Материал: ЛР4-5

Внимание! Если размещение файла нарушает Ваши авторские права, то обязательно сообщите нам

Лабораторна робота №4

Ознайомлення з пакетом Statistics Toolbox в програмному середовищі MATLAB

Мета: Навчитися застосовувати функції пакету Statistics Toolbox для обробки експериментальних даних.

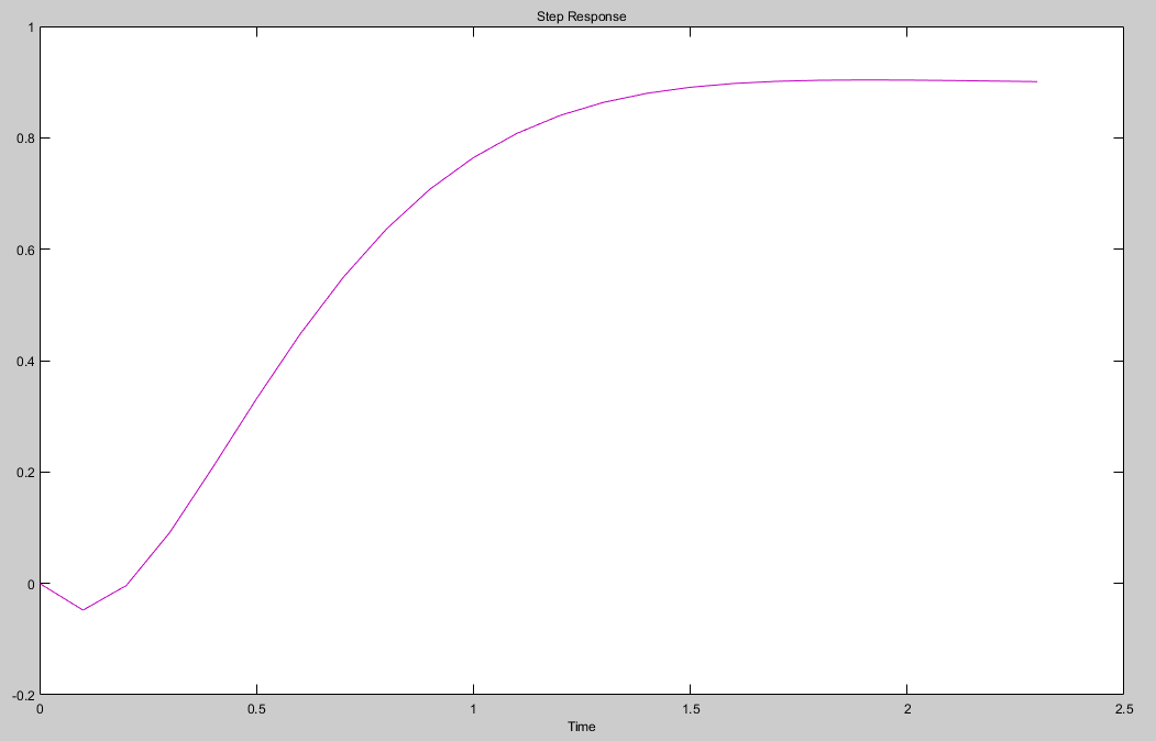
>> X=[0.45 0.49 0.6 0.61 0.62 0.63];

Y=[0.53 0.52 0.54 0.55 0.56 0.58];

%clc polynomum a)

a=polyfit(X,Y,2);

%clc polynomum b)

b=polyfit(X,Y,3);

x=0.4:0.05:0.7;

y1=polyval(a,x);

y2=polyval(b,x);

figure(1)

>> plot(x,y1,'-r','lineWidth',3)

>> hold on

>> plot(x,y2,'-b','LineWidth',3)

>> %experiment

plot(X,Y,'o','LineWidth',2,...

'MarkerEdgeColor','k',...

'MarkerFaceColor','y',...

'MarkerSize',8)

>> legend('y1=a1+a2*x+a3*x^2','y2=b1+b2*x+b3*x^2+b4*x^3','experiment',4)

Warning: Using an integer to specify the legend location is not

supported. Specify the legend location with respect to the axes

using the 'Location' parameter.

> In legend>process_inputs (line 499)

In legend>make_legend (line 303)

In legend (line 254)

>> set(gca,'Box','on','LineWidth',2)

>> title('графічне вирішення','FontSize',14)

>> xlabel('X','FontSize',14)

>> ylabel('Y','FontSize',14)

>> grid on

>> gam1=sqrt(1-(sum((Y-polyval(a,X)).^2))/(sum((Y-mean(Y)).^2)));

>>

>> gam2=sqrt(1-(sum((Y-polyval(b,X)).^2))/(sum((Y-mean(Y)).^2)));

>>

>> gam2=

gam2=

Error: Expression or statement is incomplete or incorrect.

>> [b1,S]=polyfit(X,Y,3)

b1 =

30.0337 -43.4805 20.7114 -2.7222

S =

R: [4x4 double]

df: 2

normr: 0.0034

>> x1=0.4:0.05:0.7;

>> y22=polyval(b1,x);

>> [y0,delta]=polyconf(b1,x1,S,0.05);

>> ymin=y0-delta;

>> ymax=y0+delta;

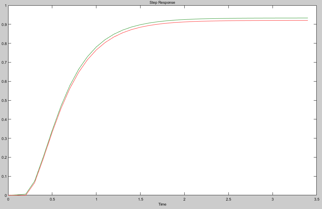
>> figure(2)

>> plot(x1,y22,'-b','LineWidth',3)

>> hold on

>> plot(x1,ymin,'--m','LineWidth',2)

>> plot(x1,ymax,'--r','LineWidth',2)

>> %experiment

>> plot(X,Y,'o','LineWidth',2,...

'MarkerEdgeColor','k',...

'MarkerFaceColor','y',...

'MarkerSize',8)

>> legend('polinom b1',...

'нижня границя', 'верхня границя', 'експеремент',2)

Warning: Using an integer to specify the legend location is not

supported. Specify the legend location with respect to the axes

using the 'Location' parameter.

> In legend>process_inputs (line 499)

In legend>make_legend (line 303)

In legend (line 254)

>> set(gca,'Box','on','LineWidth',2)

>> title('доврчий інтервал полінома b1(x1)','FontSize',14)

>> xlabel('X','FontSize',14)

>> ylabel('Y','FontSize',14)

>> grid on

>>

Контрольні питання

  1. Для чого використовується метод найменших квадратів?

На даний момент досить часто зустрічаються задачі по обробці реальних кількісних даних, що отримані в результаті можливих наукових дослідів, експериментів чи зміни технологічних параметрів процесів, часто використовують метод найменших квадратів для апроксимації даних.

  1. Який найпростіший вигляд рівняння моделі об’єкта?

y = a1 + a2x + a3x2;

y = b1 + b2x + b3x2 + b4x3;

  1. Яка основна ідея методу найменших квадратів?

Даний метод дозволяє по експериментальним даним підібрати таку аналітичну (апроксимуючу) функцію, яка б максимально наближалась до еталонних точок.

  1. Що називається лінією регресії?

Лінія регресії – це функція, яка пов'язує середні значення Х та Y.

  1. Як вибрати степінь полінома лінії регресії при її створенні засобами Matlab?

Для підбору коефіцієнтів полінома n-ї степені за допомогою метода найменших квадратів в Matlab використовується функція:

p = polyfit(x,y,n)

де р – масив коефіцієнтів полінома;

х – масив абсцис експериментальних точок;

у – масив ординат експериментальних точок;

n – степінь полінома.

Якщо відомі коефіцієнти, то значення полінома можна обрахувати за допомогою функції:

y = polyval(p,x)

Лабораторна робота №5

Ознайомлення з пакетом SystemIdentificationTool в програмному середовищі MATLAB.

Мета: Навчитися застосовувати функції пакету SystemIdentificationTool для отримання математичних моделей об’єктів.

попередня обробка сигналу видаливши з нього постійну складову

Розділимо масив даних mydatad на два масиви

Математична модель типу ARX: (441)

Математична модель типу ARMAX:

Математична модель типу OE:

Математична модель типу BJ:

Контрольні питання:

  1. Дайте визначення передаточної функції.

Передаточна функція (англ. Transfer function) — функція, що описує залежність виходів деякої динамічної лінійної стаціонарної системи від її входів.

  1. Розкажіть про математичну модель кореляційнго типу.

Кореляційний аналіз — це статистичне дослідження (стохастичної) залежності між випадковими величинами (англ. correlation — взаємозв'язок). У найпростішому випадку досліджують дві вибірки (набори даних), у загальному — їх багатовимірні комплекси (групи).[1]

Мета кореляційного аналізу — виявити чи існує істотна залежність однієї змінної від інших.

Головні завдання кореляційного аналізу:

оцінка за вибірковими даними коефіцієнтів кореляції

перевірка значущості вибіркових коефіцієнтів кореляції або кореляційного відношення

оцінка близькості виявленого зв'язку до лінійного

побудова довірчого інтервалу для коефіцієнтів кореляції.

  1. Розкажіть про математичну модель типу ARX.

Модель ARX

  1. Розкажіть про математичну модель типу ARMAX.