Материал: ЛР11_оптика

Внимание! Если размещение файла нарушает Ваши авторские права, то обязательно сообщите нам

Вопросы:

23. Что такое фоторезистор и как меняются его свойства под действием света?

Фоторезисторы — это резисторы, у которых меняется сопротивление в зависимости от действия света на светочувствительную поверхность. Сопротивление не зависит от величины напряжения, в отличие от обычного резистора. В основном фотосопротивления применяются для индикации или отсутствия света.

В основном фотосопротивления применяются для индикации или отсутствия света

11. Законы фотоэффекта (законы Столетова)

1-й закон фотоэффекта (закона Столетова): Сила фототока насыщения прямо пропорциональна интенсивности светового излучения. При неизменном спектральном составе электромагнитного излучения, падающего на фотокатод, фототок насыщения пропорционален энергетической освещенности катода (иными словами, число фотоэлектронов, выбиваемых из катода в единицу времени прямо пропорционально интенсивности излучения.

2-й закон фотоэффекта: Максимальная кинетическая энергия выбиваемых светом электронов возрастает с частотой света и не зависит от его интенсивности.

3-й закон фотоэффекта: Для каждого вещества при определённом состоянии его поверхности существует граничная частота света, ниже которой фотоэффект не наблюдается. Эта частота и соответствующая ей длина волны называется красной границей фотоэффекта.

Протокол наблюдений:

Таблица 11.1

Разм

1

2

 

3

4

5

6

7

8

θi

 

 

 

 

 

 

 

 

 

 

 

 

I

А

2.5

3

 

3.5

4

4.5

5

5.5

6

0.1

 

 

 

 

 

 

 

 

 

 

 

 

U

В

1

1.7

 

2.4

3

3.6

4.2

4.8

5.4

0.1

 

 

 

 

 

 

 

 

 

 

 

 

P=IU

Вт

2.5

5.1

 

8.4

12

16.2

21

26.4

32.4

-

 

 

 

 

 

 

 

 

 

 

 

 

θp

Вт

0.35

0.47

 

0.59

0.7

0.81

0.92

1.03

1.14

-

 

 

 

 

 

 

 

 

 

 

 

 

Цвет

 

 

Желтый

 

 

 

 

 

 

 

светофильтра

 

 

 

 

 

 

 

Красный

 

 

 

 

 

 

 

 

 

 

 

 

 

 

λ

нм

 

600

 

 

 

 

665

 

 

 

 

 

 

 

 

 

 

 

 

 

 

 

 

 

 

 

 

 

 

 

 

 

 

tн

°С

920

1160

 

1310

1500

1600

1740

1820

1940

-

 

 

 

 

 

 

 

 

 

 

 

 

Tн=tн+273

К

1193

1433

 

1583

1773

1873

2013

2093

2213

16.812

 

 

 

 

 

 

 

 

 

 

 

 

T

К

1197.

1440.17

 

1591.75

1785.19

1886.61

2028.7

2110.

2232.

-

 

 

97

 

 

 

 

 

3

01

02

 

θT

К

16.95

16.98

 

17

17.04

17.06

17.08

17.09

17.1

-

 

 

 

 

 

 

 

 

 

 

 

 

a*10-12

-

1.21

1.19

 

1.31

1.18

1.28

1.24

1.33

1.31

-

θa*10-13

-

2.39

1.65

 

1.48

1.14

1.1

0.96

0.95

0.86

-

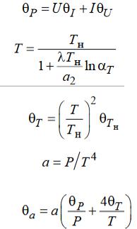
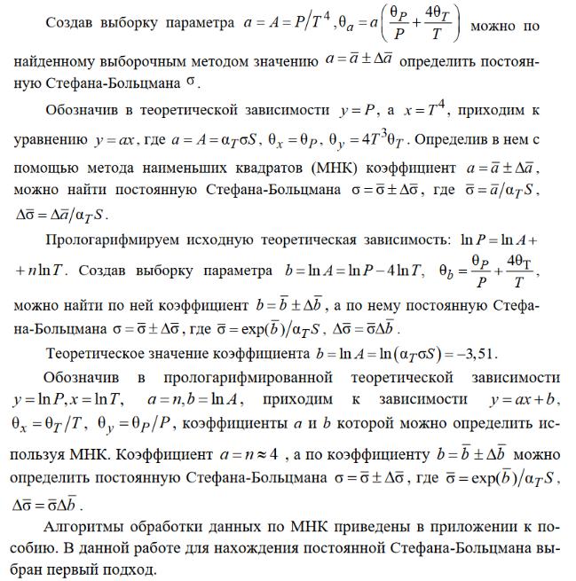
Формулы:

Обработка результатов:

Заполним таблицу 11.1 по формулам. Найдем ɑ±Δɑ:

a*10-12

1.21

1.19

1.31

 

1.18

1.28

1.24

1.33

1.31

Упорядочим выборку по возрастанию:

 

 

 

 

 

a*10-12

1.18

1.19

1.21

1.24

1.28

1.31

1.31

1.33

Очевидных промахов, систематических и грубых погрешностей не обнаружено. Найдем среднее значение:

a=

Σa

=

1.18+1.19+1.21+1.24+1.28+1.31+1.31+1.33 =1.26

4

 

¯

N

 

8

Вт/К

 

 

 

Найдем среднеквадратичное отклонение:

 

 

Σ(aa

)2

 

 

 

 

 

 

 

 

 

 

 

0.0245

 

4

 

 

¯

i

 

 

 

 

 

Sa=

 

 

 

=

 

(8 7)

≈0.021

Вт/К

 

 

N (N −1)

 

 

Для числа измерений N=8 и точности P=0.95 равен коэффициент Стьюдента равен 2.4:

a=t p,N Sa=2.4 0.021=0.0504 Вт/К4

Найдем погрешность по размаху выборки:

aβ =R β p , N=(1.33−1.18) 0.29=0.0435 Вт/К4

a≈Δ aβ

Найдем среднее значение приборной погрешности

θa*10-13

 

 

2.39

1.65

1.48

1.14

1.1

 

0.96

 

0.95

 

0.86

¯

Σθ a

 

 

2.39+1.65+1.48+1.14 +1.1+0.96+0.95+0.86

=1.32(. 10

−13

).

Вт/К

4

 

θ a=

N

=

8

 

 

 

 

 

 

Найдем полную погрешность:

a¯=a2 +θ 2a =(0.0504 10−12)2 +(1.32 10−13)2≈1.41 10−13=0.141 10−12 Вт/К4

ɑ±Δɑ = (1.26±0.14)*10-12 Вт/К4 Теоретическое значение равно 1.34*10-12 Вт/К4. Полученное нами значение

приближенно равно теоретическому. Небольшая разность в значениях может быть обусловлена отклонениями в измеренных ранее величинах.

Для определения постоянной Стефана-Больцмана заполним таблицу 11.2 Таблица 11.2

σ =a /α

T

S

σ a/α

T

S

σ =σ¯ ±Δ σ¯

¯ ¯

 

¯

¯

 

 

5.48*10-8

 

0.61*10-8

 

 

(5.5±0.6)*10-8

Где ɑT=0.92, S=0.25 см2