей внешней среде, определить выходные параметры и характеристики, получить оценку показателей эффективности и качества, осуществить поиск оптимальной структуры и параметров объекта. Применение математического моделирования при проектировании в большинстве случаев позволяет отказаться от физического моделирования, значительно сократить объемы испытаний и доводочных работ, обеспечить создание технических объектов с высокими показателями эффективности и качества. одним из основных компонентов системы проектирования в этом случае становится математическая модель.

Математическая модель - это совокупность математических объектов и отношений между ними, адекватно отображающих физические свойства создаваемого технического объекта. В качестве математических объектов выступают числа, переменные, множества, векторы, матрицы и т. п. Процесс формирования называется математическим моделированием. В конструкторской практике под математическим моделированием обычно понимается процесс построения математической модели, а проведение исследований на модели в процессе проектирования называют вычислительным экспериментом. Такое деление удобно для проектировщиков и функционально вполне обосновано, поэтому в дальнейшем будем придерживаться этой терминологии.

Для осуществления вычислительного эксперимента на ЭВМ необходимо разобрать алгоритм реализации математической модели.

Алгоритм - это предписание, определяющее последовательность выполнения операций вычислительного процесса. Алгоритм автоматизированного проектирования представляет собой совокупность предписаний, обеспечивающих выполнение операций и процедур проектирования, необходимых для получения проектного решения. Для наглядности алгоритмы чаще всего представляют в виде схем или графов. Алгоритм, записанный в форме, воспринимаемой вычислительной машиной, представляет собой программную модель. Процесс программирования называют программным моделированием.

1. Основные подходы к математическому моделированию решений дифференциальных краевых задач

.1 Моделирование теплопередачи в твердых телах

При построении математических моделей тепловых систем на микроуровне дискретизацию объектов осуществляют посредством методов сеток.

Рис.1 Объект, представляющий собой изотропное тело.

На рис.1 показан пример дискретизации двумерного теплового объекта - твердого тела, температура которого зависит от времени t и геометрических координат x и y. Сетка, наложенная на твердое тело, выделяет дискретные элементы в виде прямоугольных пластин. Характерная особенность этих элементов заключается в том, что каждый из них обладает одновременно инерционными и диссипативными свойствами. Следовательно, выделенные дискретные элементы тепловой системы являются сложными.

Задача анализа теплопередачи в твердом теле на микроуровне моделирования заключается в определении температуры в узлах сетки. На ранних стадиях проектирования часто рассматривают одномерный процесс теплопередачи. Так, при анализе теплонапряженности дисковых фрикционных муфт и тормозов автомобилей, тракторов, станков и др. машин пренебрегают теплопередачей в радиальном и окружном направлениях, анализируя лишь изменение температуры по толщине дисков.

Одномерными можно также считать задачи анализа теплопередачи через стенки теплообменников, корпусных деталей машин, стены зданий и сооружений и др. деталей технических объектов. Математические модели таких объектов можно привести к моделям макроуровня.

Исходная математическая модель микроуровня представляет собой дифференциальные уравнения в частных производных, описывающие процессы, происходящие в моделируемом объекте, и граничные условия. Рассмотрим процесс преобразования этой дифференциальной краевой задачи к задаче макроуровня, математической моделью которой является система обыкновенных дифференциальных уравнений.

На рис.2 представлена динамическая модель одномерной тепловой системы, используемая для анализа изменения температуры вдоль координаты х. Дискретные элементы представляют собой пластины (слои). Узлы сетки, в которых определяется температура, расположены на поверхностях этих пластин. Узлы отображены на оси х и обозначены цифрами. Пронумеруем узлы от 0 до n+1. Узлы с номерами 0 и n+1 называются граничными, а узлы вектора (1,п) - внутренними. Количество слоев N = n+1.

Рис.2. Дискретизация одномерного теплового объекта


Дифференциальное уравнение теплопроводности Фурье для одномерной сплошной среды

 (1)

где Т - температура; ρ - плотность; λ - коэффициент теплопроводности; С - удельная теплоемкость материала; GQ -- количество тепловой энергии, генерируемой или поглощаемой в единицу времени в единице объема. При анализе теплопередачи в твердых телах без фазовых превращений можно принимать GQ = 0.

Это уравнение описывает физические свойства системы с распределенными параметрами. Для перехода к системе с сосредоточенными параметрами, получаемой путем дискретизации сплошной среды, используем конечно-разностную аппроксимацию второй частной производной

(2)

где l - шаг дискретизации по оси х.

Введем обозначения:

 (3)

 (4)

 (5)

где i - номер узла сетки. Тогда выражение (2) можно записать в виде

 (6)

Подставив выражение (6) в уравнение (1), получим систему обыкновенных дифференциальных уравнений

 (7)

где cTi, μTi - соответственно теплоемкость и коэффициент теплового сопротивления i-го дискретного элемента

, li - соответственно объем и длина i-го дискретного элемента. Система уравнений описывает физические свойства твердого тела при одномерной теплопередаче. Решение этих уравнений позволяет определить изменение температуры Тi(t) во всех внутренних узлах твердого тела  в переходном процессе неустановившейся телепередачи, обусловленном изменением воздействий на твердое тело окружающей его внешней среды.

Проанализируем структуру дифференциального уравнения, записанного относительно производной температуры i-гo внутреннего узла системы, кроме узлов с номерами i=1 и i=п. Уравнение для i-го узла можно записать в виде (9)

(9а)

Эти 3 выражения представляют собой компонентные уравнения диссипативных элементов i-гo и (i+1)-го слоев твердого тела (дискретных элементов).

Граничные узлы с номерами i=0 b i=n+1 принадлежат одновременно твердому телу и внешней среде. Эти узлы находятся на граничной поверхности твердого тела, посредством которой осуществляется его взаимодействие с внешней средой. По аналогии с другими системами, рассмотренными в предыдущих параграфах данной главы, отнесем эти узлы к внешней среде, генерирующей на граничных поверхностях внешние воздействия на объект.

Рис. 3. Орграфы тепловой системы:

а - при источниках внешних воздействии типа потока; б - при теплоизолированной правой границе и источнике типа потока на левой границе; в - при источниках внешних воздействий типа потенциала

 

С учетом изображенного на рис. 3, а построен орграф тепловой системы. При этом сделано предположение, что направление теплового потока в твердом теле совпадает с положительным направлением оси х. Узлы орграфа 1...4 отображают соответствующие внутренние узлы твердого тела 1...4 (см. рис.2), а узлы, отмеченные звездочкой, т. е. узлы 1* и 2*, отображают граничные узлы i=0 и i=5, соответственно. Все узлы орграфа соединены между собой ветвями диссипативных элементов с обозначениями параметров этих элементов μТi. Ветви, соединяющие узлы орграфа 1...4 с базовым узлом 0, не принадлежат инерционным элементам, как это было в механических, гидравлических и других системах. Это обусловлено тем, что дискретные элементы тепловой системы сложные, обладающие одновременно инерционными и диссипативными свойствами, отобразить которые отдельными элементами невозможно. Формальное изображение этих ветвей на орграфе, с одной стороны, подчеркивает наличие инерционных свойств у тепловых объектов, а с другой, - отображает связь фазовых координат типа потока Тi, характеризующих состояние узлов орграфа, с системой отсчета этих координат, начало которой отображает базовый узел.

Рассмотрим условия равновесного состояния граничных узлов 1* и 2*. Для узла 1* условие равновесия потенциалов имеет вид

(10)

а для узла 2*

(11)

где ФВ1, ФВ2 - тепловые потоки, генерируемые соответственно

на левой и правой граничных поверхностях; Тв1 , Тв2 - температуры граничных узлов 1* и 2* (т. е. узлов 0 и 5 на рис. 1).

Поскольку выражение (10) и (11) аналогичны выражениям (9а) , то система уравнений (7) с учетом уравнений (9) может быть записана в виде

(12)

Составим матрицу инциденций, соответствующую орграфу на рис. 3,а. Матрица А приведена в таблице 1

Таблица 1.


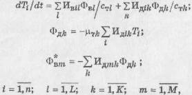
Принимая во внимание, что кроме внешних воздействии типа потока (температуры граничных узлов или окружающей среды) к твердому телу могут быть приложены воздействия типа потенциала (генерируемые на граничной поверхности тепловые потоки, например, в результате трения соприкасающихся тел), и используя матрицу инциденций:

(13), (14), (15)

где Ивil,Идik, Идтk - инциденторы (элементы матрицы А),

отображающие инцидентность ветвей источников потенциалов и ветвей диссипативных элементов соответствующим узлам орграфа; L -количество источников потенциалов ФB ; К - количество диссипативных элементов тепловой системы; М - количество источников внешних воздействии типа потока Твт .