Лекция1
Предел последовательности
Числа
1,2,3, … - называются натуральными числами.
Множество натуральных чисел обозначается
Множество
целых чисел обозначается
Множество
рациональных чисел обозначается

Множество действительных(вещественных) чисел обозначается

Определение
1.
Модулем числа
называется неотрицательное действительное
число :

Свойства модуля :




Условные обозначения
Квантор
общности :

Квантор
принадлежности :

Квантор
существования :

Квантор
не существования :




Определение
2.
Окрестностью точки
радиуса
называется множество точек числовой
прямой таких, что

Обозначение:


Геометрическое представление:
Определение
3.
Проколотой окрестностью точки
радиуса
называется множество точек числовой
прямой таких, что

Обозначение:


Геометрическое представление:
Определение
4.
Точка
называется предельной точкой множества,
если в

её
окрестности
хотя бы одна точка этого множества,
отличная от
.
Пример1:
Доказать, что в
окрестности предельной точки содержится
бесконечное число точек данного
множества.
Доказательство:
Пусть
предельная точка множества.
произвольная окрестность радиуса

Тогда
по определению предельной точки

В
окрестности
по
определению предельной точки
и
так далее, бесконечное множество
действительных чисел, расположенных в
соответствии с возрастанием номеров
лежат в окрестности предельной точки
.
Предел последовательности
Определение 5. Последовательность – это функция определенная на множестве натуральных чисел, множество значений которой может состоять из элементов любой природы: чисел, точек пространства, функций, векторов, множеств и т.д.
Определение 6. Числовая последовательность – это функция определенная на множестве натуральных чисел, множество значений которой состоит из действительных чисел.
Пример1: написать по пять первых членов пяти числовых последовательностей





Определение
7.
Число
называется пределом числовой
последовательности
, если
отличается от
сколь угодно мало, начиная с некоторого
номера

Определение
8.
Число
называется пределом числовой
последовательности
, если

или

Если

то
говорят, что последовательность
сходится к
.

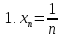
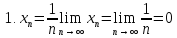
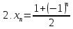
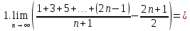
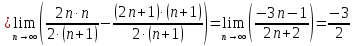
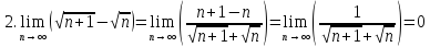
Пример2: найти предел числовой последовательности





Если

то
только число
может являться предельной точкой
множества членов последовательности.
Так как , вне любой окрестности числа
содержится конечное число членов
последовательности. Следовательно,
только
может
быть предельной точкой этого множества.
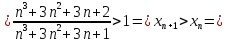
Неравенство Бернулли

Доказательство: методом математической индукции
1.
проверка

2.
предположение: пусть для

3.
докажем, что справедливо и для



Свойства сходящихся последовательностей
1.
Пусть


тогда

2.
Пусть


тогда

3.
Пусть


тогда

4.
Пусть


тогда

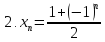
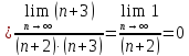
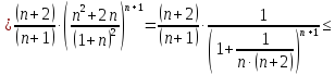
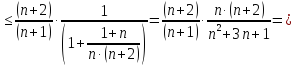
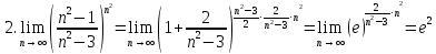
Пример 3: найти предел числовой последовательности







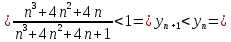
Число e
Определение
9.
Числовая последовательность
, называется ограниченной , если

Определение
10.
Числовая последовательность
, называется монотонно возрастающей ,
если

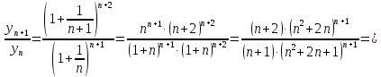
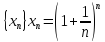
Теорема 1: Монотонно возрастающая ограниченная последовательность имеет предел. (без доказательства):
рассмотрим
последовательность
,
покажем, что это монотонно возрастающая
последовательность




рассмотрим
последовательность
,
покажем, что это монотонно убывающая
последовательность







последовательность
ограниченная
+ монотонно возрастающая последовательность



Символ
для
обозначения этого числа введен в 1731
году Эйлером(1707-1783)


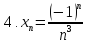
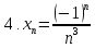
Пример 4: найти предел числовой последовательности


