Материал: Линеаризованное кинетическое уравнение в приближении самосогласованного поля

Внимание! Если размещение файла нарушает Ваши авторские права, то обязательно сообщите нам

Линеаризованное кинетическое уравнение в приближении самосогласованного поля















"Линеаризованное кинетическое уравнение в приближении самосогласованного поля"

Введение

Кинетические уравнения приближенно описывают эволюцию функции распределения частиц ρt по координатам и скоростям. Простейшее из них - это классическое уравнение Лиувилля, которое определяет динамику континуума невзаимодействующих частиц, движущихся в заданном силовом поле (ансамбль Гиббса). Несмотря на свою простоту, уравнение Лиувилля лежит в основе всей классической статистической механики. С другой стороны, кинетика бесстолкновительной сплошной среды в замкнутых областях - весьма интересный и нетривиальный объект. Например, согласно Пуанкаре, независимо от начальной плотности распределения (лишь бы она была суммируемой функцией) бесстолкновительный газ в прямоугольном ящике с зеркальными стенками необратимо стремится равномерно заполнить этот ящик (как при t → +∞, так и при t → −∞).

В зависимости от упрощающих предположений кинетические уравнения имеют различную форму. В приближении малой плотности кинетику упруго сталкивающихся маленьких шариков принято описывать классическим уравнением Больцмана. Хотя уравнение Больцмана приближенное (в частности, необратимое), оно качественно правильно описывает кинетику на определенных характерных временных интервалах.

В приближении среднего поля выводится кинетическое уравнение Власова, а в приближении слабого взаимодействия - уравнение Ландау.

Уравнение Власова в приближении самосогласованного поля - предмет рассмотрения настоящей курсовой работы.

1.Кинетическое уравнение в приближении самосогласованного поля

.1 Вывод кинетического уравнения Власова

Рассмотрим систему частиц с кулоновским взаимодействием их друг с другом:

 (1.1)

Система в целом считается электрически нейтральной. Характерная особенность этого взаимодействия - бесконечный радиус его действия  приводит к тому, что каждая частица постоянно взаимодействует сразу со всеми частицами системы, т. е. время t, фигурирующее как динамическая величина в теории, в отличие от случая нейтральных частиц, значительно меньше времени взаимодействия частиц друг с другом (времени столкновения»), t < tвз . И наоборот, все частицы действуют на данную, создавая в точке ее нахождения общее поле, индивидуальные вклады в которое от частицы 1 и какой-то еще частицы 2 пренебрежимо малы по сравнению с вкладом от всех (N - 2) частиц. Этот коллективный эффект связывают с понятием самосогласованного поля (достаточно распространенного в различных разделах физики), описываемым формулами (или величинами), не чувствительными к нумерации частиц, причем индивидуальная корреляция частицы 1 с какой-то 2 на фоне ее взаимодействия с этим коллективным полем пренебрежимо мала.

С точки зрения статистических функций распределения, если представить парную корреляционную функцию F2 в виде

 (1.2)

то концепция главенствующего значения самосогласованного поля будет означать, что вклады в физические характеристики системы, связанные с учетом индивидуальных корреляций G2, пренебрежимо малы по сравнению с эффектами, обусловленными главным членом F2 = F1· F1 .

Конкретную конструкцию характерного для описанной ситуации малого параметра несложно усмотреть из общих соображений. Электростатическое взаимодействие экранируемо в принципе, причем величина радиуса экранировки rD оценивается в рамках равновесной теории  и определяется известной формулой Дебая (P. Debye, 1923):

 (1.3)

Так как для реализации самосогласованного поля внутри сферы радиуса rD необходимо участие большого числа частиц, то среднее расстояние между ними

 (1.4)

должно удовлетворять неравенству:

 (1.5)

Возводя его в третью степень и учитывая, что a3 = υ, получаем:

, (1.6)

Эта величина как параметр разложения фигурирует в цепочке уравнений Боголюбова, конкретизированной на случай систем с дальнодействием возводя же его во вторую степень, получим:

 (1.7)

т. е. средняя кинетическая энергия частиц должна значительно превышать среднюю энергию кулоновского их взаимодействия, и в этом смысле система оказывается слабонеидеальной.

Далее, чтобы представление о коллективном самосогласованном поле не разрушалось сильными индивидуальными корреляциями, возникающими на расстояниях, соизмеримых с размерами частиц d=2r0 (т.е. при настоящем «столкновении» ионов), необходимо предположить, что

, (1.8)

т. е. с этой точки зрения плазма должна быть достаточно разреженной.

Наконец, временной масштаб, характеризующий процесс образования самого самосогласованного поля. Для того чтобы частица участвовала в его создании, она должна находиться в сфере радиуса rD достаточное время по сравнению со средним временем ее свободного пролета τ,

 (1.9)

где величина

 (1.10)

- квадрат плазменной частоты или частоты Ленгмюра (I. Langmuir, L.Tonks, 1929). Таким образом, соответствующие физическому смыслу приближения самосогласованного поля временные интервалы должны быть порядка или больше периода ленгмюровских осцилляций, t>1/ω0.

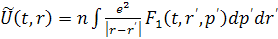
Итак, ограничимся основным членом в F2 (т. е. нулевым приближением по параметру υ\rD3 ) и подставим его в первое уравнение цепочки Боголюбова (оно сразу становится замкнутым относительно функции F1). Имеем в правой его части:

 

где величина

(1.12)

имеет совершенно четкий физический смысл: так как

 (1.13)

представляет собой плотность числа частиц в окрестности точки , то

 (1.14)

является потенциалом того самосогласованного поля, которое создается всеми частицами (распределенными в пространстве в соответствии с плотностью n(t,r')) в точке r в момент времени t. Перенеся этот член в левую часть, получим:

 (1.15)

Это и есть кинетическое уравнение в приближении самосогласованного поля, полученное и исследованное А. А. Власовым в 1938 г.

1.2 Замечания по поводу уравнения Власова

Сделаем несколько замечаний по поводу этого важного во всей кинетической теории результата.

) Уравнение условно. Оно, по существу, представляет лишь идею. На самом деле однокомпонентных электрически нейтральных систем заряженных частиц не бывает, должно быть как минимум два сорта ионов, а, значит, не одно, а система уравнений Власова.

) Уравнение написано относительно функции распределения F1. Отклонения её значений в локальных областях системы от равномерного распределения приводит к возникновению движущихся объемных зарядов, возникают поля Е и Н, в связи с чем в кинетическую теорию органически включаются уравнения Максвелла и резко расширяется круг рассматриваемых физических задач (магнитогидродинамические эффекты в плазме

) Уравнение Власова в чистом виде не учитывает эффекты столкновения ионов друг с другом, поэтому называется иногда уравнением для «бесстолкновительной» плазмы. Оно обратимо во времени (замена t → -t и р → -р не меняет его), но подобная ситуация в теоретической физике не является исключением: уравнения Максвелла тоже обратимы, но не исключают запаздывающих, опережающих и комбинированных решений. Так и здесь существуют различного типа решения, причем для выбора физически осмысленного решения удобно будет хотя бы чисто символически включить бесконечно слабый релаксационный механизм, нарушающий эту симметрию по времени.

) Уравнение Власова - это уравнение нулевого приближения. Система уравнений для F1 и корреляционной части G2, обеспечивающая первый порядок по параметру υ/rD3. Это очень сложные уравнения. И дело не только в математических трудностях. Всякое улучшение уравнения Власова, связанное с учетом столкновений ионов, - это в физическом смысле объединение двух противоположных тенденций, дальнодействия (кулоновское взаимодействие) и близкодействия (столкновение твердых сфер), характеризующихся противоположными по отношению друг к другу «малыми» параметрами. Даже чистый кулоновский потенциал при этих улучшениях не всегда является удобной моделью, и, чтобы придать тем или иным выражениям разумное значение, его приходится модифицировать, обрезать и т.д.

) Уравнение Власова и без поправок достаточно сложное нелинейное интегральное уравнение. Решить его в общем случае не удается.

2.Линеаризованное уравнение Власова

.1 Вывод линеаризованного уравнения Власова

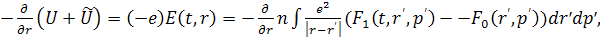
Чтобы сохранить однокомпонентную структуру уравнения Власова, используем следующую модель: положительные ионы (очень тяжелые и малоподвижные по сравнению с электронами) будем считать не только неподвижными и равномерно распределенными, но и равномерно размазанными (модель «желе»), и на фоне этого положительного заряда двигаются электроны, газ которых будет считаться невырожденным. Одночастичную функцию электронного газа F1 представим в виде:

 (2.1)

где F0(r,р) - равновесная функция распределения (по р - максвелловское, по r - однородное распределение). Плотность положительного заряда фона можно формально выразить через функцию:

(2.2)

Поэтому величина электростатического потенциала поля, создаваемого положительным фоном в точке r, будет равна

 (2.3)

самосогласованный же потенциал, создаваемый в этой точке другими электронами, имеет вид

, (2.4)

Вводя напряженность действующего на электрон (заряд ) электростатического поля Е(t, r) (вектор индукции), можем написать

 

Сократим на -e , учтем Fl-F0=f , подействуем слева и справа операцией div, учтем, что

 (2.6)

и что

, (2.7)

получаем для Е не что иное, как одно из уравнений Максвелла

 (2.8)

Предположим теперь, что система слабонеравновесна и для любого t и r


Тогда, производя линеаризацию уравнения Власова, сохраняя для градиента суммарного потенциала введенное выше обозначение (заметим, что Е й f одинакового порядка малости) и переходя к переменной v= р/m, получаем систему уравнений для f и Е:

 (2.10)

 (2.11)

Где

 (2.12)

Приближениях, которые привели нас к этому линейному уравнению:

) опустили парные корреляции (бесстолкновительное приближение);

) положили f << F0 (слабонеравновесный случай);

) ограничились электростатическим приближением (нерелятивистское приближение).

Обращает на себя внимание, что если приближения 2) и 3) имеют характер «технических» упрощений (которые можно изменить или вовсе не делать), то 1) - это потеря качества. Естественно, в этой схеме учитывать столкновения мы не собираемся, но нарушить симметрию по отношению к отражению времени (снять «вырождение» на обратимость) совершенно необходимо, чтобы обеспечить появление правильного типа решения в задаче, которую мы затем будем решать. Сделаем это следующим самым  простым образом: в правую часть уравнения для f поставим вместо нуля интеграл столкновений в аппроксимации релаксационным членом с последующей операцией его выключения:

 (2.13)

В формальном отношении эта «бесконечно малая добавка» (по существу, целая физическая программа) приведет к автоматически устанавливаемому правилу обхода полюса, лежащего на действительной оси. (Аналогичные физически осознанные правила обхода, обеспечивающие появление необходимых типов решения, используются в задачах электродинамики, квантовой теории рассеяния и т.д.)

2.2 Статическое решение линеаризованного уравнения для системы в поле точечного заряда

Пусть наша система находится в равновесном состоянии (df/dt = 0) в поле точечного заряда

 (2.14)

Введем эффективный потенциал Ф(r), градиент которого определяет величину вектора Е(r).

 (2.15)

Тогда система линеаризованных уравнений Власова будет иметь вид (так как времени t здесь нет, нет надобности и в члене -εf)

 (2.16)

 (2.17)

Подставив в первое уравнение

 (2.18)

и, записывая эти уравнения по отношению к фурье-компонентам Фk и fk,

 (2.19)

 (2.20)

 (2.21)

Имеем

 (2.22)

 (2.23)

Или

 (2.24)

 (2.25)

откуда сразу получаем

 (2.26)

 (2.27)

 (2.28)

 (2.29)

Этот известный результат, полученный в свое время еще Дебаем, выражает еще один коллективный эффект, характерный для систем заряженных частиц - свойство экранировать статические заряды. Заметим, что с помощью этого результата можно непосредственно получить некоторые результаты равновесной теории. Проинтегрировав F(r,v) по скоростям, сразу получим плотность вероятности распределения частиц вокруг заряда q:

 (2.30)

Если q - одна из частиц системы, то вероятность ω(r) обнаружить одну частицу на расстоянии r от другой представляет не что иное, как парную корреляционную функцию:

 (2.31)