Материал: лр 3

Внимание! Если размещение файла нарушает Ваши авторские права, то обязательно сообщите нам

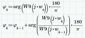
Вычислим фазу через приращения, воспользовавшись тем, что аргумент отношения равен разности аргументов:

Тогда график примет вид:

Выводы: в ходе данной лабораторной работы были построены АЧХ и ФЧХ для разных типовых звеньев, с использованием инструментов программирования MathCad и без построены частотные характеристики для сложных звеньев (с выделением мнимых и действительных частей) и рассчитаны косвенные оценки качества системы.

Амплитудно-частотной характеристикой (АЧХ) системы называется коэффициент усиления гармонического сигнала, т.е. зависимость отношения амплитуд выходных и входных гармонических сигналов от частоты.

Фазо-частотной характеристикой системы (ФЧХ) называется зависимость разности фаз выходных и входных гармонических сигналов от частоты φ(ω).

ЛАФЧХ – логарифмическая амплитудно-фазовая частотная характеристика – совокупность логарифмических амплитудной (ЛАЧХ) и фазовой (ЛФЧХ) частотных характеристик.

Децибел – дольная единица бела, равная одной десятой этой единицы. Бел выражает отношение двух значений энергетической величины десятичным логарифмом этого отношения.

Из частотных характеристик можно получить косвенные оценки качества: показатель колебательности М, резонансную частоту ωp, частоту среза, полосу пропускания.