Министерство науки и высшего образования Российской Федерации
Федеральное государственное автономное образовательное учреждение
высшего образования
«НАЦИОНАЛЬНЫЙ ИССЛЕДОВАТЕЛЬСКИЙ
ТОМСКИЙ ПОЛИТЕХНИЧЕСКИЙ УНИВЕРСИТЕТ»
Инженерная школа энергетики
Отделение электроэнергетики и электротехники
Направление − 13.03.02 Электроэнергетика и электротехника
Отчет
по лабораторной работе №1
ИССЛЕДОВАНИЕ РЕЖИМА ТРЕХФАЗНОГО
КОРОТКОГО ЗАМЫКАНИЯ В ПРОСТЕЙШЕЙ ЦЕПИ
Вариант №9
|
Выполнил: |
|
|
|
студент группы: 5А Б |
(подпись, дата) |
(Ф.И.О) |
|
Проверил |
|
Суворов Алексей Александрович |
|
преподаватель: |
(подпись, дата) |
(Ф.И.О) |
Томск 2019 г.
Цель работы: Исследовать влияние режима, предшествующего короткому замыканию (КЗ), и момента возникновения КЗ на слагаемые тока КЗ.
Исследование
переходного режима ведется на базе
схемы рис.1, состоящей из активно-индуктивных
сопротивлений
,
и
источника неограниченной мощности.
Указанный источник характеризуется
неизменным напряжением (
)
в любых режимах внешней сети (нормальном
или аварийном) и сопротивлением х=0.
Отсутствие в схеме емкостей исключает
возникновение колебательных контуров
и упрощает анализ переходного процесса.

Рисунок 1 - Принципиальная схема
Апериодическая
составляющая является криволинейной
осью симметрии полного тока КЗ. В
трехфазной сети апериодическая слагаемая
по фазам индивидуальна, при этом возможны
условия, когда в одной из фаз она вообще
отсутствует. Таким образом, апериодический
ток существенно влияет на полный ток
КЗ. Скорость затухания апериодического
тока определяется его постоянной времени
и
зависит от t.
Амплитуда периодической слагаемой тока КЗ остается неизменной и определяется величиной напряжения и удаленностью КЗ.
Используя
данные таблицы 2, построим осциллограмму
токов фазы «А» (до КЗ нагрузочный режим)
в координатах
.
Исходные данные представлены в таблице 1.
Таблица 1. Исходные данные
|
Напряжение U (кВ) |
10 |
|
Длина линии L (км) |
11 |
|
Угол фазы включения α (град) |
50 |
Таблица 2. Нагрузочный режим
|
|
Фаза А |
Фаза В |
Фаза С |
||||
|
Т, сек |
Iпер, кА |
Iапер, кА |
IКЗ, кА |
Iпер, кА |
Iпер, кА |
||
|
-0,006 |
-0,462 |
|
|
|
|
||
|
-0,004 |
-0,446 |
|
|
0,074 |
0,372 |
||
|
-0,002 |
-0,260 |
|
|
-0,218 |
0,478 |
||
|
0,000 |
0,025 |
|
|
-0,426 |
0,401 |
||
|
0,000 |
-0,874 |
0,899 |
0,025 |
-0,946 |
1,819 |
||
|
0,002 |
0,231 |
0,793 |
1,024 |
-1,679 |
1,448 |
||
|
0,004 |
1,247 |
0,700 |
1,947 |
-1,771 |
0,524 |
||
|
0,006 |
1,788 |
0,618 |
2,406 |
-1,187 |
-0,599 |
||
|
0,008 |
1,646 |
0,545 |
2,191 |
-0,150 |
-1,494 |
||
|
0,010 |
0,876 |
0,481 |
1,357 |
0,944 |
-1,819 |
||
|
0,012 |
-0,228 |
0,425 |
0,197 |
1,678 |
-1,450 |
||
|
0,014 |
-1,245 |
0,375 |
-0,871 |
1,772 |
-0,527 |
||
|
0,016 |
1,787 |
0,331 |
-1,457 |
1,189 |
0,597 |
||
|
0,018 |
-1,647 |
0,292 |
-1,355 |
0,153 |
1,493 |
||
|
0,020 |
-0,879 |
0,258 |
-0,621 |
-0,941 |
1,819 |
||
|
0,022 |
0,225 |
0,227 |
0,452 |
-1,677 |
1,452 |
||
Амплитуда фазного напряжения (кВ) Um = 8,16497
Амплитуда тока нормального режима (кА) IНm = 0,478332 и его угол сдвига к напряжению (град) φН = 46,96483
Амплитуда периодической составляющей тока КЗ (кА) IПm = 1,819638 и его угол сдвига к напряжению (град) φК = 78,68988
Таблица 3. До КЗ – режим ХХ
|
Т, сек |
Iпер, кА |
Iапер, кА |
IКЗ, кА |
|
0,000 |
-1,820 |
1,820 |
0,000 |
|
0,002 |
-1,473 |
1,606 |
0,133 |
|
0,004 |
-0,564 |
1,417 |
0,853 |
|
0,006 |
0,560 |
1,251 |
1,811 |
|
0,008 |
1,471 |
1,104 |
2,574 |
|
0,010 |
1,820 |
0,974 |
2,794 |
|
0,012 |
1,474 |
0,860 |
2,334 |
|
0,014 |
0,567 |
0,759 |
1,325 |
|
0,016 |
-0,558 |
0,669 |
0,112 |
|
0,018 |
-1,469 |
0,591 |
-0,878 |
|
0,020 |
-1,820 |
0,521 |
-1,298 |
|
0,022 |
-1,476 |
0,460 |
-1,016 |
|
0,024 |
-0,569 |
0,406 |
-0,163 |
|
0,026 |
0,555 |
0,358 |
0,913 |
|
0,028 |
1,467 |
0,316 |
1,783 |
|
0,030 |
1,820 |
0,279 |
2,099 |
Режим максимального значения апериодической слагаемой имеет место при фазе включения φ = -11.3(168.7) град, до К.З. - режим Х.Х.
Апериодическая составляющая является криволинейной осью симметрии полного тока КЗ. В трехфазной сети апериодическая слагаемая по фазам индивидуальна, при этом возможны условия, когда в одной из фаз она вообще отсутствует. Таким образом, апериодический ток существенно влияет на полный ток КЗ. Скорость затухания апериодического тока определяется его постоянной времени Ta и зависит от t.
Рисунок
2 – Осциллограмма токов фазы А
Для
определения постоянной времени затухания
апериодического тока
учтем, что
подкасательная
к любой точке экспоненты в принятом для
оси времени масштабе дает значение
постоянной времени
.
Для большей
точности точку, в которой проводят
касательную, нужно брать в начальной
(более выпуклой) части кривой.
,
где:

Тогда постоянная времени затухания апериодической слагающей:

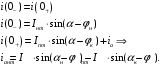
Для расчета начальных апериодических слагаемых токов КЗ фаз «В» и «С» воспользуемся первым законом коммутации: «В цепи, содержащей индуктивность, ток во время нарушения режима сохраняется неизменным»

Так как значения апериодической слагающей нужно определить для фаз «В» и «С», то в формуле появится угол сдвига относительно фазы «А»:

Апериодическая
слагающая тока – функция времени
затухающая по экспоненциальному закону.
Скорость затухания такой функции
постоянна. Она максимальна в начальный
момент и падает пропорционально
уменьшению тока:

В
качестве примера рассчитаем значения
апериодических слагающих тока для фаз
В и С в момент времени
с,
используя значение
:


Определим значение полного тока КЗ для фаз В и С:

В таблице 4 представлены расчеты токов для фазы В для всех значений времени.
Таблица 4
|
|
|
|
|
|
-0,006 |
|
|
|
|
-0,004 |
0,074 |
|
|
|
-0,002 |
-0,218 |
|
|
|
0 |
-0,426 |
|
|
|
0 |
-0,946 |
0,194 |
-0,613 |
|
0,002 |
-1,679 |
0,171 |
-1,44 |
|
0,004 |
-1,771 |
0,151 |
-1,65 |
|
0,006 |
-1,187 |
0,133 |
-1,17 |
|
0,008 |
-0,150 |
0,118 |
-0,19 |
|
0,010 |
0,944 |
0,104 |
0,909 |
|
0,012 |
1,678 |
0,092 |
1,702 |
|
0,014 |
1,772 |
0,081 |
1,882 |
|
0,016 |
1,189 |
0,071 |
1,376 |
|
0,018 |
0,153 |
0,063 |
0,374 |
|
0,020 |
-0,941 |
0,056 |
-0,746 |
|
0,022 |
-1,677 |
0,049 |
-1,56 |