Лекция 7
Производственный шум
1. Действие шума на организм человека 1
2. Частотный диапазон звука 2
3. Измерение производственного шума 3
4. Классификация шума 4
4.1 Классификация шума по источникам возникновения 4
4.2Классификация по характеру спектра и временным характеристикам 5
Шум определяют как всякий нежелательный для человека звук. Другими словами, это звук, оцениваемый негативно и наносящий вред здоровью. с физической точки зрения шум – это беспорядочное сочетание звуков различной частоты и интенсивности (силы), возникающих при механических колебаниях в твердых, жидких и газообразных средах. Проявление вредного воздействия шума на организм весьма разнообразно.
Специфическое воздействие шума (действие на слуховой анализатор). Длительное воздействие интенсивного шума (выше 80 дБ (А*)) на слух человека приводит к его частичной или полной потере. В зависимости от длительности и интенсивности воздействия шума происходит большее или меньшее снижение чувствительности органов слуха, которое выражается либо:
а) во временном смещении порога слышимости, которое исчезает после окончания воздействия шума;
б) в необратимой потере слуха (тугоухость), характеризуемой постоянным изменением порога слышимости.
Для профилактической работы по обеспечению безопасных условий труда по шумовому фактору служит аудиометрический контроль (аудиометрия) работающих, проводимый для оценки состояния органов слуха. При этом состояние слуховой функции оценивают как среднеарифметическое значение снижения слуховой чувствительности в диапазоне речевых частот (500-2000 Гц) и на частоте 4000 Гц.
Различают три степени потери слуха:
- 1 степень (легкое снижение слуха) - потеря слуха в области речевых частот составляет 10 20 дБ (на частоте 4000 Гц - 60 20 дБ),
- II степень (умеренное снижение) - 21 30 дБ в области речевых частот, 65 20 на 4000 Гц,
- III степень (значительное снижение) - более 31 дБ на речевых частотах, 78 20 дБ на 4000 Гц.
Как показывают исследования, тугоухость в последние годы выходят на ведущее место среди профессиональных заболеваний и не обнаруживает тенденции к снижению.
Неспецифическое воздействие шума. Шум воздействует не только на орган слуха. Через волокна слуховых нервов раздражение шумом передается в центральную и вегетативную нервные системы, а через них воздействует на внутренние органы, приводя к значительным изменениям в функциональном состоянии организма, влияет на психическое состояние человека, вызывая чувство беспокойства и раздражения. Установлено, что человек, подвергающийся воздействию интенсивного шума, затрачивает на 10 - 20% больше физических и нервно-психических усилий, чтобы сохранить выработку, достигнутую при уровне звука ниже 70 дБ (А). Общая заболеваемость рабочих шумных производств на 10 15% выше.
Воздействие шума на вегетативную нервную систему проявляется даже при небольших уровнях звука (40 - 70 дБ(А)) и не зависит от субъективного восприятия шума человеком. Наиболее ярко выраженной вегетативной реакцией является нарушение периферического кровообращения за счет сужения капилляров кожного покрова и слизистых оболочек, а также (при уровнях звука выше 85 дБ (А)) повышение артериального давления.
Воздействие шума на ЦНС вызывает замедление зрительно-моторной реакции, приводит к нарушению подвижности нервных процессов, изменению электроэнцефалографических показателей, нарушает биоэлектрическую активность головного мозга с проявлением общих функциональных изменений в организме (уже при шуме 50 - 60 дБ (А)), существенно изменяет биопотенциалы мозга, вызывает биохимические изменения в структурах головного мозга.
Шумовая болезнь. Для описания комплекса симптомов, связанных как со специфическим, так и с неспецифическим воздействием шума, существует термин «шумовая болезнь». К объективным симптомам шумовой болезни относятся:
- снижение слуховой чувствительности,
- изменение функции пищеварения (снижение кислотности)
- сердечно-сосудистая недостаточность,
- нейро-эндокринные расстройства.
Субъективными симптомами являются:
- раздражительность,
- головные боли,
- головокружение,
- снижение памяти,
- повышенная утомляемость,
- потеря аппетита,
- боли в ушах и т.д.
Эти явления нарастают с увеличением периода, в течение которого человек подвергается действию шума, т.е. шумовые явления обладают свойством кумуляции. При длительном воздействии шума возможно возникновение заболеваний сердечно-сосудистой системы, гипертоническая болезнь, язвенная болезнь.
До последнего времени оценка приемлемости производственного шума с уровнем выше 80 дБ (А) чаще всего основывалась на выявлении его воздействия на органы слуха. Теперь доказано, что и шумы средних уровней (ниже 80 дБ (А)), не вызывающие потери слуха, тем не менее оказывают неблагоприятное воздействие на организм в целом, что должно было в последние годы при нормировании шума.
В современных условиях шум - это один из серьезных факторов загрязнения окружающей среды; связанный с ростом городов, развитием транспорта, промышленности, бытовой техники). Основным источником шума в городах является транспорт. Уровень шума в крупных городах достиг интенсивности промышленных шумов (80-100 дБ).
Производственный шум затрудняет прием и передачу информации, что приводит к снижению эффективности и безопасности труда. Высокий уровень шума мешает, в частности, услышать сигнал опасности. Уровень интенсивности шума на частоте 1000 Гц, равный 70 дБ считается предельным уровнем, при котором человек может еще понимать команды, произнесенные обычным голосом. При 75 дБ исключено исполнение телефонной связи. Для нормального приема и передачи информации по телефону уровень шума около телефонного аппарата не должен превышать 50 - 55 дБ. Под воздействием шума снижаются способность сосредоточения внимания, точность выполнения работ, особенно тех ее видов, которые связаны с приемом и передачей информации, а следовательно, производительность труда.
Рис.
1

Поскольку звуковые волны представляют собой колебательный процесс, величины интенсивности звука и звуковое давление в точке звукового поля изменяются во времени по синусоидальному закону. Характерными величинами являются их среднеквадратичные значения. Зависимость среднеквадратичных значений синусоидальных составляющих шума или соответствующих им уровней в децибелах от частоты называется частотным спектром шума (или просто спектром). Спектры получают, используя набор электрических фильтров, которые пропускают сигнал в определенной полосе частот - полосе пропускания.
Для
получения частотной характеристики
шума звуковой диапазон по частоте
разбивается на полосы с определенным
соотношением граничных частот
(рис.2)
Рис.2

_____
f с.г. = fн fв
В
некоторых случаях (детальное исследование
источников шума, эффективности
звукоизоляции) используют деление на
полуоктавные полосы (fв/fн
=
)
и третьеоктавные полосы (fв/fн
=
=
1,26).
Звук
характеризуется своей интенсивностью
и
звуковым давлением Р
Па.
Кроме этого, любой источник шума
характеризуется звуковой мощностью,
которая представляет собой общее
количество звуковой энергии, излучаемой
источником шума в окружающее пространство.
Если окружить источник шума замкнутой поверхностью площадью S, то звуковая мощность источника определится как
Р =
,
где In - нормальная к поверхности составляющая интенсивности.
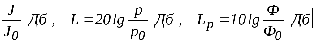
С учетом логарифмической зависимости ощущения от изменения энергии раздражителя (закон Вебера-Фехнера) и целесообразности унификации единиц и удобства оперирования с цифрами принято использовать не сами величины интенсивности, звукового давления и мощности, а их логарифмические уровни
LJ
= 10 lg
,
где I – интенсивность звука в данной точке, I0 – интенсивность звука, соответствующая порогу слышимости, равному 10-12 Вт/м, Р – звуковое давление в данной точке пространства, Р0 – пороговое звуковое давление, равное 210-5 Па, Ф – мощность звука в данной точке, Ф0 - пороговая звуковая мощность, равная 10-12 Вт.
При нормальном атмосферном давлении
LJ = Lp = L
Для измерения шума с целью оценки его воздействия на человека, используется уровень звукового давления Lp (часто обозначается просто L). Уровень интенсивности LJ используют при акустических расчетах помещений.
Рис.3

Механический шум. Механический шум обусловлен колебаниями деталей машин и их взаимным перемещением. Возбуждение механического шума обычно носит ударный характер, излучающие его конструкции и детали представляют собой системы с многочисленными резонансными частотами. Поэтому спектр механического шума занимает широкую область частот (рис.4). Наличие высоких частот делают шум особо неприятным.
Рис.4

Электромагнитный шум. Электромагнитный шум возникает в электрических машинах и оборудовании из-за взаимодействия ферромагнитных масс под влиянием переменных (во времени и в пространстве) магнитных полей, а также сил, возникающие при взаимодействии магнитных полей, создаваемых токами (т.н. пондеромоторные силы).
При работе электрических машин возникают все три вида шума: механический, аэродинамический и электромагнитный.
В зависимости от спектра выделяют так называемый широкополосной, или белый шум, т.е. шум с непрерывным спектром шириной более одной октавы и тональный шум, в спектре которого имеются дискретные тона шириной менее одной октавы.
В зависимости от изменения по времени различают постоянный шум, под которым понимается шум, при котором уровень звука за 8-часовой рабочий день изменяется во времени не более чем на 5 дБ(А). Если это изменение составляет более 5 дБ(А), то шум считается непостоянным.
Непостоянные шумы в свою очередь делается на колеблющиеся во времени, прерывистые и импульсные (см. рис.5).
а – колеблющийся
шум, б – прерывистый шум, в – импульсный
шум
Рис.5

Контрольные вопросы
Дайте определение шуму
В чем заключается воздействие шума на человека. Что такое специфическое и неспецифическое воздействие?
Начиная с какой интенсивности длительный шум приводит к снижению слуха?
Как действует шум на вегетативную нервную систему?
При какой интенсивности шума человек перестает понимать команды, произнесенные обычным голосом?
В каком диапазоне колебаний упругой среды они воспринимаются человеком как звук?
Что отражают линии равной громкости?
Где находятся области инфра- и ультразвука?
Что такое спектр шума?
Что такое октава (октавная полоса)?
Какие численные характеристики используются для измерения производственного шума?
В каких единицах измеряется интенсивность звука?
В каких единицах измеряется звуковое давление?
В каких единицах измеряется уровень интенсивности звука, уровень звукового давления, уровень мощности?
Для чего служит характеристика А шумомера?
Запишите математические выражения для уровня интенсивности звука, уровня звукового давления, уровня мощности.
Что такое уровень звука, в каких единицах он измеряется?
Что такое широкополосной шум, тональный шум?
Какой шум называется постоянным?
Назовите виды непостоянного шума. Чем они отличаются?