Однако, рассмотренных выше данных недостаточно для формирования полной картины экономической ситуации в сфере энергоносителей. Следует учитывать фактор геологоразведки, который также влияет на запасы нефти. Таким образом, рассмотрим инвестиционные потоки в сферу геологоразведки, для оценки масштабов работ по разведыванию месторождений традиционных источников энергии.
В соответствие с данными Международного энергетического агентства ожидается, что суммарные расходы на разведку и добычу нефти будут постоянно расти от 700 млрд. долл. в 2013 г., до более 850 млрд. долл. в 2030 году. Следует обратить вниманием на то, что более 80% инвестиций потребуется для поддержания производственных мощностей на достигнутом уровне, а именно для компенсирования падения добычи на существующих месторождениях для обеспечение потребителей энергией на современном уровне. Таким образом, по прогнозам МЭА, из 11,3 трлн. долларов совокупных инвестиций в период с 2013 до 2030 г. 2,9 трлн. долларов, которые составляют 26%, будут реализованы в странах ОПЕК. Именно такой суммы, по мнению экспертов из МЭА будет достаточно, чтобы ОПЕК смог обеспечить 46% долю в обще мировом объёме производства углеводородов.
По данным Gulf News ОАЭ занимающие второе место по объёмам запасов нефти в регионе Ближнего Востока, собираются увеличить инвестиции в проекты по разведке и добыче нефти и газа на 30%, до 202 млрд дирхамов ($55 млрд). Объёмы инвестиций Катара вырастут на 11%, до 36,7 млрд дирхамов ($10 млрд), Кувейта - до 147 млрд дирхамов ($40 млрд). Оман собирается увеличить объёмы добычи нефти до 800 тысяч баррелей в день, Бахрейн сосредоточится на бурении глубоких скважин.
Такой инвестиционный прогноз даёт возможность утверждать, что в рассматриваемом регионе будут продолжаться активные работы по геологоразведке для сохранения производства нефти на уровне, достаточном для обеспечения энергией потребителя. Более того, можно утверждать, что потребление нефти в арабских странах будет расти, поскольку с каждым годом страны увеличивают свои производственные мощности, что требует увеличения потребления электроэнергии.
Таким образом из всего вышесказанного можно сделать вывод, что геологоразведка на нефть и газ будет продолжаться, по этой причине возможно увеличение разведанных запасов нефти и газа, что в свою очередь приведёт к увеличению сроков их возможной эксплуатации.
Так, рассмотрев зависимость от традиционных источников, оценив вероятное время истощение месторождений с учётом инвестиций в геологоразведку, можно сделать вывод, что для создания базы устойчивого развития на продолжительный период времени большинство арабских стран нуждаются в поиске альтернативных путей развития энергетики. Однако, помимо экономических факторов, стоит учитывать и глобальные последствия активного использования традиционных видов топлива, которые оказывают непосредственное влияние на климатическую обстановку в мире.
топливо нефть экология инвестирование
Следует обратить внимание, что помимо энергетической и экономической зависимости арабские страны должны придерживаться т.н. целей развития тысячелетия, которые были приняты 193 государствами-членами ООН. Так, рассмотрим каким образом использование традиционных видов топливо влияет на экологию. Особое внимание следует уделить последствиям, которые несёт активное использование нефти в качестве основного источника энергии. Так, использование нефти влияет на весь комплекс морфологических, физических и биологических свойств почвы, определяющих ее плодородные и экологические функции. Изменение физических свойств почвы при загрязнении приводит к вытеснению воздуха нефтью, нарушению поступления воды, питательных веществ, что является главной причиной торможения развития растений и их гибели. Почвы, насыщенные нефтепродуктами, теряют способность впитывать и удерживать влагу, для них характерны более низкие значения гигроскопической влажности, водопроницаемости, влагоёмкости по сравнению с фоновыми аналогами. Также нефть и нефтепродукты являются наиболее распространёнными загрязняющими веществами в Мировом океане. Основными источниками загрязнения нефтью являются: регламентные работы при обычных транспортных перевозках нефти, аварии при транспортировке и добычи нефти, промышленные и бытовые стоки. Наибольшие потери нефти связаны с ее транспортировкой из районов добычи. Аварийные ситуации, слив за борт танкерами промывочных и балластных вод, - все это обуславливает присутствие постоянных полей загрязнения на трассах морских путей. Согласно пессимистическому прогнозу известного французского океанолога Жака Кусто, есть опасение, что к концу XXI в, жизнь в океане вообще исчезнет, если крупные державы с развитыми промышленностью и туризмом не прекратят отравление морей.
Вторым важным последствием, вызванным использованием нефтепродуктов, является изменение климата. Так, одна из целей тысячелетия ООН заключается в обеспечении экологически устойчивого развития, что частично направлено на сокращение выбросов углекислого газа в атмосферу. Проблема выброса большого количества углекислого газа в первую очередь связана с тем, что двуокись азота является основным фактором, влияющим на изменение температуры Земли.
Увеличение двуокиси азота в атмосфере происходит за счёт выделения его в результате хозяйственной деятельности: сжигания органических ископаемых топлив, таких как каменный уголь, нефть, природный газ - 7,91 Гт С/год в 2004 г.
Рисунок 6. Индустриальные выбросы СО2 (ГТО С/год) в атмосферу в 1900-2000 гг. и темпы роста выбросов (среднее скользящее за 5 лет - % в год) в 1960-2000 гг.
Видно, что индустриальные выбросы постоянно росли со спадами. Темпы роста выбросов максимально составляли 8% в год. Значительный спад темпа роста был после 1967 г., резкий подъем - после 1983 г. Следующий спад был после 1987 г. Последний сильный спад темпа роста выбросов происходил после 1997 г. Он связан с началом перехода ряда развитых стран на энергосбережение и с подготовкой к выполнению Рамочной конвенции ООН о стабилизации климата.
Таким образом, одна из проблем использования традиционных источников энергии связана именно с выбросом большого количества углекислого газа в атмосферу. Именно по этой причине был разработан ряд протоколов, которые рассчитаны на предотвращение или по крайней мере снижение выбросов двуокиси азота в атмосферу.
Рисунок 7. Эмиссия двуокиси азота.
Ключевым документом, который устанавливает действия промышленно развитых стран для предотвращения глобального изменения климата - Рамочная конвенция ООН об изменении климата, которая была упомянута ранее. В дополнении к ней было принято международное соглашение - Киотский протокол, который по сей день является основным документом, регулирующим квоту на выброс количества двуокиси азота в атмосферу. Таким образом, по Киотскому протоколу перед странами стоит обязательство по сокращению выбросов парниковых газов в атмосферу.
Одним из путей достижения данной цели является диверсификация использования традиционных топливных ресурсов, поскольку различные виды топлива обладают разным уровнем эмиссии парниковых газов в атмосферу. Так, в порядке убывания уровня эмиссии уголь обладает наиболее высокой степенью выбросов углекислого газа в атмосферу. На втором месте располагается нефть, уровень эмиссии которой ниже угля, однако выше чем у природного газа, который обладает наиболее низким уровнем выбросов в атмосферу. Если говорить о глобальном снижении выбросов в атмосферу, то следует в первую очередь отказаться от использования угля, а также стремиться заменить использование нефти другими видами топлива, где наилучшим вариантом являются альтернативные виды топлива, такие как солнечная энергия или энергия ветра, поскольку обладают чрезвычайно низким уровнем выбросов в атмосферу.
Таким образом, из всего сказанного выше можно сделать вывод, что регион обладает высокой экономической и энергетической зависимостью от традиционных энергоресурсов, что требует диверсификации их использования, поскольку по самым оптимистичным прогнозам традиционных видов топлива хватит в среднем лишь на 100 лет. Более того, второй проблемой использования традиционных видов энергии является проблема, связанная с изменение климата в мире, что также требует изменения структуры топливных ресурсов и постепенного снижения использования энергетических ресурсов с высоким уровнем эмиссии парниковых газов. Рассмотренное выше даёт чёткое представление о том, что в регионе наблюдается повышенный спрос на альтернативную энергетику, однако вопрос заключается в том, каким потенциалом для ее развития обладает Ближний Восток. Для этого требуется рассмотреть какими природными ресурсами необходимыми для развития альтернативной энергетики обладает исследуемый регион.
2. BP Energy Outlook 2015
3. IMF:World Economic Outlook 2013
. International Energy Agency. World Energy Outlook 2010.
. International Energy Agency. World Energy Outlook 2011
. OPEC Annual report 2010- 2013
7. Renewables 2015 Global Status Report.- REN 21, 2015
. Renewable capacity statistics 2016. - IRENA, 2016.
9. Renewable Energy Prospects: United Arab Emirates.- Masdar Institute of Science and Technology, 2015.
. Uranium 2014. Resources, Production and Demand.- OECD, 2014.
. World Energy Outlook, International Energy Agency/OECD, Paris, 2007.
12. World Development Indicators 2013-2016
13. Solar in Egypt: New feed-in-tariff scheme to develop PV//PV Insider, 2015.
14. The Montreal Protocol on Substances That Deplete the Ozone Layer (ozone.unep.org)
. Kyoto Protocol to the United Nations Framework Convention on Climate Change (unfccc.int)
16. Цели развития тысячелетия: доклад за 2015.
17. Банков Н. Александрова И. Производство и потребление топливно-энергетических ресурсов // Мировая экономика на рубеже веков. №9, 2011
18. Беккин Р.И. Исламская экономическая модель и современность.- М.: Издательский дом Марджани, 2010.
. Высоцкий В.И. Дмитриевский А.Н Мировые ресурсы нефти и газа и их освоение. // Труды РГУ нефти и газа им. И.М. Губкина №1 (266), 2012.
. Гуриев С.М., Сонин К. И Экономика "ресурсного проклятия"// Вопросы экономики. 2008. № 4.
. Давыдова С.Л., Тагасов В.И. Нефть и нефтепродукты в окружающей среде: Учеб. пособие. - М.: Изд-во РУДН, 2014.
. Лисичкин С.М. Энергетические ресурсы и нефтегазовая промышленность мира.- М.: Недра, 1974.
. Логинов О.Н. Биотехнологические методы очистки окружающей среды от техногенных загрязнений. Уфа: "Реактив", 2012.
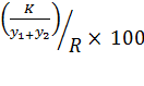
. Доля совокупного дохода от экспорта нефти и нефтепродуктов от ВВП
X=

где Х- Доля экспорта нефти и нефти продуктов от ВВП;
![]()
- Доля
нефти в совокупном экспорте
![]()
- Доля
нефтепродуктов в совокупном экспорте
K- Доход от экспорта в год
R - Годовой ВВП
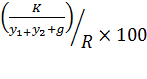
2. Доля совокупного дохода от экспорта нефти, нефтепродуктов и газа от ВВП
=

где Х- Доля экспорта нефти и нефти продуктов от ВВП;
![]()
- Доля
нефти в совокупном экспорте
![]()
- Доля
нефтепродуктов в совокупном экспорте
g- Доля экпорта газа в совокупном экспорте
K- Доход от экспорта в год
R - Годовой ВВП