Материал: лекция физика 30.04

Внимание! Если размещение файла нарушает Ваши авторские права, то обязательно сообщите нам

Частицы классического газа при температуре К должны находиться в покое. Квантовая теория это запрещает – нельзя одновременно получить и координату покоящейся частицы и ее определенный (нулевой) импульс. Поэтому все процессы при низких температурах описываются не классической, а квантовой теорией. Если охладить металл до К, колебания атомов в нем не прекратятся. Одномерный осциллятор будет при этом иметь минимальную энергию (рис.5.24) и уменьшить эту энергию не может.

Квантовомеханические операторы

1. Квантование динамических переменных

В предыдущей главе было показано, как с помощью уравнения Шредингера найти разрешенные значения энергии E. Но в квантовой теории необходимо определять разрешенные значения любой другой физической величины f. Решается такая задача достаточно просто.

Любую математическую операцию, переводящую одну функцию в другую функцию , обозначают действием оператора (все операторы будем обозначать значком ''''):

.

Оператор может обозначать просто умножение функции на какое-то число или функцию. Например, если функция является функцией координат, то действие оператора координаты означает умножение функции на соответствующую координату:

. (6.1)

Оператор может обозначать вычисление производной или интеграла от функции . Такие операторы называют дифференциальными или интегральными. Примером дифференциального оператора будет оператор вычисления градиента:

.

Если при действии оператора на функцию получим ту же самую функцию, умноженную на постоянное число:

, (6.2)

то такое число называют собственным значением оператора , а соответствующую функцию собственной функцией оператора .

Заметим, что для волновой функции свободной частицы (4.16) выполняются следующие соотношения:

и , где .

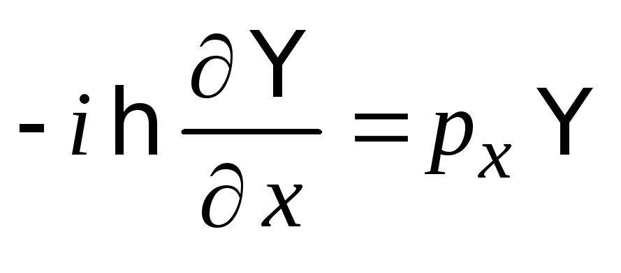
Дифференциальный оператор (6.3)

называют оператором проекции импульса на ось x.

Оператор импульса в квантовой механике имеет вид

, (6.4)

его собственными функциями будут волновые функции (4.17).

В релятивистской квантовой теории, где потенциальную энергию взаимодействия частиц друг с другом определить нельзя (иначе консервативные силы мгновенно передают взаимодействие на любые расстояния), и где “временная” ось пространства Минковского эквивалентна координатным осям и , оператор является компонентой оператора энергии-импульса свободной релятивистской микрочастицы:

. (6.5)

В нерелятивистской теории ось времени выделена. Из курса механики известно, что любую динамическую переменную f , описывающую систему, можно выразить через координаты и импульсы частиц, образующих эту систему. Поэтому операторы действуют в координатном пространстве, их можно выразить через координаты и через производные по этим координатам. Процедура квантования заключается в следующем:

1. Надо записать в явном виде выражение переменной f через координаты и импульсы: .

2. Затем следует заменить в этом выражении все координаты и импульсы на соответствующие операторы (6.1) и (6.3). Получаем оператор :

. (6.6)

3. Наконец, надо записать уравнение (6.2) для определения собственных функций и собственных значений оператора :

. (6.7)

Так как оператор включает операторы дифференцирования, то уравнение (6.6) будет дифференциальным уравнением, и для его решения надо определять граничные условия.

Все собственные значения f задачи (6.7) образуют весь набор разрешенных значений переменной f. Соответствующие собственные функции описывают состояние системы с определенным разрешенным значением переменной f . Спектр разрешенных значений f может получиться как непрерывным (если движение инфинитно), так и дискретным.

Пример: оператор полной энергии микрочастицы в соответствии с формулой (4.24) имеет следующий вид:

. (6.8)

Этот оператор также называют оператором Гамильтона системы .

В стационарном случае, когда энергия частицы может быть определена, уравнение (6.7) запишется в виде или

. (6.8')

Получили известное стационарное уравнение Шредингера. Его решение дает спектр разрешенных значений энергии E.

!!!!! Примеры решения задач можно посмотреть на сайте кафедры физики www.physics.tsu.ru в разделе "Самостоятельная работа студентов" п. 4.13 "Оптика. Основы квантовой физики. Руководство к проведению самостоятельной работы студентов" (авторы: Ю.Н. Колмаков и др.), стр. 62-66.